...........................................................................................................................................

Santander-Oliveros, Ortiz-Muñoz, Piñeres-Ariza, Ariza-Barraza y Albis-Arrieta / INGE CUC, vol. 15 no. 1, pp. 25-35 Enero - Junio, 2019

Estudio TG-MS de la gasificación del carbonizado de la cáscara de Copoazú (Theobroma Glandiflorum)

Gasification study using TG-MS of carbonized Copoazú peel (Theobroma Glandiflorum)

DOI: http://dx.doi.org/10.17981/ingecuc.15.1.2019.03

Artículo de Investigación Científica. Fecha de Recepción:06/07/2018, Fecha de Aceptación:17/02/2018.

Aderlys Santander-Oliveros E:\Users\aromero17\Downloads\orcid_16x16.png

Universidad del Atlántico. Barranquilla, (Colombia)

asantander1111@gmail.com

Ever Ortiz-Muñoz E:\Users\aromero17\Downloads\orcid_16x16.png

Universidad del Atlántico. Barranquilla, (Colombia)

everortiz@uniatlantico.edu.co

Ismael Piñeres-Ariza E:\Users\aromero17\Downloads\orcid_16x16.png

Universidad del Atlántico. Barranquilla, (Colombia)

ismaelpineres@mail.uniatlantico.edu.co

Cindy Ariza-Barraza E:\Users\aromero17\Downloads\orcid_16x16.png

Instituto de Investigación en Catálisis y Petroquímica INCAPE. Santa Fé, (Argentina)

skarlett@fiq.unl.edu.ar

Alberto Albis-Arrieta E:\Users\aromero17\Downloads\orcid_16x16.png

Universidad del Atlántico. Barranquilla, (Colombia)

albertoalbis@uniatlantico.edu.co

.

Para citar este artículo:

Aderlys Santander-Oliveros; Ever Ortiz-Muñoz; Ismael Piñeres-Ariza; Cindy Ariza-Barraza; Alberto Albis-Arrieta “Estudio TG-MS de la gasificación del carbonizado de la cáscara de Copoazú (Theobroma Glandiflorum)”, INGE CUC, vol. 15, no. 1, pp. 25-35 2019. DOI: http://doi.org/10.17981/ingecuc.15.1.2019.03

.

Resumen

Introducción− El uso de especies exóticas como materias primas en biorrefinerías puede impulsar el desarrollo sostenible de regiones como la Amazonía; sin embargo, se considera pertinente generar más estudios experimentales previos, que permitan evaluar su potencialidad técnica, aplicada en este caso específicamente con la cáscara de Copoazú.

Objetivo− El objetivo de este artículo es determinar la cinética de gasificación del carbonizado resultado de la pirólisis de la cáscara de Copoazú.

Metodología− En este trabajo se utilizó el análisis termogravimétrico acoplado a espectroscopía de masas (TG-MS), para establecer la distribución de los productos de la gasificación y la cinética de la descomposición del carbonizado, subproducto de la pirólisis de las cáscaras de copoazú. La materia prima fue caracterizada por FTIR y se utilizaron tres velocidades de calentamiento diferentes para el proceso termoquímico.

Resultados− Los parámetros cinéticos del proceso de gasificación se obtuvieron ajustando los datos experimentales con tres modelos diferentes, obteniéndose un buen ajuste al modelo DAEM con tres conjuntos de reacciones.

Conclusiones− Los datos obtenidos pueden utilizarse para modelar las reacciones de gasificación del carbonizado de esta materia prima. La cinética de producción de la mayoría de las moléculas que se detectaron con una abundancia relativa alta se pudo relacionar con las reacciones de descomposición térmica del carbonizado de la cáscara de Copoazú, de acuerdo con el modelo DAEM.

Palabras clave− Gasificación; cáscara de Copoazú; TG-MS; modelo DAEM.

.

Abstract

Introduction− The use of exotic species as raw materials in biorefineries can promote the sustainable development of regions such as the Amazon; however, it is considered pertinent to generate more previous experimental studies to evaluate their technical potential, applied in this case specifically with the Copoazú peels.

Objective− The aim of this article is to obtain the kinetic parameters of the gasification of Copoazú peels char.

Methodology− In this work, the thermogravimetric analysis coupled to mass spectrometry (TG-MS), was used to study the kinetics of the gasification and product distribution of the char obtained as a sub-product of the pyrolysis of the Copoazú peels.

Results− The kinetics parameters of the gasification process were obtained fitting data to three different models; results showed a good fitting to the DAEM model with three subsets of reactions.

Conclusions− Results could be used to model the gasification of the char from Copoazu peels. Production kinetics of most of the molecules detected with high relative abundance could be linked to the kinetics of devolatilization reactions of Copoazú peels char according to DAEM.

Keywords− Gasification; Copoazú peels; TG-MS, DAEM model.

I. Introducción

La explotación energética de la biomasa a través de la gasificación tiene un gran potencial a nivel mundial, en la medida en que los recursos energéticos se enmarquen en un plan de manejo racional. La utilización tradicional de la biomasa cayó en desuso después de 1970, debido a su dificultad de manejo, en comparación con los combustibles líquidos y gaseosos derivados del petróleo. Las preocupantes consecuencias del efecto invernadero y la posible escasez combustibles fósiles, han reabierto la posibilidad de aprovechar la biomasa para producir energía [1]. La biomasa tiene un balance neutro de CO2 ya que este fue adsorbido previamente por la planta durante el proceso fotosintético. En la Unión Europea, se está impulsando el uso de biomasa como una fuente de energía [2]. En América Latina, el uso de biomasa aparece como un camino para lograr un suministro eléctrico eficiente en áreas no interconectadas a la red eléctrica y de difícil acceso, conformándose como un sistema sencillo y muy eficiente de autosuficiencia de pequeñas comunidades. El método que mejor se adapta a estas necesidades es la gasificación, comprendida como un proceso termoquímico en el que la biomasa sólida se transforma en un gas compuesto principalmente por CO, H2, CH4, CO2, H2O y N2 el cual puede usarse como combustible en motores de combustión interna, para generar potencias eléctricas pequeñas; facilitando el uso de la biomasa en el mismo lugar donde se genera y reduciendo así, los costos asociados con sus procesos de transporte y almacenamiento.

