Therán-Palacio / J. Comput. Electron. Sci.: Theory Appl., vol. 2 no. 1 pp. 39-50. Enero - Junio, 2021

Pensamiento Geométrico, Teoría de Van Hiele y Tecnologías Computacionales

Geometric Thinking, Van Hiele Model and Computational Technologies

DOI: https://doi.org/10.17981/cesta.02.01.2021.04

Artículo de investigación científica. Fecha de recepción: 15/02/21. Fecha de aceptación: 28/06/21.

Eugenio Therán-Palacio

Universidad de Sucre. Sincelejo (Colombia)

eugenio.teheran@unisucre.edu.co

.

Para citar este artículo:

E. Therán-Palacio, “Pensamiento Geométrico, Teoría de Van Hiele y Tecnologías Computacionales”, J. Comput. Electron. Sci.: Theory Appl., vol. 2, no. 1, pp. 39–50, 2021. https://doi.org/10.17981/cesta.02.01.2021.04

.

Resumen—

Introducción— Este estudio presenta los resultados del trabajo “Desarrollo del pensamiento geométrico aplicando tecnologías y la teoría de Van Hiele”, que se desarrolló en un establecimiento educativo oficial del municipio de Corozal - Sucre, Colombia en el año 2016, fruto de la investigación adelantada por el autor en finalización estudios de Maestría en Educación, Unicórdoba – Colombia.

Objetivo— En este trabajo se pretendió determinar la incidencia del empleo de estrategias didácticas en el avance del razonamiento espacial de los escolares, basadas en las “Tecnologías y la teoría de Van Hiele”.

Métodología— Se utilizó un diseño cuasiexperimental, con métodos cuantitativos para establecer inferencias sobre el desempeño de los estudiantes al realizar las pruebas pretest y postest de validación de aprendizajes.

Resultados— Se puede señalar un avance en la comprensión del pensamiento espacial en los escolares de sexto grado de un establecimiento educativo oficial del municipio de Corozal, Sucre, Colombia, a través de la intervención con estrategias didácticas que emplearon “Tecnologías y la teoría de Van Hiele”.

Conclusiones— La tecnología se convirtió en un elemento de valor relevante, los estudiantes mostraron mayor interés y evidenciaron una participación genuina y compromiso con su aprendizaje. El modelo de Van Hiele se validó como una herramienta para medir el avance que tuvieron los estudiantes en el aprendizaje de los cuadriláteros, transitando desde el nivel de visualización hasta el nivel de deducción informal.

Palabras clave— Diseño cuasiexperimental; Estrategia didáctica; Modelo de Van Hiele; Pensamiento Geométrico; Software Cabri

Abstract—

Introduction— This study presents the results of the work “Development of geometric thinking applying technologies and Van Hiele’s theory”, which was developed in an official educational establishment in the municipality of Corozal - Sucre, Colombia in 2016, as a result of the research carried out by the author in completion of Master’s studies in Education, Unicórdoba - Colombia.

Objective— In this work it was tried to determine the incidence of the use of didactic strategies in the advance of the spatial reasoning of the schoolchildren, based on the “Technologies and the theory of Van Hiele”.

Methodology— A quasi-experimental design was used, with quantitative methods to establish inferences about the performance of the students when performing the pretest and posttest validation of learning.

Results— Se puede señalar un avance en la comprensión del pensamiento espacial en los escolares de sexto grado de un establecimiento educativa oficial del municipio de Corozal, Sucre, Colombia a través de la intervención con estrategias didácticas que emplearon “Tecnologías y la teoría de Van Hiele”.

Conclusions— The use of technology became an element of relevant value, the students showed greater interest and evidenced a genuine participation and commitment to their learning. The Van Hiele model was validated as a tool to measure the progress that students had in learning quadrilaterals, moving from the visualization level to the informal deduction level.

Keywords— Quasi-experimental design; Didactic strategy; Van Hiele model; Geometric Thinking; Cabri Software

I. Introducción

El empleo de tecnologías en los procesos formativos de las matemáticas escolares es un tema que no demanda espera. El enriquecimiento de los entornos de aprendizaje y el fortalecimiento de las didácticas por medio de diversos sistemas de representación son aspectos relevantes que posibilitan dinamizar los procesos formativos en esta área del conocimiento. Dentro de los conocimientos básicos propuestos desde los lineamientos curriculares de matemáticas promulgados por el Ministerio de Educación Nacional (MEN) se encuentra el pensamiento espacial, el cual es objeto de estudio en este trabajo, así como el uso de la tecnología y la teoría de Van Hiele, el cual es asumido como un referente válido para identificar el nivel de avance en la apropiación de los conceptos geométricos en los estudiantes.

Este estudio se centró en la validación del software educativo Cabri como una herramienta relevante para reajustar el currículo de matemáticas y enriquecer las opciones de recursos didácticos para fortalecer el pensamiento espacial en los escolares.

Como uno de los referentes de este estudio se puede mencionar la investigación adelantada por el MEN “Incorporación de Nuevas Tecnologías en el Currículo de Matemáticas” (INTCM)” [1], el cual tuvo un impacto en la educación matemática del país a partir del año 2000. Como resultado de esta iniciativa, se tuvieron una compilación de libros, los cuales se toman como base para la construcción de estrategias didácticas implementadas en esta investigación.

