Espitia Cubillos, Delgado-Tobón y Aperador Chaparro / INGE CUC, vol. 15 no. 2 pp. -109. Julio - Diciembre, 2019

Comparative study of the thermal properties of Sesame oil and two mineral oils of different viscosity

Estudio comparativo de las propiedades térmicas del aceite de ajonjolí y dos aceites minerales de diferente viscosidad

DOI: http://dx.doi.org/10.17981/ingecuc.15.2.2019.10

Artículo de Investigación Científica. Fecha de Recepción:14/03/2019. Fecha de Aceptación:24/09/2019.

Anny Astrid Espitia Cubillos E:\Users\aromero17\Downloads\orcid_16x16.png

Universidad Militar Nueva Granada. Bogotá (Colombia)

anny.espitia@unimilitar.edu.co

Arnoldo Emilio Delgado-Tobón E:\Users\aromero17\Downloads\orcid_16x16.png

Universidad Militar Nueva Granada. Bogotá (Colombia)

arnoldo.delgado@unimilitar.edu.co

William Arnulfo Aperador Chaparro E:\Users\aromero17\Downloads\orcid_16x16.png

Universidad Militar Nueva Granada. Bogotá (Colombia)

william.aperador@unimilitar.edu.co

.

To cite this article:

A. Espitia Cubillos, A. Delgado-Tobón and W. Aperador Chaparro. “Comparative study of the thermal properties of Sesame oil and two mineral oils of different viscosity”, INGE CUC, vol. 15, no. 2, pp. 99-108, 2019. DOI: http://doi.org/10.17981/ingecuc.15.2.2019.10

.

Abstract

Introduction In recent years the research and development of biolubricants from vegetable oils has increased to minimize the impact on the environment of petroleum derivatives.

Objective In this work, there was realized a comparative study of the thermal properties of the oil of Sesame with those of two mineral oils, of medium and high viscosity (360 and 255), which were free of additives.

Methodology The characterization of the three oils was performed using the technique of infrared spectroscopy (FT-IR) and physical properties such as kinematic viscosity, density, thermal and oxidative properties were determined by the analysis of Differential Calorimetry Scanning (DSC).

Results The sesame oil had a pour point of -14.67°C, lower temperature than for mineral oils of 255 and 360, (-4.29°C and -6.89°C, respectively). The high content of unsaturated fatty acids (84.86%) could be responsible for this behavior. The oils were stable to temperatures near to 250°C and with nitrogen atmosphere. Mineral oils were more stable to oxidation because of their high content of fatty acids with saturated hydrocarbon chains which it had no oxidizable sites.

Conclusions Nevertheless, the low stability of sesame oil is due to the high content of unsaturated fatty acids, the use of antioxidant, additive or a chemical modification of the unsaturated chains, this property might be improved to use the oil as a lubricant.

Keywords Sesame oil; mineral oil; pour point; melting temperature; thermal stability; oxidative stability; DSC

Resumen

Introducción En los últimos años, la investigación y el desarrollo de biolubricantes a partir de aceites vegetales ha aumentado para minimizar el impacto en el medio ambiente de los derivados del petróleo.

Objetivo En este trabajo, se realizó un estudio comparativo de las propiedades térmicas del aceite de sésamo con las de dos aceites minerales de viscosidad media y alta (360 y 255) libres de aditivos.

Métodología La caracterización de los tres aceites se realizó mediante la técnica de espectroscopia infrarroja (FT-IR) y propiedades físicas como viscosidad cinemática, densidad, propiedades térmicas y oxidativas se determinaron mediante el análisis del escaneo de calorimetría diferencial (ECD).

Resultados El aceite de sésamo tenía un punto de fluidez de -14.67°C, temperatura más baja que para los aceites minerales 255 y 360, (-4.29°C y -6.89°C, respectivamente). El alto contenido de ácidos grasos insaturados (84.86%) podría ser responsable de este comportamiento. Los aceites fueron estables en temperaturas cercanas a 250°C y con atmósfera de nitrógeno. Los aceites minerales son más estables a la oxidación debido a su alto contenido de ácidos grasos con cadenas de hidrocarburos saturadas sin sitios oxidables.

Conclusiones Sin embargo, la baja estabilidad del aceite de sésamo se debe al alto contenido de ácidos grasos insaturados, el uso de antioxidantes, aditivos o una modificación química de las cadenas insaturadas, esta propiedad podría ser mejorada para usar el aceite como lubricante.

Palabras clave Aceite de sésamo; aceite mineral; punto de fluidez; temperatura de fusión; estabilidad térmica; estabilidad oxidativa; ECD

I. Introduction

In recent years, the increase in costs in oil extraction, the scarcity of reserves and environmental issues have caused the development in research on alternatives that allow the use of vegetable oils in the manufacture of lubricants that comply with the same characteristics. Most available lubricants are synthetic and / or derived from petrochemicals they are toxic, non-biodegradable and harmful to the environment, also, during their manufacture and use, they cause long term negative effects which are cumulative and dangerous for living beings and the environment. These factors have in turn encouraged the development of “green lubricants”. The vegetable oils can be considered as base for lubricants production. They are potential substitutes for the synthetic mineral lubricants derived from petroleum [1].

