.

Determinación de la estabilidad de la mezcla de etanol con naftas mediante la medición de sus propiedades dieléctricas y refractométricas

Determination of the stability of the ethanol mixture with naphtha through the measurement of his dielectric and refractometric properties

DOI: http://doi.org/10.17981/ingecuc.16.2.2020.10

Artículo de Investigación Científica. Fecha de Recepción: 05/11/2019. Fecha de Aceptación: 28/08/2020.

Francisco García Reina E:\Users\aromero17\Downloads\orcid_16x16.png

Universidad de Ciego de Avila. Ciego de Avila (Cuba)

pancho@ingenieria.unica.cu

Para citar este artículo:

F. García Reina, “Determinación de la estabilidad de la mezcla de etanol con naftas mediante la medición de sus propiedades dieléctricas y refractométricas.”, INGE CUC, vol. 16, no. 2, pp. 141–150, 2020. DOI: http://doi.org/10.17981/ingecuc.16.2.2020.10

Resumen

Introducción— El uso de las mezclas de etanol con gasolina o nafta tiene el problema de la tendencia natural de esta mezcla a separarse en dos fases, ya que el etanol es una sustancia formada por moléculas polares, mientras que en las naftas son apolares. La completa miscibilidad del etanol en las naftas es fuertemente dependiente de las interacciones moleculares entre estas moléculas de diferentes polaridades y la determinación de la constante dieléctrica y el índice de refracción da una valiosa información de estas interacciones.

Objetivo— Determinar la estabilidad de las mezclas de etanol con naftas usando tecnologías de medición de la constante dieléctrica y el índice de refracción.

Metodología— Para esto se usó un metro LCR digital con celdas capacitivas cilíndricas y un refractómetro de Abbe, con los que se pueden hacer estas mediciones con gran precisión y permiten caracterizar a las mezclas de etanol con hidrocarburos en todo el rango de aplicaciones prácticas.

Resultados— Fueron obtenidos con mezclas de etanol anhidro y tres naftas cubanas: la Nafta Reformada (NR), la Nafta Virgen Ligera (NVL) y la Nafta Virgen Pesada (NVP), las cuales conforman los distintos tipos de gasolina usadas en Cuba. Los resultados experimentales se correlacionan con un estudio termodinámico de la estabilidad de las mezclas, usando la energía libre de Gibbs.

Conclusiones— En las mezclas estudiadas queda claro que las naftas y gasolinas derivadas de la NR son más estables que las NVL y NVP, además se demuestra que hasta una concentración de 15% de etanol la entalpía de vaporización se mantiene por debajo de la gasolina, por lo que en el proceso de evaporación y combustión el etanol añadido a la mezcla no disminuye la eficiencia de la combustión por este concepto.

Palabras clave— mezclas etanol gasolina, constante dieléctrica, índice de refracción, miscibilidad, entalpía de vaporización

Abstract

Introduction— The use of the ethanol mixtures with gasoline or naphtha has the problem of this mixture’s natural tendency to separate in two phases, since the ethanol is a substance formed for polar molecules, while that in the naphtha they are non-polar. Completes miscibility of the ethanol in the naphtha is strongly dependent upon the molecular interactions among these molecules of different polarities and the determination of the dielectric constant and the refraction index gives valuable information about these molecular interaction’s.

Objective— Determination of the ethanol-naphtha mixtures stability using measurement technologies of the dielectric constant and the refraction index.

Methodology— Digital LCR meter with cylindrical capacitive cells and Abbe’s refractometer are used for these measurements with a high precision and they permit to characterize to the ethanol mixtures with hydrocarbons in all the practical- applications range.

Results— They results were obtained with the mixtures of anhydrous- ethanol with three Cubans naphtha: the Reformed Naphtha (NR), the Light virgin Naphtha (NVL) and the Heavy Virgin Naphtha (NVP), which conform the distinct gasoline types used in Cuba. The experimental results are correlated with a thermodynamic study of mixture’s stability, using Gibbs’s free energy.