Igualmente, la Universidad de Sucre abanderó el Proyecto INTCM desde el año 2000. Es importante resaltar que la experiencia acumulada en este proyecto permitió entre otras, la presentación de tesis de pregrado y la participación de docentes en eventos académicos en el micro y macro contexto, así como la divulgación de experiencias significativas por el MEN en textos y memorias de circulación nacional” [1].

Con el presente trabajo se buscó, aportar a “la consolidación de grupos de investigación en Matemáticas en la línea de las estrategias didácticas en pos de una intervención pertinente que apuntara a un fortalecimiento colectivo, y que contribuyera a mejorar la calidad educativa” [1]. De igual modo, se requieren educadores matemáticos idóneos, especialmente en el Caribe colombiano, “que aporten para contribuir con posibles soluciones a espacios de dificultad presentes en la docencia, tales como el fortalecimiento de las estrategias metodológicas, innovación en las prácticas pedagógicas, la creación de una cultura de calidad académica, entre otros aspectos” [1].

Este artículo se ha estructurado en seis secciones: La sección II describe la investigación relacionada. La sección III propone los materiales y métodos empleados en el desarrollo de la investigación. En la sección IV se muestran el análisis y las contribuciones de los resultados. En la sección V se presentan las conclusiones y en la sección final VI se esbozan algunas recomendaciones para trabajos futuros.

II. Trabajos Relacionados

Son copiosas las investigaciones que se han adelantado a nivel internacional y nacional en torno a la temática de las estrategias didácticas para desarrollar el pensamiento geométrico en los estudiantes usando el software Cabri Géomètre y la teoría de Van Hiele como referente teórico para determinar el nivel de avance del pensamiento geométrico.

Sin llegar a ser exhaustivos se pretende mostrar una panorámica en torno a lo que han hecho centros de investigación, grupos de investigación e investigadores en el tópico objeto de estudio.

En el 2019 presentaron un estado del arte de redes educativas para el intercambio de conocimiento en el área de robótica [2]. De igual modo, describieron la metodología para la implementación de una red educativa, en el contexto del proyecto “Implementación de una red para compartir material educativo en la subregión centro del Departamento del Cauca”. Como conclusiones, resaltan las propuestas de Estados Unidos [3] y España [4], porque se han implementado con éxito en la universidad y en la educación primaria y secundaria, respectivamente.

En el 2018 se describen actitudes y percepciones de estudiantes, docentes y directivos, frente a la incorporación de TIC en los procesos educativos [5]. Se realizaron dos estudios exploratorios y correlacionales sobre las actitudes de los involucrados, aplicando cuestionarios; y otros dos estudios sobre percepciones de docentes y directivos, a través de entrevistas semiestructuradas. En las conclusiones, se reconoce la utilidad de las TIC en los procesos educativos, sin embargo, prevalece el uso de instrumentos conocidos y la incertidumbre del potencial de estas herramientas en la pedagogía.

Según ciertas investigaciones en la enseñanza de la geometría es fundamental considerar el vínculo indisoluble que existe entre la visualización, la experimentación, el razonamiento lógico, la argumentación y aplicación [6]. El punto clave de la problemática de la educación geométrica radica en el hecho de que el conocimiento geométrico y espacial emerge de la toma de conciencia y de la exposición y expresión de la dinámica de las imágenes mentales. De esta manera, la geometría puede ser considerada como una búsqueda de modelos guiada, tanto por el «ojo visual» como por el «ojo de la mente» [7].

En la tesis doctoral “Desarrollo Profesional Docente en Geometría, análisis de un proceso de formación a distancia” plantea algunos aspectos sobre el desarrollo profesional a través de entornos virtuales y analiza las influencias del proceso interactivo para el aprendizaje de geometría [8]. Este estudio se resalta la importancia del desarrollo profesional docente a través de entornos virtuales y el proceso enseñanza aprendizaje de la geometría.

De igual manera, en la investigación titulada “Propuesta Metodológica de Enseñanza y Aprendizaje de la Geometría, aplicada en escuelas críticas” estudian los procesos educativos de la geometría en el tema “cuadriláteros” en seis grados de cuarto año de Enseñanza Básica de Chile [9]. Se analiza la incidencia de la metodología, el rol del profesor, el rol del alumno y el uso de la tecnología. Los resultados de esta investigación muestran que el aprendizaje geométrico aumenta significativamente en los estudiantes.

Ciertos autores en su investigación “¿Por qué los estudiantes no logran un nivel de razonamiento en la geometría?” abordan las diferentes situaciones que se presentan en las aulas de clase, buscando promover un aprendizaje verdaderamente efectivo [10]. La dificultad y necesidad de los estudiantes por comprender los contenidos geométricos y la frustración por parte de los docentes al percatarse que los alumnos no identifican los conceptos tratados, evidencian la falta de nuevas metodologías. El modelo teórico más específico que se ajusta a esta situación en las aulas de clase es la teoría de Razonamiento Geométrico de Van Hiele.

En la investigación “Desarrollo de los niveles de razonamiento geométrico según el modelo de Van Hiele en estudiantes de 7° grado de la Institución Educativa San José de Carrizal, Córdoba - Colombia” se realiza una revisión teórica de los componentes del modelo de Van Hiele y de los estilos de aprendizaje [11]. En esta investigación se realiza un test para identificar los niveles de razonamiento geométrico de los estudiantes antes y después de la intervención. El estudio se abordó desde un enfoque cuantitativo de tipo cuasiexperiemental. En este trabajo no encontraron diferencias significativas entre los estilos de aprendizaje y la mejora en los niveles de razonamiento, con lo cual concluyeron que el modelo fue eficaz para la mayoría de los estudiantes independientemente de su estilo de aprendizaje.