Furthermore, vegetable oils possess most of the properties required for lubrication high flash point, higher lubricity, high viscosity index, low evaporative losses, good metal adherence and they are also excellent solvents for additives and polar pollutants. These properties are due to the presence of a polar group with a long hydrocarbon that gives an amphiphilic surfactant of vegetable oil by nature to be used as a boundary lubricant [1]. Additionally, biobased lubricants have high lubricity and lower coefficient of friction, compared to petrobased lubricants, and high flash points chains make them effective in high temperature environment to impede evaporation or dissipation [2].

Although this type of lubricants has many advantages, presents inconveniences associated with its natures, like high composition of organic matter that causes easy oxidation which in turn produces an undesirable modifying its lubricant properties. In addition, they have high points of cold and low thermal stability when heat is inflicted on the oil, heat can only be applied in a moderate temperature range. The cost per volume is two or three times more than that of a petrobased lubricant. Finally, crops of these raw materials are used to manufacture quality lubricants instead of serving as food [2].

However, the disadvantages represents several major challenges and difficulties regarding its performance and production also there is a lot of taboos in the industry due to regarding feedstock reliability. Besides, have two negative physical properties: poor low temperature performance, and low thermal oxidative stability. But, through appropriate chemical modification, these aspects can be improved make minerals oil a feasible alternative for supersede the current lubricants [3].

Sesame (Sesamum indicum) is an oilseed crop of great economic importance. It is cultivated widely in many parts of the world, Asia has 70%, Africa has 26% and Latin America grows 4% of total world production [4] [5]. According to characterizations presented by [4] the seeds contain 6% moisture, 52% crude oil, 22% crude protein, 3.5% crude fiber and 4.5% ash. In the sesame seeds, oil is stored in oil bodies, give a yield of 57-63%; compared with other vegetable oils, sesame oil has various advantages as a green lubricant: it has greater fluidity at low temperatures due to the high concentration of olefinic double bonds [6].

The oleic–linoleic acid group is predominant of this type of oil, the unsaturated fatty acids, oleic acid and linoleic acid constitute more than 80% of the total fatty acids and has less than 20% saturated fatty acid mainly consisting of palmitic and stearic acids (Table 1) [4] [5] [7] [8]. Furthermore, sesame oil contains a significant proportion of natural antioxidants known as lignans (such as sesamin, sesamolin, and sesamol), which also responsible for the stability of sesame seed oil to oxidation [4].

Table 1. The composition of fatty acids in Sesame oil.

Name of the fatty acid

Fraction (%)

Lauric acid

C 12:0

0.4

Myristic acid

C 14:0

0.1

Palmitic acid

C 16:0

9.29

Palmitoleic acid

C 16:1

0.17

Stearic acid

C 18:0

5.95

Oleic acid

C 18:1

38.8

Linoleic acid

C 18:2

42.7

Linolenic acid

C 18:3

0.42

Arachidic acid

C 20:0

1.07

Behenic acid

C 22:0

0.26

Source: Adapted of [4], [5], [7], [8].

A studies exists were a in which to optimize the transesterification reaction to obtain the sesame biolubricant, evaluating the effects of temperature, molar ratio and reaction time [2]. Finding, that to obtain a yield of 80% the reaction conditions are: temperature of 150°C improving the dispersion of the particles, molar ratio higher 6: 1 and a time of 197.26 min. Regarding the evaluation of the viscosity properties, they showed values at 40 and 100°C, reporting 35, 55 and 7.66 cSt, respectively; and for the pour point of -21°C for the oil without treatment.

Is studied 8 vegetable oils to characterize their friction and wear analysis properties in environments with high temperatures over copper / 2024 aluminum [9]. Sesame, soybean, corn and safflower oils have the highest coefficients of friction, compared to avocado, olive, canola and peanut oils. Respect to the effect of the wear and obstruction of the surfaces of the oil of sesame, peanut, olive, safflower and canola there is a volume of moderate wear.

In addition, there are reports of oils with additives that improve certain characteristics in their performance, were presents a modification with canola oil and corn by adding zinc dialkititiiophosphate (ZDDP) as anti-wear, finding a kinetic viscosity of 36.3 cSt with the addition of 2% of ZDDP in weight and decreasing the coefficient of friction in both types of oil [10].

Also studied the behavior of polyethylene of the ultra high molecular weight [11] applied in hip joints prostheses. The wear of the material in stainless steel generates the release of particles in nearby tissues, leading to an aseptic loosening; to diminish the effect, they evaluated the coefficient of friction and the volume of wear in the dry conditions (saline solution) and lubricated by using sesame oil and Nigella stove. Demonstrated, that the volume of wear in dry conditions is twice as much as lubricated, and the COF decreased from 2 to 7 times compared to the saline solution, they attribute this phenomenon to the absorption of acid degrees on the surface of stainless steel and to the formation of soap carboxylate complexes; also, the tribological property is favorable to content of the oils insaturations.

The crystallisation, oxidation, and thermal decomposition of vegetable oils are all exothermic reactions. This means that the changes in the enthalpy of these physical and chemical processes can be measured using Differential Scanning Calorimetry (DSC). The method to evaluate the behavior of the thermal oxidation of oils is the register of the flow of heat inside and outside the sample recording the variation as a function of time or temperature [12]. The exothermic peaks can be related to the oils properties at low temperatures and with their oxidative. Compared to conventional methods - such as the ASTM D97 method to determine the pour point, and the Rancimat test to find the indexes of oxidative stability [13], DSC is a technique which can be reproduced and uses less analysis time, and smaller samples.

The uses DSC in 8 vegetable oils, including sesame oil, to determine the percentage of oleic acid in their composition, reporting 39.46% [12], the thermograms shows the flat and short profiles in the initial heating stage (100 to 200°C) and then a sudden increase in the maximum calorie flow.