Conclusions— It is clear that the mixture of ethanol with NR is more stable than NVL and NVP, besides one proves that to a concentration of 15% of ethanol its vaporization enthalpy remains underneath the gasoline, for it that the ethanol once was added does not decrease the efficiency of the combustion for this concept to the mixture in the evaporation and combustion process.

Keywords— Ethanol gasoline mixture, dielectric constant, refraction index, miscibility, vaporization enthalpy

I. Introducción

Uno de los principales problemas para el uso de las mezclas de etanol con gasolina o nafta, es la tendencia natural de esta mezcla a separarse en dos fases, ya que el etanol es una sustancia formada por moléculas muy polares, mientras que en las naftas ocurre todo lo contrario. Por esta razón la constante dieléctrica del etanol es igual 24,3, dada por el alto momento dipolar de sus moléculas, mientras que la de las naftas y gasolinas apenas llega a 2, ya que las moléculas que forman estas mezclas de hidrocarburos son altamente simétricas y prácticamente tienen un momento dipolar nulo. En Química existe un principio que reza: “semejantes se disuelven en semejantes” [1], es decir las sustancias polares se disuelven fácilmente en sustancias polares y mientras que las sustancias apolares en las apolares. En general las sustancias polares no son completamente miscibles en las apolares y la estabilidad de estas mezclas es fuertemente dependiente de la temperatura, donde la atracción dipolar entre las moléculas polares tiende a unirlas y por tanto separar la mezcla, mientras que el moviendo térmico trata de hacer lo contrario. La completa miscibilidad del etanol en las naftas es fuertemente dependiente de las interacciones moleculares entre estas moléculas de diferentes polaridades y la determinación de la constante dieléctrica y el índice de refracción dan una valiosa información de estas interacciones moleculares y por tanto permite evaluar la estabilidad de las mezclas de los hidrocarburos con sustancias polares como los alcoholes y el agua [2]-[3].

Entre los principales problemas para el uso eficiente de los recursos energéticos, está la escasez de medios para la determinación experimental de las magnitudes y propiedades termodinámicas de los combustibles. Esto hace que todos los cálculos y diseños de los equipos, así como las metodologías empleadas, se basen sobre los valores medios reportados en tablas y manuales de estas propiedades, los cuales muchas veces están muy alejados de los valores reales, lo que origina un pésimo uso de los recursos energéticos en muchos casos [2]- [3]. Por otro lado, la determinación precisa de las propiedades termodinámicas y termoquímicas de los combustibles es un proceso altamente costoso y laborioso, por lo que en los últimos años se ha trabajado mucho en la elaboración de modelos que permiten hacer una evaluación de estas propiedades a partir de la medición de las magnitudes físicas de los combustibles, como la constante dieléctrica, el índice de refracción, la tensión superficial, la viscosidad, etc., las cuales son mucho más fáciles de medir y, con el uso de estos modelos, se ha logrado hacer una caracterización precisa de los combustibles sin la necesidad de las complejas mediciones termoquímicas [4].

La Espectrometría Dieléctrica (DS, siglas en inglés) es desde hace más de un siglo una poderosa herramienta para estudiar el comportamiento tanto estático como dinámico de los materiales. Esta se ha venido utilizando cada vez más en el mundo para determinar la calidad de los combustibles líquidos y lubricantes [2]-[4]. Luego, la espectroscopia dieléctrica, junto a la refractometría óptica, permite conocer parámetros fundamentales desde el punto de vista de la investigación científica básica y desde un punto de vista tecnológico, evaluar las propiedades fundamentales de los combustibles líquidos. Para esto, es necesario medir la permitividad dieléctrica (también llamada constante dieléctrica) a bajas frecuencias y el índice de refracción, con lo cual se puede determinar un conjunto de magnitudes termodinámicas de los combustibles, de vital importancia para el funcionamiento de los motores de combustión interna [4].