En el estudio “Impacto del uso de entornos tecnológicos móviles en el aprendizaje de las matemáticas en educación media” pretende reflexionar sobre el problema del aprendizaje y la didáctica de las matemáticas, básicamente indagar sobre la forma como los docentes conciben la tarea de enseñar matemática y el valor que tienen los entornos tecnológicos móviles en la transformación de las prácticas de los docentes y en la calidad de los procesos de aprendizaje de las matemáticas, en estudiantes y docentes de educación media, grado 11° de la Institución Educativa Dolores Garrido de Córdoba, Colombia [12].

En la investigación “La resolución de problemas desde el modelo de George Polya, como estrategia para desarrollar el pensamiento geométrico en los estudiantes de grado 5° de la Institución Educativa Villa Cielo de Montería”, persiguió determinar la eficacia de la resolución de problemas desde el modelo de Polya [13]. En el desarrollo de la competencia de razonamiento, comunicación y resolución de problemas en el pensamiento geométrico, tomando como referente el estudio de los sólidos geométricos en los estudiantes de grado 5° de básica primaria de la I.E. Villa Cielo del municipio de Montería, Córdoba, Colombia [14].

De igual manera, en el estudio “La reproductibilidad: diseño de situaciones didácticas en la enseñanza del sistema geométrico” realizan el diseño de una guía metodológica con base en la teoría de las situaciones didácticas para favorecer la reproductibilidad en la enseñanza de los sistemas geométricos en el grado 3° de Educación Básica Primaria de la Institución Educativa INEM del municipio de Montería (Córdoba, Colombia) [15].

Las investigaciones referenciadas anteriormente han centrado sus estudios básicamente en: enseñanza de la geometría, formación continua de los profesores a través de los entornos virtuales, desarrollo del pensamiento espacial basado en tecnologías, teoría de Van Hiele como herramienta para el aprendizaje, impacto de entornos tecnológicos móviles en el aprendizaje de la matemática, resolución de problemas como estrategia para desarrollar pensamiento geométrico y diseño de situaciones didácticas.

III. Materiales y Métodos

A. Sofware Cabri Geometre

En el desarrollo de las actividades se empleó el Sofware Cabri Géomètre, “uno de los primeros programas de geometría dinámica que se convirtió en un recurso muy especial para las clases de matemáticas de todos los niveles” [1].

Se puede considerar a Cabri Géomètre un gran Juego de la Geometría no sólo para el matemático profesional sino también para el alumno que se inicia.

El software cuenta con un entorno amigable. Inicialmente se controlan pocas herramientas y se van incrementando con la resolución de problemas. El profesor puede diseñar applets dinámicos para ayudar a comprender los conceptos geométricos y las relaciones entre ellos. El software también incluye animaciones que permiten la interacción del alumno con los conceptos de geometría. Para niveles avanzados, Cabri es capaz de adaptarse a la representación y análisis de situaciones muy diversas. En este sentido Cabri facilita la modelización de situaciones y tiene grandes posibilidades para su exploración [1].

B. Fases de la investigación

En la siguiente Tabla 1 se presentan las fases y la ruta de la investigación, con ello se pretendió planificar el desarrollo de las actividades que permitieron la consecución de los objetivos específicos, y el alcance del objetivo general.

Tabla 1.
Fases de la investigación.

FASES

OBJETIVOS ESPECÍFICOS

ACTIVIDADES

Identificación de los niveles de Pensamiento Geométrico

Identificar el nivel de pensamiento geométrico de los estudiantes de grado 6º desde la perspectiva del modelo de Van Hiele

Diagnóstico del estado actual del nivel de pensamiento geométrico de los estudiantes de grado 6º de la I.E. Gabriel García Márquez de Corozal.

Sistematización de la preprueba y determinación del estado actual del nivel de desarrollo del pensamiento geométrico de los estudiantes de grado 6º de la I.E. Gabriel García Márquez de Corozal.

Análisis comparativo de la preprueba por sexo.

Análisis FODA de la preprueba

Diseño e implementación

Diseñar e implementar estrategias didácticas para la enseñanza de los cuadriláteros en estudiantes de grado 6º que aplican el modelo de Van Hiele y el uso del software Cabri.

Diseño de estrategias didácticas para la enseñanza de cuadriláteros con el uso de Cabri.

Diseño de estrategias didácticas para la enseñanza de cuadriláteros con el modelo de Van Hiele.

Determinación de los descriptores de los niveles de Van Hiele para la enseñanza de cuadriláteros.

Implementar estrategias para la enseñanza de cuadriláteros que involucre el uso del software Cabri y el modelo de Van hiele

Análisis y evaluación

Analizar y evaluar la incidencia del empleo de estrategias didácticas para la enseñanza de cuadriláteros que apliquen el modelo de Van hiele y el software Cabri en el desarrollo del pensamiento geométrico de los estudiantes.

Sistematización de la postprueba

Análisis comparativo de la postprueba por sexo.

Evaluación del impacto de la aplicación del instrumento a la población objetivo.

Recomendaciones y sugerencias frente a la enseñanza de cuadriláteros usando Cabri y el modelo de Van Hiele para desarrollar el pensamiento geométrico en estudiantes de grado 6º.