DSC studies for sesame oil mention that the presence of lignan antioxidants are able to prevent the oxidation of fatty acids in sesame same oil better than tocopherol which is present in other oils as soybean or palm oils. Therefore, Sesame oil has higher thermal stability than soybean oil [14], [15], [16]. comparative studies of the lubricating power of sesame oil against mineral oils, such as 360, indicated that vegetable oil has better lubricity than mineral oil, explained by the presence of triglycerides and that it does not have the mineral oil [17].

Other researchers have shown different methods to characterize the bio lubricants. For example NMR also is a spectral method efficient, for with the polymetallic can be determined by gel permeation chromatography (GPC), the thermal stability can be quantified by Thermo-Gravimetric Analysis (TGA) and biodegradability by Soil Burial Test (SBT) [18] and rotary bomb oxidation test (RBOT) as per ASTM D-2272 standard [19].

Mineral oils are derived from oil and the main advantages are to be more economical than synthetic and biolubricants oils, and yield 5.000 to 7.000 kilometers. In addition, they are ideal for lubricating models of before the 90 years as the engine of these is not made to work with other lubricants. To choose the mineral oils, the viscosity was taken into account, as it influences the speed margin and the load absorption capacity of a fat. 255 mineral oil is ideal for use at high temperatures and 360 oil is used as a high-performance anti-corrosion protective oil [17].

In this study, these thermal properties were compared: the behaviour at low temperatures, and the thermal and oxidative stability of Sesame oil without additives was compared to that of two mineral oils of with high and medium viscosity (255 and 360). The thermal properties were determined using DSC. The oils were characterized by Fourier Transform InfraRed (FT-IR) spectroscopy and kinematic viscosity measurements. This study determined that the sesame oil has good stability at low temperatures, and the thermo-oxidative properties could be improved by using antioxidant, additives and/or a chemical modification of the oil to obtain a biolubricant comparable with mineral oils.

II. Materials and Methods

A. Materials

Sesame (Sesamum indicum L.) oil was obtained from Aceites Producal. For the characterization of vegetable oil the following parameters and methods were taken into account: Lipid profile was carried out ISO 15304 method. Density was determined by applying ASTM D1298-12 standard using a Mettler Toledo densimeter. Acidity was determined according to ASTM D664 method through the use of an automatic Mettler Toledo Titrater T150. Humidity was carried out according to the ASTM E1064-16 method.

The mineral oils 255 (with high viscosity) and 360 (with medium viscosity) were used in the state in which they were obtained without further purification and without additives.

B. Kinematic viscosity

The kinematic viscosity of the oils was determined according to the ASTM D445 method, using a previously calibrated Cannon Fenske Routine No. 200 capillary viscometer, in a K23376-00000 Koehler viscosity bath at a constant temperature (40 ± 0.1°C).

C. FT-IR spectroscopy

The analysis of the oils by Fourier Transform (FT-IR) was carried out using a Nicolet iS10 (Thermo Fisher Scientific) spectrometer equipped with a detector for Deuterated Triglycine Sulphate (DTGS) and a KBr beamsplitter. An automatic dehumidifier was used to decrease the interference of water vapour on the spectrometer. Using the Horizontal Total Attenuated Reflectance (HATR) sampling technique, the oil samples were placed in direct contact with the Zinc Selenide (ZnSe) crystal of the Smart ARK™ multiple rebound accessory at room temperature (23°C). The FT-IR spectrums were acquired with a resolution of 4 cm-1, 32 scans, and a spectral range of 4000–650 cm-1. The analysis of the spectrums was done using OMNIC 9.1.27 (Thermo Fisher Scientific Inc.) software.

D. Thermal analysis using DSC

The DSC experiments were carried out in a Differential Scanning Calorimetry (DSC) Series Q20 from TA Instruments® with an RCS90 refrigerated cooling system. The equipment was calibrated with pure Indium (melting point 156.60°C; ∆Hf = 28.45 J/g), and the baseline was obtained using an empty aluminium crucible. The oil samples of 0.010–0.012 g were weighed in open aluminium crucibles and were placed in the DSC Tzero® cell with an empty crucible as a reference. To study the behaviour of the oils at low temperatures, the samples were flushed with a nitrogen (N2) flow of 0.833 cm3/s with the temperature raised rapidly to 50°C. They were then kept in isothermal conditions for 10 minutes in order to dissolve and homogenise whatever waxy material may have been present in the oil [12]. Later, the system was cooled to -60°C at a speed of 10°C/min. When the samples reached -60°C, an experiment was immediately carried out, heating the system to 50°C at a speed of 10°C/min. The cooling and warming curves ((heat flow (W/g)) were used to determine the onset temperatures, the maximum temperatures, and the enthalpies of the exothermic peaks (crystallisation) and endothermic peaks (fusion), respectively.

To study the oils’ thermal and oxidative degradation, the samples were flushed with N2 (0,833 cm3/s) and air, and warmed from 10°C to 250°C at a heating speed of 10°C/min. The heating curves in the presence of an air flow determined the onset temperatures of the start of oxidation. The oxidative stability of the oils was evaluated by looking at the oxidative-induction times (T0), obtained by extrapolation from the isothermal DSC curves of oxidation (heat flow (W/g) in time function) [11] and rubber seed oil (Hevea brasiliensis [12]. The isothermal temperature was programed at 150°C and the samples were oxidised in an air flow of 0,833 cm3/s (Data analysed using Universal Analysis 2000 software, version 4.5A, TA Instruments®).