El cultivo de Copoazú (Theobroma glandiflorum) se encuentra extendido en Perú, Brasil y Colombia. El fruto presenta más pulpa que semilla, en una relación de 2 a 1, lo cual proporciona ventajas para su explotación agroindustrial. La pulpa del Copoazú es de color blanco, con altos contenidos de fósforo, pectina y contenidos medios de calcio y vitamina C y se utiliza en la elaboración de alimentos. Del fruto también se aprovecha su semilla, que contiene porcentajes altos de proteína y grasa, para la preparación de un producto con características similares al chocolate [3]. Por otra parte, la cáscara, que corresponde alrededor del 47 % (base seca) del fruto, no es utilizada y se convierte en un residuo agroindustrial.

El análisis termogravimétrico acoplado a espectrometría de masas (TG/MS), es un método eficiente para medir la cinética del proceso de devolatilización térmica de la biomasa y el efecto de las variables que la afectan. Los datos obtenidos permiten el diseño adecuado de gasificadores, siendo un aspecto clave, relevante y pertinente; dado que la factibilidad y posibilidad del uso masivo de sistemas de gasificación recae en el desarrollo de equipos confiables que puedan usar la biomasa en el mismo lugar y bajo las condiciones en que es producida, reduciendo así el costo asociado con los pretratamientos y el transporte [4]. En este trabajo, se analizó el comportamiento térmico y la cinética de devolatización del carbonizado de la pirólisis del copoazú utilizando TG/MS en atmósfera de helio (120 mL/min) en un rango de temperatura entre 950 K y 1250 K. Se emplearon tres rampas de calentamiento (4, 10 y 30 K/min). El carbonizado se caracterizó por análisis infrarrojo FTIR. Las energías de activación, factores pre-exponenciales y órdenes de reacción se calcularon a través de tres modelos ampliamente usados en la literatura especializada. Se verificó que tanto la energía de activación, como los factores pre-exponenciales pudiesen ajustarse con los cambios en las velocidades de calentamiento, lo que debe tomarse en cuenta cuando se modela el proceso de gasificación [5].

II. Revisión literaria

Algunos estudios [6], [7], [8], [9] muestran la influencia de la composición de la biomasa y la velocidad de calentamiento en la distribución de los productos de gasificación y las propiedades del combustible obtenido, por lo que cada potencial biomasa que se pretenda usar como materia prima para la gasificación, debe estudiarse en detalle [10]. Los resultados asociados a esta clase de estudios son de gran importancia, debido a que proveen información para el diseño y optimización de gasificadores industriales y se pueden usar para el modelado cinético del proceso de gasificación [11].

El Copoazú (Theobroma grandiflorum) es una fruta exótica salvaje que se encuentra en la mayoría de la selva oriental amazónica y adicionalmente se ha incrementado su cultivo, debido a la posibilidad de obtener varios productos alimenticios de su pulpa y semillas, como el chocolate blanco [12]. Los cultivos de Copoazú están extendidos en Brasil, Perú y Colombia. El 47 % de la masa en base seca del fruto corresponde a la cascara, la cual se convierte en un residuo agroindustrial a partir del cual podrían producirse energía y químicos. Estudios recientes, han mostrado que una biorrefinería basada en Copoazú y frutas exóticas relacionadas pueden ser considerada como una oportunidad para promover el desarrollo rural con la participación de productores a pequeña escala que suministren las materias primas [4], [13].

La devolatilización de la biomasa lignocelulósica es el resultado de la descomposición de sus tres componentes principales, celulosa, hemicelulosa y lignina. El modelo que mejor se aproxima al proceso de devolatilización de la biomasa es el que considera varias reacciones en paralelo [14].

III. Metodología

A. Muestras

El estudio se realizó con cáscaras de frutos de copoazú cultivados en la granja “Estefanía” ubicada en el kilómetro 3 de la vía a Neiva, en la vereda la primavera del municipio de Florencia. La mencionada granja se encuentra localizada a 1º39’49.8” de latitud norte y 75º36’55.7” de longitud oeste del meridiano de Greenwich, a 332 m. Los frutos recolectados en estado de madurez de consumo fueron lavados con agua potable, y se les fragmentó la corteza para realizar la separación de sus partes. Las cortezas obtenidas fueron secadas en un horno hasta humedad constante a 70º C, posteriormente se molieron y tamizaron hasta un tamaño de partículas de 90 µm a 120 µm. Luego se pilorizó una muestra hasta 700 K y se le realizó una caracterización por medio de Espectrometría Infrarroja por Trasformada de Fourier (FTIR) para determinar su composición antes de la gasificación. Las otras muestras fueron sometidas a un proceso de pirólisis mediante termogravimetría hasta carbonizar la muestra a una temperatura de 950 K. Dichas muestras fueron utilizadas para la caracterización por medio de la técnica termogravimetría acoplada a espectrometría de masas.

B. Análisis Termogravimétrico - Espectrometría de Masas (TG-MS)

Para los estudios de termogravimetría acoplada a masas se utilizó una balanza termogravimétrica, TA Instruments TGA 2950 acoplada a un espectrómetro de masas Thermo Star Pfeiffer a través de un capilar, el cual se calentó con una resistencia eléctrica hasta una temperatura de 200° C para evitar la condensación de los productos. Para la caracterización del biocarbón se utilizó un espectrómetro infrarrojo por trasformada de Fourier FTIR Affinity-1 Shimadzu. Las mediciones se llevaron a cabo utilizando helio como gas de purga a un flujo de 100 ml/min. Antes de realizar la experiencia, el aparato se purgo durante 9 horas con el gas trasportador. Durante la purga, el filamento se calienta y se limpia mediante cocción, se calentó el capilar a 473 K y se dejó enfriar durante 1 hora.