Las mezclas de alcohol gasolina se vienen usando en el mundo desde hace muchos años, y a medida que se incrementa el desarrollo científico técnico se van utilizando cada vez más por las ventajas ecológicas y económicas que traen consigo, sin embargo, sus compuestos tienden a separarse lo que influye en la estabilidad de las mismas y constituye una de las problemáticas actuales en el empleo eficaz de las mismas en los motores de combustión interna, debido que al bajar la temperatura el etanol tiende espontáneamente a separarse de la nafta [6]-[8]. En el trabajo se presentan los resultados obtenidos con las mezclas de etanol anhidro con tres de las principales naftas obtenidas en Cuba: la Nafta Reformada (NR), la Nafta Virgen Ligera (NVL) y la Nafta Virgen Pesada (NVP), a partir de las cuales se conforman los distintos tipos de gasolina usadas en Cuba. Los resultados obtenidos experimentalmente se correlacionan con un estudio termodinámico completo de la estabilidad de las mezclas, en función de la energía libre de Gibbs. La tecnología de medición desarrollada permite caracterizar y evaluar la estabilidad de las mezclas y su uso más racional y eficiente.

La mezcla de etanol con hidrocarburos tiene la dificultad de la gran diferencia entre las polaridades de las moléculas de ambos. Los hidrocarburos están formados por moléculas prácticamente apolares, mientras que en las de etanol el grupo el radical OH al extremo de la cadena hace que estas sean muy polares. Esto se refleja en la permitividad o constante dieléctrica, de tal manera que en los hidrocarburos (apolar) apenas llega a 2 mientras que en el etanol (muy polar) es de 24.3, lo cual hace que las atracciones dipolares entre las moléculas de alcohol tiendan a separar la mezcla en dos fases líquidas, separadas por una superficie [1]. Luego la medición de la constate dieléctrica a bajas frecuencias y el índice de refracción (que a las superaltas frecuencias ópticas es igual a la constate dieléctrica al cuadrado) da una valiosa información acerca de la interacción dipolar en la mezcla y permite calcular bajo qué condiciones se mantiene estable la mezcla. Para esto, es necesario calcular la energía libre de Gibbs a partir de las mediciones de la constante dieléctrica y el índice de refracción como se muestra a continuación:

La permitividad dieléctrica relativa se define como [5].

Donde, ε es la permitividad dieléctrica del medio y ε0 es la permitividad dieléctrica en vacío. Esta se mide con el metro LCR y un capacitor cilíndrico por (2):

Donde para el capacitor cilíndrico vacío (3):

Donde a es el diámetro interior y b el diámetro exterior.

Con un líquido dieléctrico (4):

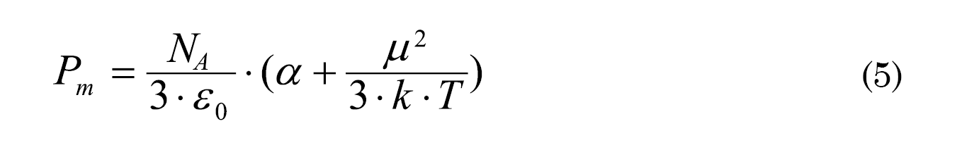
Para el aire se tiene εraire = 1.00053. Se define la polarizabilidad molar Pm como (5) [5]:

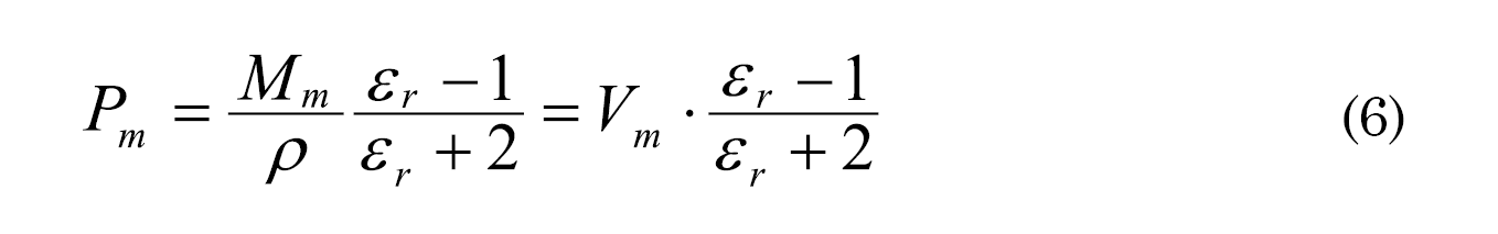
Donde NA es el número de Avogadro, α es la polarizabilidad electrónica, µ es el momento dipolar eléctrico, k es la constante de Boltzmann y T la temperatura absoluta. Se puede demostrar (6) [5]:

Donde Mm es la masa molar y ρ es la densidad y Vm = Mm/ρ es el volumen molar. A las frecuencias ópticas sólo queda la polarización electrónica y se cumple la ley de Maxwell (7) [5]:

Se define la refracción molar por (8) [5]:

De (5), (6) y (8) se puede obtener (9):

De (9) se puede obtener entonces el momento dipolar µ (10) [5].

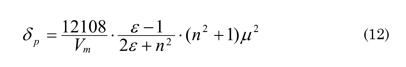
Se define el parámetro de solubilidad δ en función de la energía de cohesión -e0 por (11) [9]-[10]:

En [9]-[10] se demuestra que (12):

Luego de (11) se obtiene (13):

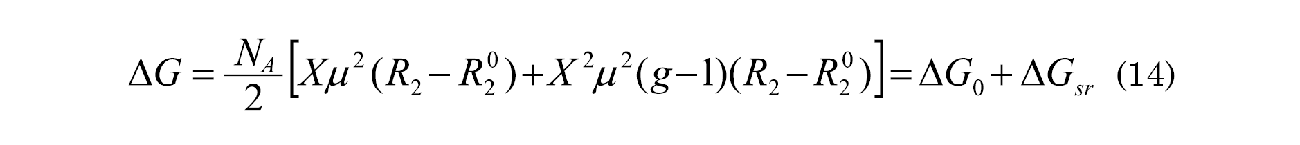
La energía libre de Gibbs de mezcla en exceso ∆G, se define por (14) [7]-[8]:

Donde NA es el número de Avogrado, X la fracción de volumen de alcohol, µ el momento dipolar de la molécula de etanol en estado gaseoso, g el factor de Kirkgood de la mezcla, R2 y R02 son los parámetros del campo de reacción de las sustancias puras y en la mezcla, respectivamente. ∆G0 es el exceso de energía libre debido a interacción de largo alcance entre moléculas iguales y ∆Gsr la de corto alcance entre moléculas diferentes. Los parámetros del campo de reacción son (15) [7]:

III. Materiales y Métodos

Las mezclas se hicieron con etanol anhidro y Nafta Reformada (NR), Nafta Virgen Ligera (NVL) y Nafta Virgen Pesada (NVP). Esta notación para las naftas NR, NVL y NVP se mantendrá en todo el texto. En [2] se presenta el análisis completo de estas naftas y su composición.

Los equipos para las mediciones fueron adquiridos en China, en la empresa HPLC. La constante dieléctrica se midió usando un metro LCR (HP.2358) con un error < ± 1 pF, y un capacitor cilíndrico de acero-níquel, desarrollado por los autores, los cuales se muestran en la siguiente Fig. 1 [2]:

Fig. 1. Metro LCR y capacitor cilíndrico para las mediciones de ε.
Fuente: [2].

Este capacitor está descrito en detalles en [2], tiene una capacitancia en vacío de 13.7 ± 0.5 pF, lo cual permite medir la constante dieléctrica con mucha precisión en el rango de interés de este trabajo. El índice de refracción se midió con un refractómetro de Abbe, de la misma firma, modelo HP1732, con precisión de 4 cifras después de la coma decimal (el error es de ± 0.0001) el cual se muestra en la siguiente Fig. 2.