Redacción de un artículo científico.

Divulgación de resultados (conferencias y ponencias en eventos de carácter científico a nivel local, regional, nacional e internacional).

Fuente: Equipo investigador.

C. Operacionalización de variables

Para desarrollar el proceso investigativo se tuvieron como variables independientes las Tecnologías computacionales y el Modelo de Van Hiele; El pensamiento geométrico se consideró como variable dependiente.

En la siguiente Tabla 2 se presenta la operacionalización de estas variables:

Tabla 2.
Operacionalización de variables.

VARIABLES

DIMENSIONES

INDICADORES

Pensamiento geométrico.

Habilidad para representar, transformar, generar, comunicar, documentar y reflejar información visual.

Propiedades de los objetos y figuras.

Relaciones entre objetos y figuras.

Características de las figuras.

Propiedades invariantes de las figuras.

Transformaciones de figuras.

Reconocer tamaños y formas.

Ubicar objetos en el espacio según instrucciones.

Reconocer las distintas clases de cuadriláteros.

Diferenciar las propiedades geométricas de los cuadriláteros.

Identificar los elementos que conforman a los cuadriláteros.

Modelo de Van Hiele.

Es un modelo que describe las formas de razonamiento de los alumnos en geometría. De acuerdo con este modelo las formas en que razonan geométricamente los estudiantes se pueden categorizar en “cinco niveles: Visualización, Análisis, Deducción informal, Deducción formal y Rigor”[19].

Nivel de visualización

Reconocer cuadriláteros en figuras de polígonos convexos.

Reconocer figuras de cuatro lados.

Reconocer cuadrados.

Reconocer rectángulos

Identificar trapecios.

Identificar paralelogramos.

Reconocer un eje de simetría en un cuadrilátero.

Reconocer ángulos en cuadriláteros.

Nivel de análisis

Identificar la forma del cuadrilátero que tiene 4 ejes de simetría.

Seleccionar la forma que tiene un cuadrilátero, según tres pistas dadas.

Seleccionar cuadriláteros por propiedades comunes.

Identificar las propiedades de los cuadriláteros.

Nivel de deducción informal

Construye paralelogramos aplicando sus propiedades.

Transforma un paralelogramo en un trapecio.

Identifica la figura que se obtiene al estirar los vértices de un cuadrado.

Identifica proposiciones verdaderas relacionadas con los cuadriláteros.

Identifica el nombre de una figura, siguiendo pistas.

Identifica la forma de un trapezoide.

Genera una forma cuadrada con un mínimo de piezas triangulares.

Identifica cuadriláteros a partir de sus propiedades.

Tecnologías computacionales.

Son las tecnologías que automatizan la dinámica de la información, es decir, aquellas que llevan a cabo el tratamiento automático de la información a través de procesos de cómputo en

dispositivos electrónicos.

Software Cabri

Construir un cuadrado a partir de una macro.

Diferenciar las características de los trapecios y paralelogramos.

Verificar propiedades invariantes en los cuadriláteros.

Ubicar figuras en el plano cartesiano.

Fuente: Equipo investigador.

D. Población y muestra.

La población objeto de estudio estuvo determinada por los 943 estudiantes de una Institución Educativa del municipio de Corozal (Sucre, Colombia) y la muestra estuvo conformada por los dos grupos de estudiantes de grado sexto (60 estudiantes). Uno de estos grupos es el de control donde se desarrollaron las actividades de manera tradicional y el otro grupo es el experimental, donde se implementó la estrategia didáctica con el modelo de Van Hiele y el software Cabri.

En la siguiente Tabla 3 se muestra la distribución por sexos de los estudiantes en los grados sextos.

Tabla 3.
Muestra de Estudiantes de sexto grado.

Grado

Niños

Niñas

% niños

% niñas

Total

6° 1

12

18

40%

60%

100%

6° 2

14

16

47%

53%

100%

26

34

Fuente: Institución Educativa Gabriel García Márquez de Corozal (Sucre, Colombia).

Se pudo evidenciar en la Tabla 3 que el número de niñas es mayor en ambos grados, el primero con un porcentaje del 60% y el segundo con un 53%. También a nivel global el porcentaje de niñas es mayor con un 56.7%.

IV. Contribuciones y Analisis de Resultados

En el diseño cuasiexperimental implementado se utilizan dos grupos 6º 1 y 6º 2, en donde uno recibe el tratamiento experimental, el otro no. Ambos grupos se les administra una preprueba al inicio del estudio, y luego de hacer la intervención en el grupo experimental, se les aplica una postprueba, con el objeto de analizar si el tratamiento experimental tuvo un efecto sobre la variable dependiente.

El primer análisis se realiza con tablas descriptivas ajustada a indicadores de desempeño establecidos para evaluar el rendimiento de los estudiantes tanto en el pretest como en el postest. Seguidamente se le hace seguimiento a las actividades realizadas con el grupo experimental para evaluar sus desempeños por componentes al utilizar las estrategias computacionales. Finalmente se realizó un análisis cuantitativo que implicó el uso de pruebas de contraste paramétricas, en este caso las pruebas t de contraste entre medias para muestras independientes y las pruebas t de contraste entre medias para muestras relacionadas. Todas las pruebas se realizaron con el paquete estadístico IBM-SPSS (versión 23) [17]. La prueba t, es una prueba estadística para evaluar si dos grupos difieren entre sí de manera significativa respecto a sus medias. Se empleó la prueba t, porque se quería contrastar los resultados de una preprueba con los resultados de una postprueba en un contexto cuasiexperimental. Además, los grupos seleccionados (6º 1 y 6º 2), correspondían a los únicos grupos existentes para este grado en la Institución Educativa Gabriel García Márquez de Corozal.