C. Condiciones Experimentales

Se emplearon tres velocidades de calentamiento constantes en este estudio: (4, 10, y 30 K/min). La masa de la muestra cargada a la termobalanza se varió con un intervalo comprendido entre (8 mg a 14 mg), según la velocidad de calentamiento, utilizando un tamaño de muestra menor para mayores velocidades de calentamiento para reducir la influencia de los fenómenos de transferencia de masa y calor.

D. Modelos

Se utilizaron tres modelos ampliamente empleados en la literatura especializada para este tema. Se utilizaron los modelos de reacción n-ésima y de cinética libre [15] para evaluar la cinética de la descomposición térmica de la biomasa utilizando sólo los datos termogravimétricos y no se pueden aplicar para los datos de intensidad de espectrometría de masas. Para efectos de estudiar la cinética de las especies evolucionadas, se empleó el modelo propuesto por Várhegyi [16]. Antes de la evaluación de todas las señales de m/z se reajustaron y normalizaron las señales con la intensidad de la señal correspondiente a m/z = 2 a 950 K y la línea base correspondiente se restó para cada curva.

1) Modelo de reacción n-ésima

La tasa de gasificación se puede expresar como una función de una constante de velocidad dependiente de la temperatura y un modelo de reacción de conversión-dependiente. La dependencia de la temperatura de la constante de velocidad con la temperatura se puede describir mediante la ecuación de Arrhenius, y el modelo de reacción elegida en este trabajo fue un modelo de reacción de n-ésimo, por lo tanto, la ecuación que describe la tasa de devolatilización puede escribirse como (1):

(1)

Donde α es la conversión, A es el factor pre-exponencial, E es la energía de activación, y n es el orden de reacción. Introduciendo la velocidad de calentamiento β, la ecuación anterior se puede expresar como una función de la temperatura, como se muestra en la ecuación 2:

(2)

Para obtener los parámetros para el modelo de reacción de n-ésimo, (2) se reordena en (3) y el lado izquierdo de la ecuación se representa gráficamente como una función de (1/T). Para un correcto orden de reacción n, esto debería resultar en una línea recta y la energía de activación puede ser calculada a partir de la pendiente de la línea calculada y el factor pre-exponencial de la intersección con el eje de ordenadas [17].

(3)

2) Cinética libre de modelo

Un método isoconversional fue empleado para estimar la energía de activación del proceso. En este modelo se considera una sola reacción. El método es una técnica isoconversional integral en el que la energía de activación está relacionada con la velocidad de calentamiento y la temperatura a una conversión constante a través de (4).

(4)

Según (4), la energía de activación se puede calcular a partir de la pendiente del ln β frente a T1.Por lo tanto, se midieron las temperaturas correspondientes a los valores fijos de conversión en tres velocidades de calentamiento diferentes. La energía de activación del proceso de gasificación se calculó a partir las pendientes (E/R) de las gráficas relacionadas en el intervalo de conversión de 0,1 hasta 0,6.

3) Modelo de distribución de energías de activación (DAEM)

A continuación, se presenta una breve descripción de este modelo, más detalles se pueden encontrar en [16], [18]. En este modelo la señal de las intensidades de espectrometría de masas o la primera derivada de una curva termogravimétrico (DTG) se calcula con (5).

(5)

xj es la fracción que no ha reaccionado del material representado por la ecuación cinética de orden j y cj representa la contribución de la reacción parcial j-ésimo de la cantidad medida. M es el número de pseudo-componentes o conjunto de reacciones que pueden describirse través de una misma función de distribución. El modelo asume un modelo cinético de primer orden y una dependencia de Arrhenius para la constante cinética. Las energías de activación para las reacciones involucradas se consideran distribuidas en una función de distribución gaussiana con parámetros E0,j y σj. Si la solución de una ecuación cinética de primer orden con un valor E dada se denota como Xj (t, E), las funciones xj de (5) se pueden calcular como:

(6)

Para evaluar la integral de (6) se hace un cambio en el límite inferior de integración de 0 a - sin afectar los resultados y luego se emplea la regla de cuadratura de Gauss-Hermite para aproximar esta nueva integral, como se muestra en las Ec. 7 y Ec. 8 [19].

(7)

(8)

Donde wi y μij son los factores de masas y abscisas de la fórmula de cuadratura de Gauss-Hermite. En esta ecuación se utilizan los resultados de la optimización de cambio de escala propuesto por Donskoi y McElwain [20]. Se sugirió un valor de N = 80 en [19], el cual se utilizó en este trabajo. El ajuste se realizó con un método de mínimos cuadrados no lineales, minimizando la suma en (9) [18], [19]:

(9)

Para cada curva experimental, el ajuste obtenido se caracteriza por la siguiente cantidad (Ecuación 10):

(10)

Se escribió en el código para resolver las ecuaciones anteriores utilizando las funciones de optimización y solucionadores ODE incorporados.

IV. Resultados

A. Caracterización de materias primas

Los análisis próximos y últimos de las cáscaras de copoazú se muestran en la tabla 1. Se observa que los resultados obtenidos son típicos de este tipo de biomasa, sin embargo, el contenido de cenizas es menor que para la mayoría de las fuentes de biomasa [21].

Tabla 1. Análisis próximo y último de la cáscara de Copoazú.

Análisis próximo % masa, base seca

Materia volátil

42,28

Carbono fijo

55,53

Cenizas

2,19

Análisis ultimo % masa, base seca libre de cenizas

Carbono

54,81

Hidrógeno

6,02

Nitrógeno

0,28

Azufre

0,07

Oxígeno

39,44

Poder calorífico bruto/MJ kg-1

20,51

.

Fuente: Autores.