Fig. 2. Refractómetro de Abbe para la medición de n.
Fuente: [2].

IV. Resultados y Discusión

A. Constante dieléctrica ε

La Fig. 3 ilustra la dependencia de la constante dieléctrica con la fracción de volumen X de etanol.

Fig. 3. Constante dieléctrica ε de las mezclas en función de X.
Fuente: Autores.

Como era de esperar, en las mezclas de las tres naftas con etanol, la constante dieléctrica crece con la concentración de etanol, ya que este es polar y las naftas no [11]-[12].

B. Índice de refracción n

Fig. 4. Índice de refracción n de las mezclas en función de X.
Fuente: Autores.

En la Fig. 4 se presenta la dependencia del índice de refracción con la fracción de volumen, la cual a diferencia de lo que pasa con ε, disminuye ligeramente con la concentración de alcohol, mucho más pronunciado en la NR y NVP que en la NVL. Esto se debe a que a las ultrarrápidas frecuencias de la luz (ópticas) los mecanismos de polarización que se detectan son diferentes. Luego, esto significa que a las frecuencias ópticas, las moléculas polares de etanol polarizan a las apolares de la nafta, fijando modos de vibración y se pierden grados de libertad, por lo que responde en menor medida a la luz y disminuye n [4]-[5].

C. Polarización molar

La polarización molar, que mide la cantidad de dipolos por unidad de volumen, por supuesto que debe de crecer con la concentración de etanol, como se muestra en la Fig. 5. Lo interesante es que estos dipolos son la suma de los permanentes (etanol) con los inducidos (nafta), por lo que se tiene que estos dipolos inducidos crecen mucho más rápido en la NVL, llegando a alcanzar los de la NVP con el aumento de etanol [4]-[5]. Es decir, en la NVL hay moléculas con una mayor polarizabilidad que en la NVP y NR, tal que estas se polarizan rápidamente con los dipolos del etanol contribuyendo así a la polarización [5].

Fig. 5. Polarización molar de las mezclas en función de X.
Fuente: Autores.

D. Momento dipolar eléctrico µ

Está claro que a medida que aumenta la concentración de etanol el momento dipolar de la mezcla debe de aumentar, teniendo en cuenta que la molécula de etanol es realmente muy polar comparada con la de las sustancias puras de la nafta, como se muestra en la Fig. 6, con el momento dipolar en Dy (1Dy = 3.33564×10−30 cm) [4]-[5].

Fig. 6. Momento dipolar eléctrico µ de las mezclas en función de X.
Fuente: Autores.

Por supuesto, en la NVL, la más apolar de las tres naftas (menor constante dieléctrica), es donde mayor influencia ejerce las moléculas de etanol y por tanto donde más crece el momento dipolar, casi alcanzando al de las otras dos [5].

E. Entalpía de vaporización

Con estos valores de ε, n y µ, al usar (11), (12) y (13) se puede calcular la entalpía de vaporización de las mezclas, como se puede apreciar en la Fig. 7. Las entalpías de vaporización de las naftas puras estudiadas están en el rango de 50 a 100 kJ/mol como se reporta en la literatura y son menores que las reportadas para las gasolinas (100 kJ/mol) y el diesel (200 kJ/mol), al ser más volátiles que estos [3].

Fig. 7. Entalpía de vaporización en función de X.
Fuente: Autores.

Al aumentar la concentración de etanol crece la entalpía de vaporización, tanto por la mayor entalpía del etanol como por el aumento de la energía de cohesión, como se vio en el punto anterior [3].