III. Results and Discussion

A. Characterisation of the oils

Lipid profile in acid percentage shown Table 2. Briefly, the sesame oil was consisted 15.11% saturated, 15.11% monounsaturated and 46.92% polyunsaturated fatty acids. Results similar to those found by in the sesame oil from 5 different countries in Africa, reporting average values of 15% of saturated and 80% unsaturated fatty acids [4]. The composition of the test oils in terms of constituent fatty acids above described is like the percentages show in Table 1 and are consistent with those reported in other studies [4], [5], [7], [8], [12].

On the other hand, sesame oil has an acidity of 2.9, a value close to that presented by other studies [6] and well above the acidity of sunflower and coconut oils also reported by this author, other researchers reported the same results [19]. Regarding the viscosity index, coconut oil shows values close to 9 showing low viscosity at high temperatures, contrary to sesame oil with a value of 156.4 for finally, the density presents very close values in these three oils [6].

The kinematic viscosity values of the oils shown in Table 3. These values indicate that Sesame oil has better lubricity properties than mineral oil 360. Kinematic viscosity for 255 oil was indicated that it is the most viscous oil, so it offers more strength and could consume more energy to move and act with better lubricating properties. Therefore, the Sesame oil had a viscosity comparable to that of medium viscosity mineral oils, this due to the high monounsaturated and polyunsaturated in vegetable oils. Result similar to that reported whith a value of 35.55 mm2/s [2] [20].

Table 2. The composition of fatty acids in Sesame oil.

Name of the fatty acid

Fraction (%)

Lauric acid

C 12:0

0.38

Myristic acid

C 14:0

0.18

Palmitic acid

C 16:0

8,77

Palmitoleic acid

C 16:1

0.10

Stearic acid

C 18:0

5.07

Oleic acid

C 18:1

37.69

Linoleic acid

C 18:2

46.59

Linolenic acid

C 18:3

0.33

Arachidic acid

C 20:0

0.46

Eicosenoic acid

C 20:1

0.15

Source: Authors.

Fig. 1 shows the FT-IR spectrums of the oils. Schematic structures of a triglyceride molecule of the vegetable oil and the long-chain hydrocarbons present in the mineral oils are shown alongside the spectrums.

In the IR spectrum of the Sesame oil, the following bands are observed: at 3008 cm-1; stretching vibration of the ═C–H (cis) of olefinic double bonds. At 2923 and 2853 cm-1; asymmetric and symmetric stretching vibration of the –C–H of the methylene group (CH2) respectively. At 1743 cm-1; stretching –C=O characteristic of the ester group of triglycerides. At 1464 cm-1; bending vibrations –C=O of the aliphatic groups CH2 and CH3. At 1377 cm-1; wagging vibration of the –C–H of the methyl group (CH3). The bands at 1238, 1159, and 1097 cm-1 can be attributed to the stretching vibrations of the C–O group in the esters. Finally, the band at 722 cm-1 is the superposition of the rocking vibration of CH2 and the bending vibration outside the plane of the cis-disubstituted olefins. A similar observation has been reported for the FTIR elsewhere [2] [20] [21]. These results show that sesame oil consists of a mixture of triglycerides formed by saturated and unsaturated fatty acids shown lipid profiled.

Unlike sesame oil spectrum, IR spectrums of mineral oils 255 and 360 show only bands corresponding to aliphatic hydrocarbons. At around 2953 cm-1, asymmetric stretching vibration –C–H of the methyl group (CH3). The bands at 2921 and 2852 cm-1 display asymmetric and symmetric stretching vibration –C–H of the methylene group (CH2), respectively. The vibrations at 1459 cm-1 relate to the –C–H bending of the groups CH2 and CH3. The band at approximately 1377 cm-1 corresponds to the wagging vibration –C–H of group CH3. Lastly, the band at 722 cm-1 is the rocking vibration of CH2. Comparing the spectrums of oils 255 and 360, we find that they are very similar. This also indicates that both mineral oils are composed of mixtures of aliphatic hydrocarbons. But taking into account the fact that oil 255 has a greater viscosity than oil 360, it can be inferred that hydrocarbons present in oil 255 are composed of longer chains [13].

Table 3. Physical properties of the studied oils.

Property

Sesame oil

Mineral oil 255

Mineral oil 360

Density (g/cm3)

0.923

-

0.865

Viscosity index

156.4

-

98

Acidity (mg KOH/g)

2.97

-

-

Humidity (mg/kg)

377

-

-

Kinematic viscosity at 40°C (mm2/s)

34.63

67.45

56.5

Source: Authors.
Fig. 1. FT-IR spectrums of the Sesame oil and the mineral oils.
Source: Authors.

Different mixtures of vegetable oils with additives have been investigated to improve the properties of lubricants, for example, anti-wear lubricant additives such as dodecyl acrylate in castor oil [18], nitrogenous compounds or phosphorus-based acids or poly (hydroxythioether), and boron fatty acid derivatives for antifriction in the automotive industry. However, these mixtures have a limitation due that most of the double bonds of the fatty acids are not conjugated, limiting the direct mixing with the additives added to the presence of bisalylic protons in the chain, which makes them prone to oxidative degradation forming an insoluble deposit that increases the acidity, viscosity, corrosion and volatility of the oil [22].