A. Análisis cuantitativo del pretest.

Se plantearon las siguientes hipótesis:

Ho: La media de los puntajes obtenidos por los estudiantes del grupo experimental es igual a la media de los puntajes obtenidos por los estudiantes del grupo control.

Ha: La media de los puntajes obtenidos por los estudiantes del grupo experimental es mayor a la media de los puntajes obtenidos por los estudiantes del grupo control.

En las Tabla 4, Tabla 5 y Tabla 6 se presentan los resultados de la aplicación de la prueba t para la igualdad de medias del Pretest.

Tabla 4.
Estadísticas del grupo en el Pretest.

Estadísticas de grupo

Grupos objeto de investigación

N

Media

Desviación estándar

Media de error estándar

Puntajes obtenidos en la prueba

Grupo experimental

30

15.13

3.213

0.587

Grupo Control

30

16.00

3.620

0.661

Fuente: Equipo investigador.
Tabla 5.
Prueba Levene de igualdad de varianzas para el Pretest.

Prueba de Levene de igualdad de varianzas

F

Sig.

Puntajes obtenidos en la prueba

Se asumen varianzas iguales

0.037

0.849

Fuente: Equipo investigador.
Tabla 6.
Prueba de muestras independientes en el Pretest.

Prueba de muestras independientes

Prueba t para la igualdad de medias

t

gl

Sig. (bilateral)

Diferencia de medias

Diferencias de error estándar

95% de intervalo de confianza de la diferencia

Inferior

Superior

–0.981

58

0.331

–0.867

0.884

–2.636

0.902

Fuente: Equipo investigador.

Como el valor p es mayor a 0.05 no se rechaza la hipótesis nula de igualdad de las medias entre los puntajes obtenidos por los estudiantes de los grupos experimental y control, en la prueba inicial (Pretest). Por tanto, no se tienen suficientes evidencias para establecer que los desempeños de los estudiantes de los grupos experimental y control en la prueba inicial sean distintos. Esto muestra que el nivel de avance del pensamiento espacial en los estudiantes de los grados 6º1 y 6º2 de la Institución Educativa Gabriel García Márquez de Corozal no tiene diferencias significativas. En la Fig. 1 se muestran estos resultados.

Fig. 1. Puntajes obtenidos en el Pretest.
Fuente: Equipo investigador.

B. Análisis cuantitativo del postest

Hipótesis:

Ho: La media de los puntajes obtenidos por los estudiantes del grupo experimental es igual a la media de los puntajes obtenidos por los estudiantes del grupo control.

Ha: La media de los puntajes obtenidos por los estudiantes del grupo experimental es mayor a la media de los puntajes obtenidos por los estudiantes del grupo control.

En las Tabla 7, Tabla 8 y Tabla 9 se presentan los resultados de la aplicación de la prueba t para la igualdad de medias del Postest.

Tabla 7.
Estadísticas de grupo en el Postest.

Estadísticas de grupo

Grupos objeto de investigación

N

Media

Desviación estándar

Media de error estándar

Puntajes obtenidos en la prueba

Grupo experimental

30

22.07

2.303

0.421

Grupo Control

30

20.37

3.045

0.556

Fuente: Equipo investigador.
Tabla 8.
Prueba Levene de igualdad de varianzas del Postest.

Prueba de Levene de igualdad de varianzas

F

Sig.

Puntajes obtenidos en la prueba

Se asumen varianzas iguales

4.720

0.034

Fuente: Equipo investigador.
Tabla 9.
Prueba de muestras independientes en el Postest.

Prueba de muestras independientes

Prueba t para la igualdad de medias

t

gl

Sig. (bilateral)

Diferencia de medias

Diferencias de error estándar

95% de intervalo de confianza de la diferencia

Inferior

Superior

2.439

58

0.018

1.700

0.697

0.305

3.095

Fuente: Equipo investigador.

Como el valor p es menor a 0,05 se rechaza la hipótesis nula de igualdad de las medias entre los puntajes obtenidos por los estudiantes de los grupos experimental y control, en la prueba final (POSTEST). Por tanto, hay evidencias suficientes para afirmar que el desempeño de los estudiantes del grupo experimental fue mejor en comparación con el desempeño de los estudiantes del grupo control. De acuerdo con lo anterior, el nivel de desarrollo del pensamiento geométrico en los estudiantes del grado 6º1 fue mejor con el empleo del software Cabri, con respecto a los estudiantes del grado 6º2 que no usaron dicho software en el aprendizaje de cuadriláteros. En la Fig. 2 se muestran estos resultados.

Fig. 2. Puntajes obtenidos en el Postest.
Fuente: Equipo investigador

C. Análisis cuantitativo del grupo experimental

Hipótesis:

Ho: La media de los puntajes obtenidos por los estudiantes del grupo experimental en la prueba inicial es igual a la media de los puntajes obtenidos por los estudiantes en la prueba final.

Ha: La media de los puntajes obtenidos por los estudiantes del grupo experimental en la prueba inicial es menor a la media de los puntajes obtenidos por los estudiantes en la prueba final.