F. Energía libre en exceso de Gibbs

El comportamiento de las energías libres de Gibbs de las tres mezclas se muestra en la Fig. 8. La energía libre en exceso de Gibbs de corto alcance entre moléculas no semejantes da la medida de la interacción entre las moléculas polares con las apolares, del tipo dipolo-dipolo inducido, y se tiene que alcanzar un mínimo alrededor de una fracción molar de 0,3 (fracción de volumen de 0,15), donde se alcanza el máximo de estabilidad de la mezcla. El crecimiento posterior de esta lleva eventualmente a la separación de la mezcla, en dependencia de la temperatura y el contenido de otras impurezas como el agua [10]-[11]. La energía libre en exceso de Gibbs de largo alcance entre moléculas semejantes da la medida de la interacción entre las moléculas polares con las polares, del tipo dipolo-dipolo, y sumada a la de corto alcance define si la mezcla es estable o no [7]. El hecho de que alcance un máximo significa que el aumento de la interacción dipolar a partir de este valor se traduce en una tendencia a la unión de las moléculas polares y a la ruptura de la mezcla en dos fases separadas, para lo cual se debe suministrar además la energía (entalpía) para la formación de la superficie de separación entre la nafta y el alcohol (tensión interfacial) [10]-[13].

Fig. 8. Energía libre de Gibbs en exceso de la mezcla en función de X. En el extremo superior la de corto alcance, en el medio la de largo alcance y abajo la total suma de las dos anteriores.
Fuente: Autores.

Este comportamiento de las energías libres de Gibbs en exceso de corto y largo alcance demuestra que la interacción de las moléculas apolares de las naftas con las polares del etanol, rompen los enlaces de puente de hidrógeno de los radicales OH del etanol, propiciando la formación de enlaces más débiles del tipo H-CO con las moléculas de los hidrocarburos presentes en las naftas, lo cual debilita la estructura interna de la mezcla [7].

La energía libre en exceso de Gibbs total es la suma de la de corto alcance (que tiende a unir la mezcla, al ser negativa y tener un mínimo a una concentración dada) más la de largo alcance (que tiende a separar la mezcla, al ser positiva) [7]. De la Fig. 8 está claro que las tres mezclas tienden en forma muy similar a un máximo del exceso de la energía libre de Gibbs, a partir del cual la mezcla se convierte en inestable y se separa con cualquier disminución de la temperatura o alguna impureza, como el agua (miscible en el etanol, pero no en la nafta). Además, se pone de manifiesto (en comparación con las dos anteriores) que la mezcla más estable es con NR ya que la energía libre de Gibbs en el máximo es mayor que en las otras dos, después la NVP y por último la más inestable es la NVL, [12]-[14]. De la teoría de la miscibilidad de los líquidos está claro que si la energía libre de Gibbs es > 0 la mezcla es estable y no se separa espontáneamente y, por supuesto, a mayor valor de ésta mayor estabilidad [1]. Es de destacar que el máximo se alcanza en las tres mezclas en el mismo valor de concentración de etanol de un 25 % y de la figura 8 queda claro a valores menores y mayores de esta concentración la energía libre de Gibbs, y con esta la estabilidad de la mezcla, cae bruscamente. Luego, a bajas temperaturas esta concentración de etanol en la mezcla con las naftas estudiadas es la más recomendada [1], [7]-[8], [11]-[14]

IV. Conclusiones

Los resultados presentados en este trabajo demuestran las grandes posibilidades que tiene el uso de la dielectrometría y la refractometria óptica para el estudio de los combustibles líquidos y sus mezclas. Las mediciones de la constante dieléctrica y del índice de refracción de los combustibles, en conjunto con el modelo físico-químico desarrollado, permiten hacer evaluaciones muy precisas de magnitudes termodinámicas de vital importancia para evaluar la eficiencia de los motores de combustión interna, como es la entalpía de evaporación, así como la estabilidad de las mezclas de etanol con hidrocarburos.

En el caso estudiado de las mezclas de etanol con naftas producidas en Cuba, queda claro que las naftas y gasolinas derivadas de la reformada (NR) son más estables que las de naftas vírgenes ligeras y pesadas (NVL y NVP), además se demuestra que hasta una concentración de 15 % de etanol la entalpía de vaporización se mantiene por debajo de la gasolina, por lo que en el proceso de evaporación y combustión el etanol añadido a la mezcla no disminuye la eficiencia de la combustión por este concepto [3], [13]-[14].