El análisis (FTIR) se realizó con el objetivo de determinar los grupos funcionales presente en la estructura química del biocarbón producido en la pirolisis de la cáscara de Copoazú a 700 K. El espectro de FTIR se presenta en la Fig. 1, donde se muestran enumerados los grupos funcionales presentes en el carbonizado, entre los que se encuentran grupos hidroxilo (1), metileno (2), enlaces insaturados (3 y 6), CO2 del aire (4) y presencia de grupos aromáticos (5). La presencia de estos grupos es característica de los componentes mayoritarios de la biomasa lignocelulósica: celulosa, hemicelulosa y lignina.

Fig. 1. Espectros FTIR del biocarbón de la cáscara de Copoazú.
Fuente: Autores.

B) Termogravimetría acoplada a espectrometría de masas

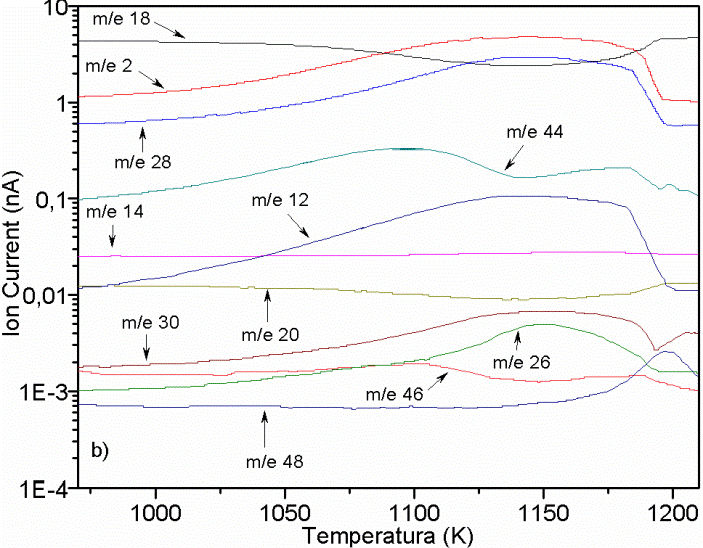
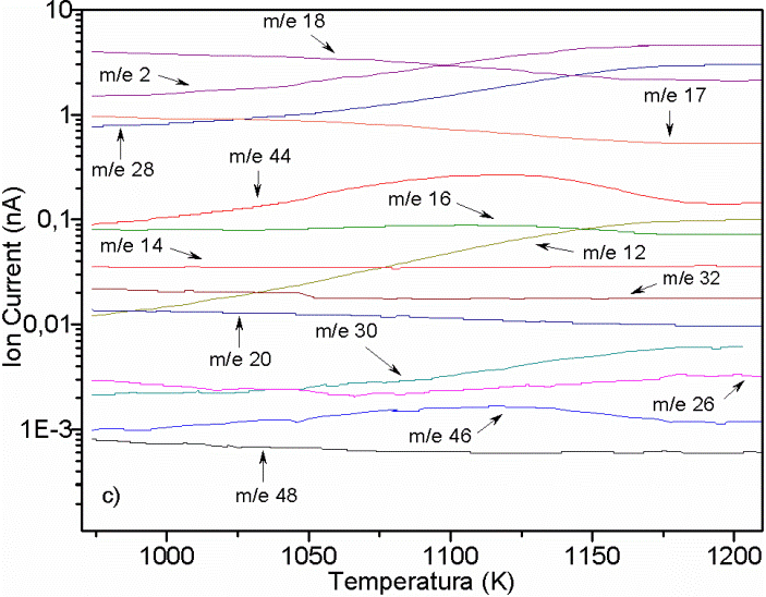
En la Fig. 2, se analizan las curvas TG obtenidas a velocidades de calentamiento (4, 10 y 30 K/min) entre 650°C y 900°C, teniendo como referentes un porcentaje de conversión promedio de 12.21 %y una temperatura de máxima velocidad de reacción promedio de 877°C. En la Fig. 3, se ilustran los espectros de masas a velocidades de calentamiento (4, 10 y 30 K/min) entre 650°C y 900°C, en los cuales se identificaron 22 señales masa carga (m/z) de 2 a 86 en los productos de la descomposición térmica. El comportamiento de las curvas DTG es típico para este tipo de procesos, aumentando la conversión final para velocidades de calentamiento lentas, siendo la conversión final prácticamente del 100 % a 4 K/min. La curva de DTG muestra un evento que ocurre en casos donde la temperatura es superior a 950 K, en este caso se presenta la gasificación térmica de la biomasa; siendo el comportamiento de este evento térmico el más complicado de los tres eventos que ocurren en el proceso y por lo tanto constituye el objetivo del presente estudio, dado que cada una de las velocidades genera un comportamiento diferente. En tal sentido, en la velocidad 4 K/min se presentan dos picos continuos y casi a la misma altura; mientras que en la velocidad de 10 K/min se observa un pico pronunciado y un pico con mayor intensidad fuera del intervalo de temperaturas medidas, y finalmente, en la velocidad de 30 K/min se observa un único pico hasta la temperatura de 1200 K.

La tabla 2, presenta las relación entre las señales m/z que se ilustran en la Fig. 3 y las posibles fracciones de moléculas a las que corresponde cada señal, también se observan las intensidades de espectrometría de masas, que presentan un cambio significativo en la señal durante el evento térmico y las relaciones de la abundancia relativa de las especies para cada velocidad de calentamiento.

Fig. 2. Termogramas DTG del carbonizado de la cáscara de copoazú a diferentes velocidades de calentamiento.
Fuente: Autores.
Tabla 2. Posibles moléculas precursoras para las relaciones m/z identificadas en los gases evolucionados de las muestras de carbonizado de Copoazú a diferentes velocidades de calentamiento.

m/z

Posible molécula/

fragmento precursor

Abundancia relativa en

el evento de interés

4 K/min

10 K/min

30 K/min

2

H2

++

++

++

12

C

++

+

-

14

CH2

++

-

-

16

O2

-

+

++

26

C2H2

++

+

-

28

CO, C2H4

++

+

-

30

CH2O, C2H6

++

+

-

44

CO2, C2H4O, C3H8

+

+

++

46

CH2O2, C2H6O

+

+

++

48

No Identificado

+

-

-

Fuente: Autores.