Although promising researches about the mixture of biological-based with commercial lubricants to prepare ecological lubricants have been reported, it cannot be still completely replaced because the lower production of vegetable oils and the cost of biologically based lubricants is higher than petroleum derivatives. Nevertheless, research for the development of future green products and the manufacturing methodologies should be continued that for to makes more economical and ecological [22] [23].

B. Behaviour at low temperatures

DSC thermal analysis has been successfully used to judge the crystallisation behaviour of vegetable oils, through analysis of the exothermal changes associated with this process [12]. Fig. 2 shows the DSC curves representing the cooling of the Sesame oil and the mineral oils, obtained from 50°C to -60°C. Table 4 summarises the onset temperatures (Tonset ), maximum temperatures (Tmax ), and enthalpies (∆H) resulting from the analysis of these curves.

Taking into account the fact that crystallisation is an exothermal process, the thermograms show that the heat flow increases when crystallisation begins. When comparing the curves, it was found that vegetable oil begin to crystallize at a lower Tonset temperature than mineral oils. This behaviour can be attributed to the fact that Sesame oil has a higher concentration of unsaturated fatty acids: oleic acid (37.69%) and linoleic acid (46.59%) according to the lipid profile. In the triglycerides containing the unsaturated fatty acids, the chains adopt a bent conformation which prevents the close packing of the molecules during the cooling process [6]. The mineral oils, on the other hand, begin to crystallise at higher temperatures due to the saturated nature of their hydrocarbon chains, which favour the packing of the molecules during cooling and consequently crystallisation. When comparing the two mineral oils, it was observed that oil 255, which is composed of aliphatic hydrocarbons with longer chains, begins to crystallize before oil 360.

The DSC curve showing the cooling of the sesame oil displays two exothermic peaks at -14.67°C and -40.61°C, relating to the presence of different polymorphisms of the triglycerides (forms α and β) [23]. Since Sesame oil consists of a mixture of triglycerides, formed by unsaturated fatty acids, crystallisation occurs in a wide temperature range, with an enthalpy of 15.59 J/g. The cooling curves of oils 360 and 255 show exothermic peaks at -6.89°C and 3.69°C, respectively. It was observed that the crystallization of mineral oils also occurs over a wide range of temperatures, since it consists of mixtures of hydrocarbons with different molecular weights. The enthalpies obtained for the crystallisation of oils 360 and 255 were of 11.08 J/g and 16.33 J/g, respectively.

Fig. 2. DCS curves showing the cooling of the oils studied.
Source: Authors.
Table 4. Tonset, Tmax and enthalpies of the exothermic peaks observed in the DSC cooling curves.

Oil

Peak 1

Peak 2

∆H (J/g)

Tonset (°C)

Tmax (°C)

Tonset (°C)

Tmax (°C)

Sesame oil

-10.86

-14.67

-31.76

-40.61

15.59

Mineral oil 255

-1.60

-3.69

-

-

16.33

Mineral oil 360

-4.23

-6.89

-

-

11.08

Source: Authors.

The pour point is defined as the lowest temperature at which an oil loses its ability to flow. This is the most important property of a lubricant at low temperatures. It is observed that, for sesame oil, the Tmax of the first exothermic peak (-14.67°C) approaches the reported melting point (-14°C) as determined by the ASTM D1959 method [6]. These results demonstrate that the DSC technique offers a fast and easy method for determining the pour points of lubricants. Accordingly, it is possible to mention that the pour points of oils 360 and 255 are close to -6.89°C and -3.69°C, respectively. Comparing the pour points of the three studied oils, determined using the DSC cooling (Table 4), it was found the sesame oil has the lowest pour point and therefore behaves better at low temperatures. As references for vegetable oils with a lower pour point than sesame oil, it is found sunflower oil and an SAE 20W40 commercial mineral oil [6]. For vegetable oils, low temperature performance is expected to be one of the main drawbacks for use as lubricants [5], [24]. Cloudiness and solidification become evident at low temperature upon long-term exposure at low temperature, causing poor flow properties [24]. However, comparing cloudiness temperatures is lower for sesame oil than for mineral oils which indicated that the oil triacylglycerides are kept liquid and free of crystals at the common cooling temperatures and therefore clear and turbidity free, presented better flow properties than mineral oils.

Fig. 3 shows the DSC heating curves of the oils studied, obtained between -60°C and 50°C. Table 5 summarises the Tonset, Tmax and ∆H temperatures resulting from the analysis of these curves. In the heating curve of the Sesame oil, an exothermic peak is observed at -38.85°C, which corresponds to the crystallisation process, with an enthalpy of 19.53 J/g and an endothermic peak at -19.54°C, which corresponds to the fusion of the oil, with an enthalpy of 38.94 J/g. The level of the enthalpy of fusion is approximately the sum of the enthalpies of crystallisation observed in the cooling and heating curves (35.12 J/g). This indicates that during the cooling of the Sesame oil (from 50°C to -60°C), total crystallization did not occur, possibly due to the cooling speed, which did not allow a reorganization of the molecules of the vegetable oil and indicating the amorphous nature of the molecules of sesame oil.

Fig. 3. DSC heating curves of the oils studied.
Source: Authors.
Table 5. Tonset, Tmax and enthalpies of the exothermic and endothermic peaks observed in the DSC heating curves.