Referencias

[1] P.W. Atkins, & J. De Paula, Physical Chemistry,11 ed.. Ldn., UK: Oxon, pp. 601644, Feb. 2018.

[2] Martínez Ibáñez L., “Desarrollo de una técnica experimental para medición de la permitividad dieléctrica compleja en mezclas de alcohol gasolina a distintas concentraciones y su efecto en la estabilidad de la mezcla.,” M. S: Thesis. Dpto. Mec. Apl. UCMCAV, CA, CU, 2010.

[3] J. C. Jones, Hydrocarbons – Physical properties and their relevance to utilization. NY., USA: J.C. Jones and Ventus Publishing ApS, 2010.

[4] L. Goual & A. Firoozabadi, “Measuring asphaltenes and resins, and dipole moment in petroleum fluids.,” AIChE J., vol. 48 no. 11, pp. 26462663, 2002. https://doi.org/10.1002/aic.690481124

[5] M. Kötcher , “Dipole moment and molar refraction,” in Advanced experiment. Block III: Kineties, PTC / FU: Be., DE, pp. 213265, 2013.

[6] M. Lapuerta, J. Rodríguez-Fernández, R. Patiño-Camino, A. Cova-Bonilla, E. Monedero & Y. M. Meziani, “Determination of optical and dielectric properties of blends of alcohol with diesel and biodiesel fuels from terahertz spectroscopy,Fuel, vol. 274, no. 15, pp. 117127, Aug. 2020. https://doi.org/10.1016/j.fuel.2020.117877

[7] K.K. Gupta & P.J. Singh , “Fluid structure and molecular interaction of acetophene derivatives.,”Pramana Journal of Physics, vol. 62, no. 5, pp. 11291137, May. 2004. https://doi.org/10.1007/BF02705259

[8] Y. Liu & P. H. Daum, “Relationship of refractive index to mass density and self- constency of mixing rules for multicomponent mixtures like ambient aerosols,” J Aerosol Sci, vol. 39, no. 11, pp.974978, Nov. 2008. https://doi.org/10.1016/j.jaerosci.2008.06.006

[9] J. Hildebrand & R. L Scott, The Solubility of Nonelectrolytes. 3rd ed. NY, USA: Reinhold, 1950.

[10] J. H. Hildebrand & R. L. Scott ,,”Regular Solutions, Prentice-Hall Inc, NJ, USA: Englewood Cliffs, 1962.

[11] A. Stengele, R. Stephanie & H. Leuenberger, “A novel approach to the characterization of polar liquids. Part 1: pure liquids,” Int J Pharm, vol. 225, no. 1-2, pp. 123134, Aug. 2001. https://doi.org/10.1016/S0378-5173(01)00771-2

[12] T. N. C. Anand, A. Madan, & R. V. Ravikrishna, “Spray characterization of gasoline-ethanol blends from a multi-hole port fuel injector,” Fuel, vol. 102, pp. 613623, Dec. 2012. https://doi.org/10.1016/j.fuel.2012.06.107

[13] N. Novas, J. A Gázquez & R. M. García, “Alcohols and alcohols mixtures as liquid biofuels: A review of dielectric properties,”Renew Sust Energ Rev, vol. 66, pp. 556571, Dec. 2016. https://doi.org/10.1016/j.rser.2016.08.032

[14] Kar, K., Last, T., Haywood C. & Raine, R., “Measurement of vapor pressures and enthalpies of vaporization of gasoline and ethanol blends and their effects on mixture preparation in an SI engine,”SAE Int J Fuels Lubr, vol. 1, no. 1, pp. 132144, 2009. https://doi.org/10.4271/2008-01-0317

Francisco García Reina. Universidad de Ciego de Avila. Ciego de Avila (Cuba).