La producción de hidrógeno y monóxido de carbono es digna de mención, dado que estos se producen de manera relativamente abundante en este evento como se muestra en la Fig. 3 y la tabla 2. Estos compuestos son de interés ya que juntas constituyen el gas de síntesis y pueden ser precursores de otras sustancias de especial interés para la industria química o pueden ser productos por sí mismos. Cabe resaltar que, al aumentar la velocidad de calentamiento del proceso de gasificación, el contenido de hidrógeno y monóxido de carbono disminuyen relativamente en los gases desprendidos, lo cual sugiere que para velocidades de calentamiento altas se debe incrementar la temperatura final del proceso para alcanzar la conversión total de la biomasa. Adicionalmente, se puede identificar una disminución en la concentración de agua, que sugiere una reacción entre el carbón o los gases desprendidos con el agua en el gas de purga. La presencia o ausencia de algunas relaciones m/z a diferentes velocidades de calentamiento sugiere un cambio del mecanismo de reacción con la velocidad de calentamiento.

Fig. 3. Curvas MS de los gases de evolución del carbonizado de Copoazú calentado a diferentes velocidades de calentamiento: (a) 4 K/min, (b) 10 K/min y (c) 30 K/min.
Fuente: Autores.

C) Evaluación cinética

La Fig. 4(a) muestra los resultados del ajuste del modelo de reacción n-ésima a los datos experimentales para la gasificación de la cáscara de Copoazú. En este modelo se utilizaron los datos correspondientes a las conversiones mayores de 0,73 que corresponden al evento final de la pirólisis. Como se muestra en la tabla 3, el coeficiente de correlación de las tres velocidades de calentamiento es en todos los casos inferior a 0,90 y los órdenes de reacción varían en un rango muy amplio de valores entre 3 y 23.

Fig. 4. (a). Modelo de reacción n y (b) cinética libre de modelo.
Fuente: Autores.

La inspección visual de la Fig. 4(a), muestra claramente la ausencia de un comportamiento lineal, y teniendo en cuenta que el valor de n es extremadamente alto desde un punto de vista cinético, adicionalmente posee un pobre coeficiente de correlación. En consecuencia, se concluye que el modelo es una pobre representación de los datos y los resultados obtenidos no se pueden utilizar para modelar el proceso. En este caso, la falta de ajuste puede atribuirse a que el proceso se lleva a cabo en una serie de reacciones paralelas que no puede ser modelado por un modelo sencillo como el de reacción n-ésima.

La Fig. 4(b), ilustra los datos correspondientes que dependen de valores fijos de conversión, la energía de activación calculada para cada valor de conversión se promedió y se obtuvo un valor de 4,54 x 108 J mol-1. Este valor es bastante mayor al reportado para otras biomasas y carbones de diferente tipo [22]-[25]. El modelo con temperaturas mayores a 950 K genera excelentes resultados para conversiones entre (0,74 y 0,78), tal como se muestra en la tabla 3; sin embargo, para conversiones mayores a 0,78 no es posible su aplicación, debido a que las concentraciones correspondientes no fueron alcanzadas con la rampa de calentamiento de 30 K/min.

Tabla 3. Resultados del ajuste de los modelos de orden de reacción n y el modelo libre de cinética.

Modelo de orden n

Velocidad de calentamiento

R2

n

4 K/min

0,74

3,25

10 K/min

0,88

9,42

30 K/min

0,90

23,05

Cinética libre de modelo

Conversión

R2

74%

0,6769

75%

0,9972

76%

0,9996

77%

1

78%

0,9972

Fuente: Autores.

Para el ajuste de los datos experimentales al modelo DAEM se aumentaron el número de pseudocomponentes que un número de pseudocomponentes mayor no mejorara el coeficiente de correlación del ajuste. Se encontró que con el uso de tres pseudocomponentes se podían modelar satisfactoriamente los datos experimentales de la gasificación del carbonizado de Copoazú para todas las velocidades de calentamiento estudiadas.

La Fig. 5, permite ilustrar el ajuste obtenido con 3 conjuntos de reacciones DAEM, y complementariamente en la tabla 4, se presentan los parámetros obtenidos con este ajuste. En todos los casos se observa un buen nivel de ajuste del modelo a los datos experimentales. El modelo predice energías de activación elevadas, pero congruentes con los resultados obtenidos con la cinética libre de modelo. Se observan cambios en los valores de las constantes pre-exponenciales con la velocidad de calentamiento, pero no de la energía de activación, lo cual puede deberse a la sensibilidad del modelo al valor de la energía de activación y a la compensación entre los valores de la constante pre-exponencial y la energía de activación para este tipo de ajuste [26].

Fig. 5. Ajuste del modelo DAEM a los datos DTG del carbonizado de Copoazú a diferentes velocidades de calentamiento.
Fuente: Autores.
Tabla 4. Parámetros del modelo DAEM.

Velocidad de calentamiento (K/min)

4

10

30

lnA1 (min-1)

47,26

45,42

51,61

E01 (kJ mol-1)

534,95

534,95

534,95

σ1 (kJ mol-1)

0,06

19,84

2,34

c1

0,29

0,16

0,01

lnA2 (min-1)

49,97

51,09

53,57

E02 (kJ mol-1)

534,95

534,95

534,95

s2 (kJ mol-1)

14,26

12,70

7,33

c2

0,44

0,05

0,01

lnA3 (min-1)

42,40

42,96

44,96

E03 (kJ mol-1)

434,95

430

434,95

σ3 (kJ mol-1)

24,22

21,38

11,84

c3

0,28

0,03

0,01

Fuente: Autores.