Oil

Peak 1 (exo)

Peak 2 (endo)

Tonset (°C)

Tmax (°C)

∆H (J/g)

Tonset (°C)

Tmax (°C)

H (J/g)

Sesame oil

-49.99

-38.85

19.53

-

-19.54

38.94

Mineral oil 255

-

-

-

-46.11

-3.11

19.89

Mineral oil 360

-

-

-

-32.43

-4.29

11.11

Source: Authors.

The heating curves of oils 360 and 255 display only endothermic peaks (maximum -4.29°C and -3.11°C, respectively). These peaks correspond to the fusion of the oils. The levels of the enthalpies of fusion are closest to those of the enthalpies of crystallisation observed in the cooling curves, which indicates that during cooling (from 50°C to -60°C), most of the mineral oil molecules did crystallise. It is also observed that the fusion of the vegetable oil and the mineral oils occurs in a wide range of temperatures, since the oils consist of mixtures of compounds with different molecular weights.

C. Oxidative and thermal stability

The thermal and oxidative degradation of the oils was studied using the DSC with a flow of N2 and air, respectively. In Fig. 4, Fig. 5 and Fig. 6, it were observed that both Sesame and mineral oils are thermally stable up to temperatures of around 250°C, in an atmosphere of N2. In the range of temperatures studied, exothermic peaks of thermal degradation were not observed.

Fig. 4. DSC curves showing the oxidation in air and thermal stability in N2 of Sesame oil.
Source: Authors.

.

Fig. 5. DSC curves showing the oxidation in air and thermal stability in N2 of mineral oil 255.
Source: Authors.
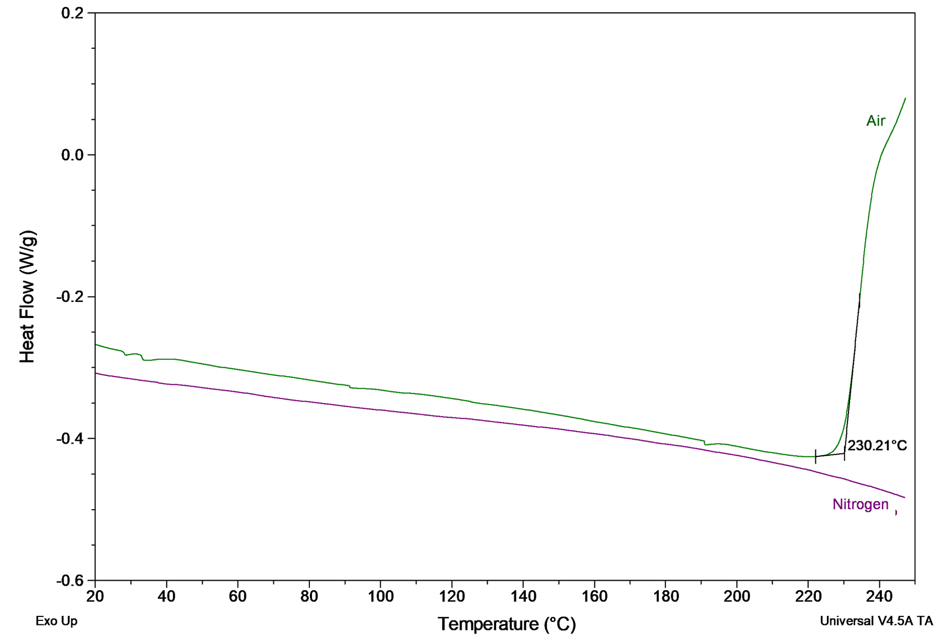
Fig. 6. DSC curves showing the oxidation in air and thermal stability in N2 of mineral oil 360.
Source: Authors.

The beginning of the oxidation is determined by the Tonset, which were obtained from the heating curves in air atmosphere (Fig. 4, Fig. 5 and Fig. 6). The Tonset of oxidation for Sesame oil is 189.04°C and for oils 255 and 360 it is 207.93°C and 230.21°C, respectively. These temperatures indicated that Sesame oil oxidises more easily than mineral oils, this was been expected because of the sesame oil has a high percentage of unsaturated acids. Virgin Sesame oil showed a low thermal stability so it did not have good lubricating properties and it would be necessary to evaluate other treatments, for example, to make a chemical modification of the oil by epoxidation or hydroxylation to reduce the number of unsaturated bonds in fatty acids, or add additives or antioxidants.

The oxidative stability of the oils was tested with the oxidation induction times (T0), obtained from the isothermal DSC oxidation curves at 150°C and in a flow of air (Fig. 7). The T0 for Sesame oil was 30.31 min. Oils 255 and 360 did not oxidise under the conditions of the study, probably because the temperature of 150°C is not sufficient to achieve the activation energy needed to initiate the oxidation reaction in the mineral oils.

Fig. 7. Isothermal DSC oxidation curves at 150°C of Sesame oil and the two mineral oils.
Source: Authors.

Different studies related with the thermo-oxidative stability of vegetable oils have mentioned that these have high content of unsaturated fatty acids; which decrease the oxidative stability due to the presence of C=C double bonds which oxidize in the presence of oxygen and possibly lead to the formation of peroxides and/or hydroperoxides. When looking at the lipid profile of the Sesame oil, it was expected that it contains a high percentage of unsaturated fatty acids (84.86%), which explains the decrease in its oxidative stability. In contrast, mineral oils are more stable to oxidation because their saturated hydrocarbon chains do not have readily oxidizable sites.