En la Tabla 10 y Tabla 11 se presentan los resultados de la aplicación de la prueba t para muestras emparejadas, para el análisis cuantitativo del grupo experimental.

Tabla 10.
Estadísticas de muestras emparejadas para el grupo experimental.

Prueba de muestras independientes

Media

Media de error estándar

95% de intervalo de confianza de la diferencia

t

gl

Sig. (bilateral)

Inferior

Superior

Puntaje de prueba pretest grupo experimental - Puntaje Prueba postest grupo experimental

–6.933

4.076

0.744

–5.411

–9.316

29

0.000

Fuente: Equipo investigador
Tabla 11.
Prueba de muestras emparejadas para el grupo experimental.

Estadísticas de muestras emparejadas

Grupos objeto de investigación

Media

N

Desviación estándar

Media de error estándar

Puntaje de prueba pretest grupo experimental

15.13

30

3.213

0.587

Puntaje Prueba postest grupo experimental

22.07

30

2.303

0.421

Fuente: Equipo investigador.

Como el valor p es menor a 0,01 se rechaza la hipótesis nula de igualdad de las medias entre los puntajes obtenidos por los estudiantes del grupo experimental en las pruebas inicial y final, esto es, hay evidencias suficientes para afirmar que la estrategia implementada en la enseñanza de los cuadriláteros con el uso del software y la teoría de Van Hiele, mejoró los desempeños de los estudiantes del grupo experimental.

D. Análisis cuantitativo del grupo control

Hipótesis:

Ho: La media de los puntajes obtenidos por los estudiantes del grupo control en la prueba inicial es igual a la media de los puntajes obtenidos por los estudiantes en la prueba final.

Ha: La media de los puntajes obtenidos por los estudiantes del grupo control en la prueba inicial es menor a la media de los puntajes obtenidos por los estudiantes en la prueba final.

En la Tabla 12 y Tabla 13 se presentan los resultados de la aplicación de la prueba t para muestras emparejadas, para el análisis cuantitativo del grupo control.

Tabla 12.
Estadísticas de muestras emparejadas para el grupo control.

Estadísticas de muestras emparejadas

Grupos objeto de investigación

Media

N

Desviación estándar

Media de error estándar

Puntaje de prueba pretest grupo experimental

16.00

30

3.620

0.661

Puntaje Prueba postest grupo experimental

20.37

30

3.045

0.556

Fuente: Equipo de investigación
Tabla 13.
Prueba de muestras emparejadas para el grupo control.

Prueba de muestras independientes

Media

Media de error estándar

95% de intervalo de confianza de la diferencia

t

gl

Sig. (bilateral)

Inferior

Superior

Puntaje de prueba pretest grupo experimental - Puntaje Prueba postest grupo experimental

–4.367

5.216

–6.314

–2.419

–4.585

29

0.000

Fuente: Equipo investigador.

Como el valor p es menor a 0.01 se rechaza la hipótesis nula de igualdad de las medias entre los puntajes obtenidos por los estudiantes del grupo control en las pruebas inicial y final, esto es, hay evidencias suficientes para afirmar que los desempeños de los estudiantes del grupo control mejoraron con las actividades tradicionales realizadas en sus clases.

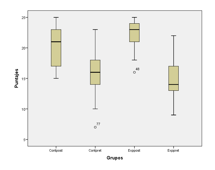
En la Fig. 3 se muestran los resultados obtenidos por los estudiantes de los grupos experimental y control en la aplicación del pretest y postest.

Fig. 3. Puntajes obtenidos por los grupos experimental y control en el pretest y postest.
Fuente: Equipo de investigación.

Del análisis cuantitativo de los resultados se pueden inferir las siguientes consideraciones:

La aplicación de la prueba inicial en los estudiantes de grado 6º1 y 6º2 de la Institución Educativa Gabriel García Márquez evidenció que no existen diferencias significativas en el nivel de desarrollo del pensamiento geométrico entre estos dos grupos (Tabla 4).

El nivel de avance del pensamiento espacial en los estudiantes de grado 6º1 fue mejor con el empleo del software y la teoría de Van Hiele, respecto a los estudiantes del grado 6º2 que recibieron sus clases con estrategias didácticas tradicionales en la Institución Educativa Gabriel García Márquez de Corozal (Tabla 7).

Los estudiantes de grado 6º1 de la Institución Educativa Gabriel García Márquez de Corozal, mejoraron su desempeño en gran medida en geometría, en el tema de cuadriláteros, al desarrollar sus procesos de enseñanza y aprendizaje utilizando el software y la teoría de Van Hiele (Tabla 11 y Tabla 12).

Los estudiantes de grado 6º2 mejoraron su desempeño, a pesar de realizar sus clases en el tema de cuadriláteros de manera tradicional, aunque este avance no fue tan notorio, como el presentado por el grado 6º1 que recibieron sus clases con el apoyo del software y la teoría de Van Hiele (Tabla 10 y Tabla 13).

V. Conclusiones

Algunas conclusiones y observaciones se explicarán alrededor de la pregunta y objetivos planteados en el marco de este estudio.

Los resultados arrojados en esta investigación, en efecto, evidencian que los estudiantes mejoraron sus desempeños en el aprendizaje de los cuadriláteros con el empleo de software educativo y la teoría de Van Hiele. El uso de la tecnología fue un valor agregado importante, los estudiantes tuvieron mayor interés y se mostraron participativos y comprometidos con su aprendizaje. La teoría de Van Hiele se convirtió en un referente válido para medir el avance que tuvieron los estudiantes en el aprendizaje de los cuadriláteros, transitando desde el nivel de visualización, nivel de análisis, hasta el nivel de deducción informal, a partir del reconocimiento de estas figuras, sus propiedades, elementos y relaciones entre los distintos tipos de cuadriláteros.