D) Ajuste de las intensidades de espectrometría de masas

Como puede verse en la Fig. 6, las curvas de intensidad de señales m/z de espectrometría de masas implican incertidumbres experimentales mayores que las curvas DTG, por lo que los valores de ajuste más bajos se obtuvieron de las curvas de MS. En este estudio sólo se trató con las principales características de estas curvas y se desestimó sus detalles más finos. La aplicación del modelo DAEM a intensidades de m/z es diferente a la empleada para las curvas DTG: en el caso de las curvas DTG los parámetros del modelo Aj, E0j y σj para cada conjunto de reacciones DAEM y cj en (5) fueron ajustados a los datos experimentales como se describe en la metodología; pero con los datos de intensidades m/z se ajustaron sólo las constantes de proporcionalidad cj de cada conjunto de reacciones DAEM y los parámetros Aj, E0j y σj se mantienen constantes e igual a los valores obtenidos para la evaluación de las curvas de DTG.

Tabla 5. Parámetros de ajuste para las intensidades m/z seleccionadas usando el modelo DAEM con tres conjuntos de reacciones.

Velocidad de calentamiento K/min

4

10

30

Relación m/z

14

12

30

c1

1.3 x 10-20

2.5 x 10-30

4.2 x 10-22

c2

1.4 x 10-1

9.6 x 10-9

4.2 x 10-2

c3

1.3 x 10-2

3.4 x 10-9

4.2 x 10-2

Fit %

3.3 x 10-4

3.4 x 10-3

0.0

Fuente: Autores.

Fig. 6. Ajuste del modelo DAEM para relaciones m/z seleccionados.
Fuente: Autores.

Cabe anotar que para el desarrollo del presente trabajo, se utilizaron sólo tres conjuntos de series paralelas de reacciones DAEM; por lo tanto, solamente son necesarios tres parámetros ajustables para cada conjunto de datos experimentales. En la tabla 5, se presentan los valores obtenidos para los parámetros cj y sus respectivos ajustes; en ellos se observa que el factor de ajuste es relativamente pequeño comparado con el factor de ajuste de las curvas de DTG, debido a que la intensidad de la señal m/z es de varios órdenes de magnitud inferior a la señal DTG.

Estos hallazgos, permiten describir los fenómenos de devolatilización utilizando los datos de mayor calidad (datos DTG) para obtener los parámetros de reacción y los datos de calidad inferior para probar el modelo cinético. De esta forma, la aplicación del modelo cinético DAEM se realizó bajo la hipótesis de la relación que debe existir entre la tasa de devolatilización de la biomasa y la tasa de producción de los productos detectados por MS. Suponiendo que los productos de devolatilización de la biomasa no reaccionan en la fase de gas, entonces la tasa de consumo de reactivo (biomasa) y la formación de producto son proporcionales y la energía de activación y el factor pre-exponencial de las expresiones de la descripción cinética de cada velocidad de calentamiento son los mismos. El modelo DAEM aplicado de esta manera, permite adicionalmente formular sugerencias sobre el conjunto de reacciones de descomposición de biomasa de las que procede un producto específico. Para este estudio, las intensidades de las relaciones m/z se agruparon en conjuntos que mostraron un comportamiento similar.

1) Intensidades m/z que aparentan proceder de un conjunto de reacciones DAEM

En esta categoría se encuentran las intensidades m/z 14, 26 y 30, para la rampa de calentamiento de 4 K/min. Se puede constatar en la tabla 2 los posibles fragmentos o moléculas que corresponden a estas relaciones m/z, concluyendo que pertenecen a los grupos funcionales de alcanos, alquenos, alquinos y aldehídos; todos estos provenientes de la descomposición térmica del carbonizado de la cáscara de Copoazú.

2) Intensidades m/z que aparentan proceder de tres conjuntos de reacciones DAEM

Las intensidades m/z 2, 12 y 28, detectadas a la velocidad de calentamiento 4 K/min; así como, las intensidades m/z 2, 12 detectadas a la velocidad de calentamiento 10 K/min y las intensidades m/z 2, 16, 44 y 46 identificadas a la velocidad de calentamiento 30 K/min, se encuentran adecuadamente correlacionadas con los tres conjuntos de reacciones paralelas DAEM.

Tal como se puede verificar en la tabla 2, los posibles fragmentos o moléculas referentes a estas intensidades de carga derivados de la descomposición térmica del carbonizado de la cáscara de Copoazú, corresponden principalmente a una mezcla de moléculas tipo hidrocarburos saturados e insaturados. Este tipo de funciones se observan también con el espectro FTIR del carbonizado, por lo que las moléculas liberadas durante la gasificación corresponden principalmente a fragmentos pequeños que presentan funciones orgánicas similares a las moléculas de origen. Como es de esperarse, en este tipo de procesos se presenta también la liberación de H2 y CO debido a las reacciones de transposición lenta del carbonizado [27].

3) Intensidades m/z que no ajustan

Las intensidades m/z que no ajustaron con el modelo de ajuste propuesto fueron: m/z 18, 20, 34, 44, 46 y 48 a la velocidad de calentamiento 4 K/min; m/z 14, 16, 17, 18, 20, 26, 28, 30, 44, 46 y 48 a la velocidad de calentamiento 10 K/min; y m/z 12, 17, 18 y 28 a la velocidad de calentamiento 30 K/min. Las curvas de estas intensidades m/z se intentaron ajustar con diferentes números de conjuntos de reacción DAEM, sin embargo los resultados del ajuste no fueron satisfactorios. La falta de ajuste de estas intensidades m/z, puede deberse a que las especies asociadas a estas relaciones m/z no corresponden a productos directos de la devolatilización del Copoazú o reaccionan con los componentes trazas del gas de purga.