The poor oxidative properties of sesame oil are mainly due to its chemical composition, which is rich in unsaturated fatty acids. Therefore, the addition of depressants or a chemical modification of the oil could affect the polymorphic transformations of triacylglycerols and fatty acids by delaying nucleation, reducing or modifying crystal size and shape, or co-crystallization, becoming an alternative to improve the thermal properties of the vegetable oil [3] [12].

IV. Conclusions

The FT-IR spectroscopy showed that 255 and 360 mineral oils are formed by aliphatic hydrocarbons, it´s evident the absence of double bond C=C (3008 cm-1), which was detected in Sesame oil. This is achieved by verifying that mineral oils are formed mainly by hydrocarbons paraffinic, rather than naphthenic and aromatic, so they are good oils bases that have excellent thermal stability and with their DSC heating curves, the Tonset, Tmax and ∆H temperatures resulting, this fact was proven.

The DSC is a quick method to determine the characteristics of bio lubricants, spectral analysis methods like NMR are efficient, the molecule can be determined by Gel Permeation Chromatography (GPC) with the molecular additives, the thermal stability can be quantified by ThermoGravimetric Analysis (TGA) and biodegradability by Soil Burial Test (SBT)

However, Sesame oil showed the better performance at low temperatures compared to 255 and 360 mineral oils, sesame oil presented a lowest pour point and crystallization temperature, due to its chemical composition in unsaturated fatty acids (84.86%), so Sesame oil would be expected to have good lubricating behavior at low temperatures.

Although vegetable oil bio lubricants are more expensive than mineral or synthetic lubricants, they are a promising alternative due to their specific functional attributes, such as their high viscosity index and flash point, good lubricity, superior anticorrosive properties, high level of biodegradability and low aquatic toxicity. Nevertheless, research for the development of future green products and the manufacturing methodologies should be continued for making them more economical and ecological.

In summary, sesame oil has good behavior at low temperatures, however to improve its thermo-oxidative properties compared with mineral oils it would be necessary to make a chemical modification of and/or add oxidizing agents or additives and thus a bio-lubricating base with the properties similar to those existing in the market for petroleum derivatives.

References

[1] T. M. Panchal, A. Patel, D. T. M. Chauhan and J. V. Patel, “A methodological review on bio-lubricants from vegetable oil based resources,” Renew. Sust. Energ. Rev., vol. 70, no. C, pp. 6570, Apr. 2017. https://doi.org/10.1016/j.rser.2016.11.105

[2] O. Ocheje, M. Matthew, A. Manase and E. Ifechukwu, “Optimization of the operating parameters for the extractive synthesis of biolubricant from sesame seed oil via response surface methodology,” Egypt. J. Petrol., vol. 27, no. 3, pp. 265275, Sept. 2018. https://doi.org/10.1016/j.ejpe.2017.04.001

[3] J. McNutt and H. Quan, “Development of biolubricants from vegetable oils via chemical modification,” J. Ind. Eng. Chem., vol. 36, pp. 112, Apr. 2016. https://doi.org/10.1016/j.jiec.2016.02.008

[4] S. Gharby, H. Harhar, Z. Bouzoubaa, A. Asdabi, A. El Yadini and Z. Charrouf, “Chemical characterization and oxidative stability of seeds and oil of sesame grown in Morocco,” J. Saudi Soc. Agric. Sci., vol. 16, no. 2, pp. 105111, Apr. 2017. https://doi.org/10.1016/j.jssas.2015.03.004

[5] S. Long-Kai, Z. Li, L. Rui-Jie, C. Ming, J. Qing-Zhe and W. Xing-Guo, “Chemical Characterization, Oxidative Stability, and In Vitro Antioxidant Capacity of Sesame Oils Extracted by Supercritical and Subcritical Techniques and Conventional Methods: A Comparative Study Using Chemometrics,” Eur. J. Lipid Sci. Technol., vol. 120, no. 2, pp. 111, Sept. 2017. https://doi.org/10.1002/ejlt.201700326

[6] S. Sabarinath, P. Kumarapillai and R. Perikinalil, “Evaluation of physicochemical, thermal and tribological properties of sesame oil (Sesamum indicum L.): a potential agricultural crop base stock for eco-friendly industrial lubricants,” IJARGE, vol. 13, no. 1, pp. 7790, May. 2017. https://doi.org/10.1504/IJARGE.2017.084037

[7] J. P. Ríos L., D. E. Salazar L. and C. Puente, “Diseño y contrucción de un equipo para la extracción de aceite de sésamo (Sesamum indicum) y nuez (Juglans regia),” Trabajo Titulación, Fac. Cienc., Esc. Sup. Politécnica de Chimborazo, Riobamba, Ecuador, 2018. Available: http://dspace.espoch.edu.ec/bitstream/123456789/10505/1/96T00503.pdf

[8] Y. Junpeng, Z. Qi, L. Xin, W. Xinsheng, L. Bing and Z. Wenxue, “Steam explosion technology based for oil extraction from sesame (Sesamum indicum L.) seed,” J. Saudi Soc. Agric. Sci., vol. 18, no. 1, pp. 16, Jan. 2019. https://doi.org/10.1016/j.jssas.2016.10.003

[9] C. J. Reeves, P. L. Menezes, J. T.-C. Jen and M. L. Lovell, “The influence of fatty acids on tribological and thermal properties of natural oils as sustainable biolubricants,” Tribol. Inter., vol. 90, pp. 123134, Oct. 2015. https://doi.org/10.1016/j.triboint.2015.04.021

[10] M. Azhari, M. F. Tamar, N. R. Mat Nuri and M. R. Yusoff,Physical property modification of vegetable oil as bio-lubricant using ZDDP,” ARPN JEAS, vol. 10, no. 15, pp. 65256528, Aug. 2015.