En la prueba inicial no se evidenciaron diferencias significativas en el nivel del pensamiento geométrico de los escolares de los grados 6º1 y 6º2. El puntaje promedio del primer grupo fue de 15.3 (61.2%) y del segundo grupo de 16 (64 %), sobre un total de 25 (100%). Los puntajes promedios obtenidos denotan un desempeño básico de los estudiantes, de acuerdo con la escala de avaluación nacional establecida en el Decreto 1290 del Ministerio de Educación Nacional.

La intervención se realizó en siete etapas, que fueron las siguientes: diseño y validación del pretest (primer trimestre 2015), aplicación del pretest (segundo trimestre 2015), diseño de estrategias didácticas para la enseñanza de cuadriláteros (tercer trimestre 2015), desarrollo de estrategias didácticas (cuarto trimestre 2015), diseño del postest (primer trimestre 2016), aplicación del postest (segundo trimestre 2016), análisis de resultados (tercer trimestre 2016).

La aplicación de estrategias para enseñar cuadriláteros con el uso del programa computacional cabri y la teoria de Van Hiele, se realizó por espacio de seis meses, se desarrollaron actividades en el curso experimental 6º1. Con el curso 6º2 se gestionaron los conceptos de cuadriláteros de manera tradicional. Las estrategias implementadas en el grado 6º1, abordaron actividades para identificar trapecios, afianzar el concepto de cuadrado, identificar rectángulos, identificación de rombos y paralelogramos, diferenciar rombos y romboides, construcción de un cuadrado usando el programa computacional Cabri a partir de una macroconstrucción, diferencias de trapecios y paralelogramos en el software y uso del plano cartesiano con tecnología.

Para este propósito se tuvieron en consideración las pautas de aprendizaje propuestas por Van Hiele para desarrollar el pensamiento geométrico. Estas fases fueron: Fase 1. Información: Aquí se determinaron los saberes previos que tenían los escolares sobre los cuadriláteros de manera oral y se informó a los mismos sobre las temáticas de estudio que se abordarían. Fase 2, Orientación dirigida: Acá los estudiantes desarrollaron talleres con actividades concretas, bien secuenciadas, para descubrir, comprender, asimilar y aplicar ideas, conceptos, propiedades y relaciones sobre cuadriláteros. Fase 3. Explicitación: En esta fase los estudiantes intercambiaron ideas y experiencias respecto de las formas, propiedades y relaciones de los cuadriláteros. El docente corrigió el lenguaje de los escolares ajustado a los requerimientos del nivel de deducción informal. Fase 4. Orientación libre: Aquí aparecen las preguntas abiertas, las cuales puedan ser abordados de distintas formas. Pueden tener distintas respuestas válidas, según se interprete su enunciado. Fase 5. Integración: En esta fase no se trabajaron temáticas nuevas, sino que se consolidaron las ya abordadas.

Los resultados arrojados por la prueba final mostraron que existen evidencias para afirmar que el desempeño de los escolares del curso experimental fue mejor en comparación con el desempeño de los escolares del curso control. El nivel de avance del razonamiento espacial en los escolares del grado 6º1 fue mejor con el empleo del software Cabri, con respecto a los estudiantes del grado 6º2 que no usaron el software en el aprendizaje de los cuadriláteros. El puntaje promedio del grado 6º1 fue de 22.07 (88.28%) y el puntaje promedio del grado 6º2 fue de 20.37 (81.48%). En ambos casos se obtuvo un desempeño promedio alto, de acuerdo con el decreto 1290 del Ministerio de Educación Nacional. Frente a estos resultados, se puede inferir que el razonamiento espacial de los estudiantes de grado sexto se potenció al aplicar estrategias didácticas que emplearon la teoría de Van Hiele y el software Cabri en el estudio de los cuadriláteros.

Los estudiantes de grado 6º2 mejoraron su desempeño, a pesar de realizar sus clases en el tema de cuadriláteros de manera tradicional, aunque este avance no fue tan notorio, como el presentado por el grado 6º1 que recibieron sus clases con el apoyo del software educativo y la teoría de Van Hiele. El avance porcentual en el desempeño promedio del grupo control fue del 17% (paso de un 64% en la prueba inicial a un 81.48% en la prueba final), en cambio el avance del grupo experimental fue del 27.08% (paso de un 61.2% en la prueba inicial a un 88.28% en la prueba final).

Relacionados con los aportes teóricos se puede concluir que el Modelo de Van Hiele es un referente válido para determinar el nivel de avance del razonamiento espacial de los escolares, transitando desde el nivel más elemental (visualización) hasta el de mayor complejidad (deducción formal y rigor) [16].

Para el diseño de las actividades, el Cabri se empleó en los talleres para automatizar algunas construcciones como el caso de la macro del cuadrado. De igual modo, en la verificación de propiedades de trapecios y paralelogramos; en este sentido, su potencial va mucho más allá de generar fluidez algorítmica en los estudiantes para desarrollar una fluidez conceptual, estableciendo relaciones entre los distintos tipos de cuadriláteros e identificando sus características y las propiedades representativas de cada uno de ellos.