Cabe resaltar que, el proceso de gasificación mostró los mejores resultados a altas velocidades de calentamiento. El proceso de formación de CO, H2O y H2 (m/z = 2, 18, 28, respectivamente) se vio favorecido a altas temperaturas. A velocidades de calentamiento bajas (4 K/min), la formación de monóxido de carbono e hidrógeno muestra reducciones drásticas por encima de 950°C, pero se ve favorecida la formación de agua. Estos resultados muestran que el proceso de gasificación del carbonizado de Copoazú se ve favorecido a altas temperaturas logradas a velocidades de calentamiento altas.

V. Conclusiones

El proceso de devolatilización térmica del biocarbón de la cáscara de Copoazú fue evaluado por análisis termogravimétrico acoplado a espectroscopía de masa y los resultados fueron analizados por varios modelos: a) el modelo de reacción n-ésima no ajustó de forma realística los datos experimentales, b) la cinética libre de modelo no fue adecuada a conversiones altas, y c) el modelo DAEM ajustó adecuadamente los datos experimentales DTG con el uso de tres pseudocomponentes.

La cinética de producción de la mayoría de las moléculas que se detectaron con una abundancia relativa alta se relacionó de forma esperada con las reacciones de descomposición térmica del carbonizado de la cáscara de Copoazú, de acuerdo con el modelo DAEM.

Adicionalmente, se obtuvieron los parámetros cinéticos de la descomposición térmica del carbonizado de la cáscara de Copoazú a temperaturas mayores a 950 K, los cuales podrían utilizarse para el diseño de gasificadores que utilicen este tipo de materia prima.

Finalmente, se mostró que el modelo DAEM puede ser aplicado a procesos de gasificación. En consecuencia, este estudio constituye un referente para futuros trabajos se realizarán con otros tipos de carbonizados.

Referencias

[1] A. V. Bridgwater, “The technical and economic feasibility of biomass gasification for power generation”, Fuel, vol. 74, no. 5, pp. 631–653, May. 1995. https://doi.org/10.1016/0016-2361(95)00001-L

[2] Plan de energías renovables en España, 2011-2020, IDEA, [En línea] 2005. https://www.idae.es/tecnologias/energias-renovables/plan-de-energias-renovables-2011-2020

[3] Á. A. Orozco y C. E. Rodríguez, “El Copazú y los negocios inclusivos, una estrategia socioeconómica en Florencia-Caqueta”, Cooperativismo & Desarrollo, vol. 25, no. 112, pp. 1–34, Jul. 2017. Disponible en https://dialnet.unirioja.es/descarga/articulo/6154342.pdf

[4] A. A. González, J. Moncada, A. Idarraga, M. Rosenberg and C. A. Cardona, “Potential of the amazonian exotic fruit for biorefineries: The Theobroma bicolor (Makambo) case”, Industrial Crops and Products, vol. 86, no. 1, pp. 58–67, Aug. 2016. https://doi.org/10.1016/j.indcrop.2016.02.015

[5] J. Pérez, “Modelado unidimensional del proceso de gasificación de biomasa lignocelulósica en lechos empacados en equicorriente. Validación experimental con gasificadores invertidos”, tesis doctoral, Facultad de Ingeniería, Universidad de Valladolid, España, 2007.

[6] W. Groenewoud and W. De Jong, “The thermogravimetric analyser-coupled-Fourier transform infrared/mass spectrometry technique”, Thermochimica Acta, vol. 286, no. 2, pp. 341–354, Sept. 1996. https://doi.org/10.1016/0040-6031(96)02940-1

[7] T. Sonobe and N. Worasuwannarak, “Kinetic analyses of biomass pyrolysis using the distributed activation energy model”, Fuel, vol. 87, no. 3, pp. 414–421, Mar. 2008. https://doi.org/10.1016/j.fuel.2007.05.004

[8] S. Wang, X. Guo, K. Wang and Z. Luo, “Influence of the interaction of components on the pyrolysis behavior of biomass”, Journal of Analytical and Applied Pyrolysis, vol. 91, no. 1, pp. 183–189, May. 2011. https://doi.org/10.1016/j.jaap.2011.02.006

[9] N. Worasuwannarak, T. Sonobe and W. Tanthapanichakoon, “Pyrolysis behaviors of rice straw, rice husk, and corncob by TG-MS technique”, Journal of Analytical and Applied Pyrolysis, vol. 78, no. 2, pp. 265–271, Mar. 2007. https://doi.org/10.1016/j.jaap.2006.08.002

[10] E. Granada, P. Eguía, J. Comesaña, D. Patiño, J. Porteiro and J. Miguez, “Devolatilization behaviour and pyrolysis kinetic modelling of Spanish biomass fuels”, Journal of Thermal Analysis and Calorimetry, vol. 113, no. 2, pp. 569–578, Aug. 2013. https://doi.org/10.1007/s10973-012-2747-y

[11] A. Melgar, D. Borge y J. F. Pérez, “Estudio cinético del proceso de devolatilización de biomasa lignocelulósica mediante análisis termogravimétrico para tamaños de particula de 2 a 19 mm” Dyna, vol. 75, no. 155, pp. 123–131, Jul. 2008. Disponible en https://revistas.unal.edu.co/index.php/dyna/article/view/1746/2405

[12] S. Nagy, P. Shaw and W. Wardowski, Fruits of tropical and subtropical origin: composition, properties and uses, Florida Science Source Inc., USA: Lake Alfred, 1990.