[11] W. M. Guezmil, S. M. Bensalah and S. Mezlini, “Effect of bio-lubrication on the tribological behavior of UHMWPE against M30NW stainless steel,” Tribol. Inter., vol. 94, pp. 550559, Feb. 2016. https://doi.org/10.1016/j.triboint.2015.10.022

[12] Q. Baokun, Z. Qiaozhi, S. Xiaonan, W. Zhongjiang, L. Yang and J. Lianzhou, “Differential scanning calorimetry study—Assessing the influence of composition of vegetable oils on oxidation,” Food Chem., vol. 194, pp. 601607, Mar. 2016. https://doi.org/10.1016/j.foodchem.2015.07.148

[13] L. Honary and E. Richter, “Biobased Lubricants Technology,” in Biobased Lubricants and Greases: Technology and Products, Hoboken, Nueva Jersey, USA: John Wiley & Sons, 2011. https://doi.org/10.1002/9780470971956.ch7

[14] W.-H. Wu, “The contents of lignans in commercial sesame oils of Taiwan and their changes during heating,” Food Chem., vol. 104, no. 1, pp. 341344, Dec. 2007. https://doi.org/10.1016/j.foodchem.2006.11.055

[15] M. T. Siniawski, N. Saniei, B. Adhikari and L. Doezema, “Influence of fatty acid composition on the tribological performance of two vegetable-based lubricants,” J. Synth. Lubr., vol. 24, no. 2, pp. 101110, Mar. 2007. https://doi.org/10.1002/jsl.32

[16] M. R. Tiwari, K. K. Tiwari and S. D. Toliwal, “Studies on Thermal Stability of Palm -Sesame oil blends during Deep Fat Frying,” J. Sci. Ind. Res., vol. 73, pp. 153156, Mar. 2015.

[17] A. E. Delgado, R. G. García and W. A. Aperador, “Estudio del Poder Lubricante del Aceite de Ajonjolí con Adición de Nanopartículas de Cobre,” Inf. Tecn., vol. 27, no. 6, pp. 175184, Dec. 2016. https://doi.org/10.4067/S0718-07642016000600018

[18] P. Ghosh, M. Hoque and G. Karmakar, “Castor oil as potential multifunctional additive in the formulation of eco-friendly lubricant,” Polym. Bull., vol. 75, no. 2, pp. 501514, May. 2017. https://doi.org/10.1007/s00289-017-2047-6

[19] T. Yakubu, S. Albert, A. Salawu, M. Olutoye and M. Ojapah, “Vegetable oil based lubricants: Challenges and prospects,” Tribol. Online, vol. 14, no. 2, pp. 6070, Jun. 2019. https://doi.org/10.2474/trol.14.60

[20] M. Menkiti, O. Ocholi, K. Oyoh and O. Onukwuli, “Synthesis and Tribological Evaluation of Sesame OilBased Trimethylolpropane Ester,” J. Chinese Advanced Materials Society, vol. 3, no. 2, pp. 7188, Mar. 2015. https://doi.org/10.1080/22243682.2015.1013154

[21] O. Gorkem, Y. Rusen M., T. Omer S., K. Salih and D. M. Zeki, “Rapid detection of adulteration of cold pressed sesame oil adultered with hazelnut, canola, and sunflower oils using ATR-FTIR spectroscopy combined with chemometric,” Food Control, vol. 82, pp. 212216, Dec. 2017. https://doi.org/10.1016/j.foodcont.2017.06.034

[22] G. Karmakar, P. Ghosh and B. K. Sharma, “Chemically Modifying Vegetable Oils to Prepare Green Lubricants,” Lubricants, vol. 5, no. 4, pp. 117, Nov. 2017. https://doi.org/10.3390/lubricants5040044

[23] G. Karmakar and P. Ghosh, “Soybean Oil as a Biocompatible Multifunctional Additive for Lubricating Oil,” ACS Sustainable Chem. Eng., vol. 3, no. 1, pp. 1925, Nov. 2014. https://doi.org/10.1021/sc500685r

[24] J. N. Salih, B. M. A. Salimon and E. Yousif, “Thermo-oxidation, friction-reducing and physicochemical properties of ricinoleic acid based-diester biolubricants,” Arab. J. Chem., vol. 10, Supp. 2, pp. S2273S2280, May. 2017. https://doi.org/10.1016/j.arabjc.2013.08.002

Anny Astrid Espitia Cubillos, has a BSc. degree in Industrial Engineering, a MSc in Industrial Engineering, and is associate professor on the Industrial Engineering Program at Universidad Militar Nueva Granada (Bogotá, Colombia). https://orcid.org/0000-0002-4791-0250

Arnoldo Emilio Delgado-Tobón, has a BSc. degree in Mechanical Engineering, a MSc in Mechanical Engineering, and is associate professor on the Mechatronic Engineering Program at Universidad Militar Nueva Granada and the Engineering Faculty of El Bosque University (Bogotá, Colombia). https://orcid.org/0000-0002-8743-8958

William Arnulfo Aperador Chaparro, has a PhD. in Materials Engineering, a MSc in Mechatronic Engineering and is associate professor on the Mechatronic Engineering Program at Universidad Militar Nueva Granada (Bogotá, Colombia). https://orcid.org/0000-0003-1778-0851