VII. Agradecimientos

El autor desea agradecer a todos los estudiantes y profesores de la Institución Educativa Gabriel García Márquez de Corozal – Sucre, Colombia que colaboraron en el desarrollo del trabajo investigativo, y a todas aquellas personas que de una u otra forma apoyaron al perfeccionamiento y la culminación de este proyecto.

VIII. Referencias

[1] República de Colombia, MEN, Incorporación de nuevas tecnologías en el currículo de matemáticas de la educación media de Colombia. BO, CO: MEN, 2002. Disponible en https://www.mineducacion.gov.co/1621/article-81040.html

[2] F. Guasmayan, N. Gonzalez y J. Eraso, “Estado del arte de redes educativas para el intercambio de conocimientos en robótica educativa”, RINN, vol. 7, no. 2, pp. 1721, 2019. Disponible en https://revistas.unicordoba.edu.co/index.php/rii/article/view/1784/2048

[3] T. Balch, J. Summet, D. Blank, D. Kumar, M. Guzdial, K. O’Hara & A. Gavin, “Designing personal robots for education: hardware, software and curriculum”, Pervasive Comput, vol. 7, no. 2, pp. 59, Apr. 2008. https://doi.org/10.1109/MPRV.2008.29

[4] M. Badiola, Red experimentar y compartir, Proyecto E&P, 2013. Disponible en https://sites.google.com/site/redikaskide/

[5] J. Ñáñez, J. Solano y E. Bernal, “Actitudes y percepciones de los estudiantes, docentes y directivos sobre enseñanza y aprendizaje flexibles, e incorporación de Tic”, Rev Ing Innov, vol. 6, no. 1, pp. 2433, 2018. Disponible en https://revistas.unicordoba.edu.co/index.php/rii/article/view/1538/1810

[6] B. Ojeda y B. Medina, “Cómo justificar en geometría”, Xictli, no. 52, pp. 2020, 2003. Disponible en http://u094.upnvirtual.edu.mx/index.php/docencia/revista-xictli

[7] C. Alsina y C. Burgués & J. M. Fortuny, Invitación a la didáctica de la geometría, 4 ed. Madrid: Síntesis, 1999.

[8] M. Almeida, “Desarrollo Profesional Docente en Geometría: análisis de un proceso de Formación a Distancia”, Disertación PhD, dpto Didac Cienc, UB, BAR, ES, 2002. Recuperado de https://www.uv.es/aprengeom/archivos2/Almeida02.pdf

[9] S. Lastra, “Propuesta Metodológica de Enseñanza y Aprendizaje de la Geometría, aplicada en escuelas críticas”, Tesis MS, Univ Chile. Santiago de Chile, Chile, 2005. Disponible en http://repositorio.uchile.cl/handle/2250/105960

[10] R. Goncalves, “Por qué los estudiantes no logran un nivel de razonamiento en la geometría”, Rev Cienc Edu, vol. 1, no. 27, pp. 8398, Ene. 2006. Recuperado de http://servicio.bc.uc.edu.ve/educacion/revista/volIn27/27-5.pdf

[11] N. Fuentes, I. Portillo & J. Robles, “Desarrollo de los niveles de razonamiento geométrico según el modelo de Van Hiele de estudiantes de 7 grado de la I.E. San José de Carrizal”, Tesis MS, UCO, MT, CO, 2015. https://doi.org/10.15765/pnrm.v9i16.635

[12] N. Espitia. “Impacto del uso de entornos tecnológicos móviles en el aprendizaje de las matemáticas en educación media”, Tesis MS, UCO, MT, CO, 2018.

[13] E. Sáenz y M. Patiño, “La resolución de problemas desde el modelo de George Polya como estrategia didáctica para desarrollar el pensamiento geométrico en los estudiantes de grado 5º de la I.E. Villa Cielo de Montería”, Tesis MS, UCO, MT, CO, 2017.

[14] G. Polya, Cómo plantear y resolver problemas. MX, D.F., MX: Trillas, 1965.

[15] I. Racero, “La reproducibilidad: Diseño de situaciones didácticas en la enseñanza del sistema geométrico de la institución educativa Lorenzo María Lleras, en Montería —Córdoba—”, Panorama, vol. 11, no. 1, pp. 2737, 2017. https://doi.org/10.15765/pnrm.v11i21.1052

[16] L. Bohórquez, “Sobre las formas efectivas de incorporar el software Cabri en la enseñanza de conceptos geométricos en el bachillerato”, Rev Estud Soc, no. 19, pp. 106109, 2004. https://doi.org/10.7440/res19.2004.08

[17] SPSS. (versión 23). IBM. Disponible en https://www.ibm.com/support/pages/downloading-ibm-spss-statistics-23

Eugenio Therán-Palacio es M.Sc en Educación de la Universidad de Córdoba (Colombia). Especialización en Gerencia Educativa de la misma Universidad de Córdoba (Colombia). Especialización en Educación Matemática de la Universidad de Sucre (Colombia). Actualmente está cursando el Doctorado en TIC en la Universidad de la Costa (Barranquilla, Colombia) y es profesor catedrático y miembro del grupo de investigación PROPED de la Universidad de Sucre (Colombia). Sus intereses de investigación se encuentran en el campo de las TIC y en los Entornos Virtuales Inmersivos y su incorporación en el Turismo basados en Realidad Virtual. https://orcid.org/0000-0002-8594-2560