[13] I. Cerón, J. Higuita and C. Cardona, “Analysis of a biorefinery based on Theobroma grandiflorum (copoazu) fruit”, Biomass Conversion and Biorefinery, vol. 5, no. 2, pp. 183–194, Jun. 2015. https://doi.org/10.1007/s13399-014-0144-4

[14] M. Lapuerta, J. J. Hernández and J. n. Rodrıíguez, “Kinetics of devolatilisation of forestry wastes from thermogravimetric analysis”, Biomass and Bioenergy, vol. 27, no. 4, pp. 385–391, Oct. 2004. https://doi.org/10.1016/j.biombioe.2003.11.010

[15] S. Hu, A. Jess and M. Xu, “Kinetic study of Chinese biomass slow pyrolysis: comparison of different kinetic models”, Fuel, vol. 86, no. 17–18, pp. 2778-2788, Dec. 2007. https://doi.org/10.1016/j.fuel.2007.02.031

[16] G. Várhegyi, Z. Czégény, E. Jakab, K. McAdam and C. Liu, “Tobacco pyrolysis. Kinetic evaluation of thermogravimetric–mass spectrometric experiments”, Journal of Analytical and Applied Pyrolysis, vol. 86, no. 2, pp. 310–322, Nov. 2009. https://doi.org/10.1016/j.jaap.2009.08.008

[17] K. Açıkalın, “Pyrolytic characteristics and kinetics of pistachio shell by thermogravimetric analysis”, Journal of Thermal Anal and Calorimetry, vol. 109, no. 1, pp. 227–235, Jul. 2012. https://doi.org/10.1007/s10973-011-1714-3

[18] G. Várhegyi, “Aims and methods in non-isothermal reaction kinetics”, Journal of Analytical and Applied Pyrolysis, vol. 79, no. 1, pp. 278–288, May 2007. https://doi.org/10.1016/j.jaap.2007.01.007

[19] G. Várhegyi, P. Szabó and M. J. Antal, “Kinetics of charcoal devolatilization” Energy & fuels, vol. 16, no. 3, pp. 724-731, Mar. 2002. https://doi.org/10.1021/ef010227v

[20] E. Donskoi and D. L. S. McElwain, “Optimization of coal pyrolysis modeling” Combustion and flame, vol. 122, no. 3, pp. 359–367, Aug. 2000. https://doi.org/10.1016/S0010-2180(00)00115-2

[21] Y. F. Huang, W. H. Kuan, P. T. Chiueh and S. L. Lo, “Pyrolysis of biomass by thermal analysis–mass spectrometry (TA–MS)”, Bioresource Technology, vol. 102, no. 3, pp. 3527–3534, Feb. 2011. https://doi.org/10.1016/j.biortech.2010.11.049

[22] A. Albis, E. Ortiz, A. Suárez and I. Piñeres, “TG/MS study of the thermal devolatization of Copoazú peels (Theobroma grandiflorum)”, Therm Anal Calorim, pp. 275–283, Jan. 2014. https://doi.org/10.1007/s10973-013-3227-8

[23] K. G. Mansaray and A. E. Ghaly, “Determination of kinetic parameters of rice husks in oxygen using thermogravimetric analysis”, Biomass and Bioenergy, vol. 17, no. 1, pp. 19–31, Jul. 1999. https://doi.org/10.1016/S0961-9534(99)00022-7

[24] R. Hurt, J.-K. Sun and M. Lunden, “A kinetic model of carbon burnout in pulverized coal combustion”, Combustion and flame, vol. 113, no. 1, pp. 181–197, Apr. 1998. https://doi.org/10.1016/S0010-2180(97)00240-X

[25] M. V. Gil, D. Casal, C. Pevida, J. -J. Pis and F. Rubiera, “Thermal behaviour and kinetics of coal/biomass blends during co-combustion”, Bioresource Technology, vol. 101, no. 14, pp. 5601–5608, Jul. 2010. https://doi.org/10.1016/j.biortech.2010.02.008

[26] P. Garn, “An examination of the kinetic compensation effect”, Journal of Thermal Analysis and Calorimetry, vol. 7, no. 2, pp. 475-478, Apr. 1975. https://doi.org/10.1007/BF01911956

[27] M. -L. Chan, J. -M. Jones, M. Pourkashanian and A. Williams, “The oxidative reactivity of coal chars in relation to their structure”, Fuel, vol. 78, no. 13, pp. 1539–1552, Oct. 1999. https://doi.org/10.1016/S0016-2361(99)00074-5

Aderlis Liseth Santander Oliveros, Ingeniera Química de la Universidad del Atlántico. https://orcid.org/0000-0002-5851-9193

Ever Ortiz Muñoz, Licenciado en Física y Matemáticas (Universidad Pedagógica y Tecnológica de Colombia). Magister y Doctor en Ciencias-Física (Universidad del Valle). Área de estudio: caracterización térmica, eléctrica y estructural de materiales, con énfasis en conductores iónicos y/o superiónicos. Docente Asociado Tiempo completo de la Facultad de Ciencias Básicas de la Universidad del Atlántico. https://orcid.org/0000-0002-3320-1111

Ismael Enrique Piñeres Ariza, Licenciado en Matemáticas y Física de la Universidad del Atlántico. Doctor en Ciencias Físicas de la Universidad del Atlántico. Sus investigaciones, se centran en el estudio de transiciones de fases estructurales, cambios de estados, conductividad iónica en estado sólido, superconductividad. https://orcid.org/0000-0003-4871-6211

Cindy Skarlett Ariza Barraza, graduada en ingeniería química en el 2013 de la Universidad del Atlántico (Barranquilla, Colombia). Sus investigaciones abarcan áreas de procesos termoquímicos, petroquímica, reología, química analítica instrumental e ingeniería ambiental, se desempeñó como docente universitaria en la Universidad del Atlántico y secundaría en el Colegio Colón, actualmente se encuentra en el tercer año de Doctorado en Ingeniería Química en la Universidad Nacional del Litoral (Santa Fe , Argentina) y es investigadora doctoral en el Instituto de Investigación en Catálisis y Petroquímica INCAPE (Santa Fe, Argentina). https://orcid.org/0000-0002-9326-2223

Alberto Ricardo Albis Arrieta, se graduó en Ingeniería Química en la Universidad Nacional de Colombia, en 2004 y de la misma universidad, como Doctor en Ciencias – Química en 2010. Actualmente se desempeña como profesor Asociado en la Facultad de Ingeniería de la Universidad del Atlántico donde también lidera el grupo Bioprocesos. Sus interés de investigación incluyen remoción de contaminantes y pirólisis. https://orcid.org/0000-0003-1758-1385