.

Vega de la Cruz, Marrero Delgado & Pérez Pravia / INGE CUC, vol. 18 no. 1, pp. 242Enero - Junio, 2022

Procedimiento para la gestión integrada del Control Interno con enfoque multicriterio

Procedure for the integrated management of Internal Control with a multi-criteria approach

DOI: http://doi.org/10.17981/ingecuc.18.1.2022.16

Artículo de Investigación Científica. Fecha de Recepción: 31/07/2020. Fecha de Aceptación: 29/04/2022.

Leudis Orlando Vega de la Cruz orcid_24x24

Universidad de Holguín. Holguín (Cuba)

leovega@uho.edu.cu

Fernando Marrero Delgado orcid_24x24

Universidad de las Villa “Marta Abreu”. Villa Clara (Cuba)

fmarrero@uclv.edu.cu

Milagros Caridad Pérez Pravia orcid_24x24

Universidad de Holguín. Holguín (Cuba)

mpp@uho.edu.cu

Para citar este artículo:

L. Vega de la Cruz, F. Marrero Delgado & M. Pérez Pravia, “Procedimiento para la gestión integrada del control interno con enfoque multicriterio”, INGE CUC, vol. 18, no. 1, pp. –242, 2022. DOI: http://doi.org/10.17981/ingecuc.18.1.2022.16

Resumen

Introducción— El control interno, como columna vertebral del sistema organizacional ha cobrado auge en las por su importancia y relación con el resto de los procesos, evidenciando su carácter transversal.

Objetivo— Diseñar un procedimiento para la gestión integrada del Control Interno, con enfoque multicriterio que identifique las debilidades de este sistema, para gestionar y mejorar su efectividad.

Metodología— Métodos teóricos y empíricos como el análisis histórico-lógico, el método analítico- sintético, el método inductivo-deductivo, como vía para analizar las tendencias predominantes y el enfoque sistémico durante el proceso de investigación. Los métodos empíricos incluyen entrevistas individuales, encuestas, listas de chequeo, la observación y el análisis de documentos. Se emplearon métodos estadísticos como la estadística descriptiva y métodos matemáticos como —Saaty, AHP de Saaty, Scoring, lógica difusa compensatoria, método de la entropía, redes de Petri y Teoría de la decisión en general.

Resultados— Desde la concepción de un modelo teórico, materializado en un procedimiento general sujeto a modelos matemáticos con enfoque multicriterio, que permite gestionar, de manera integrada, el sistema Control Interno en las organizaciones cubanas. Este sistema se integra a herramientas del control de gestión, destacándose el cuadro de mando integral y la gestión por proceso. El modelo matemático multiatributo propuesto permite la implantación y evaluación de los componentes y normas del Control Interno y materializarlo en los procesos de la organización, al identificar los fallos que afectan la satisfacción de la sociedad. El diseño con enfoque multicriterio del cuadro de mando integral para el Control Interno, permite medir los resultados de forma sistémica e integrando las cuatro perspectivas con los cincos componentes.

Conclusiones— El procedimiento general diseñado, con tres fases, constituye una guía para desarrollar el sistema de gestión del Control Interno con un enfoque de procesos, sistémico, multicriterio y un carácter estratégico, contribuyendo a elevar el nivel de implantación de este sistema, de igual forma el nivel de integración con los procesos, de madurez, la efectividad de su gestión y la mejora de este proceso. Además, es válido prospectivamente cumpliendo con los principios y características. Además de la conformación de un mapa estratégico con relaciones directas e indirectas mediante la lógica difusa sin contradecir el objetivo de las organizaciones con o sin fines lucrativos.

Palabras clave— Control interno; gestión integrada; modelación multicriterio; indicadores de gestión; efectividad

Abstract

Introduction— Internal control, as the backbone of the organizational system, has gained popularity due to its importance and relationship with the rest of the processes, evidencing its transversal nature.

Objective— Design a procedure for the integrated management of Internal Control, with a multi-criteria approach that identifies the weaknesses of this system, to manage and improve its effectiveness.

Methodology— Theoretical and empirical methods such as historical-logical analysis, the analytical-synthetic method, the inductive-deductive method, as a way to analyze the prevailing trends and the systemic approach during the research process. Empirical methods include individual interviews, surveys, checklists, observation and analysis of documents. Statistical methods such as descriptive statistics and mathematical methods such as —Saaty, AHP of Saaty, Scoring, diffuse compensatory logic, entropy method, Petri nets and Decision Theory in general were used.

Results— From the conception of a theoretical model, materialized in a general procedure subject to mathematical models with a multi-criteria approach, which allows managing, in an integrated manner, the Internal Control system in Cuban organizations. This system is integrated with management control tools, highlighting the balanced scorecard and process management. The proposed multi-attribute mathematical model allows the implementation and evaluation of the components and rules of Internal Control and materialize it in the processes of the organization, by identifying the failures that affect the satisfaction of society. The design with a multi-criteria approach to the balanced scorecard for Internal Control allows the results to be measured systemically and integrating the four perspectives with the five components.

Conclusions— The general procedure designed, with three phases, constitutes a guide to develop the Internal Control management system with a process, systemic, multi-criteria and strategic approach, helping to raise the level of implementation of this system, in the same way It forms the level of integration with the processes, maturity, the effectiveness of its management and the improvement of this process. In addition, it is valid prospectively complying with the principles and characteristics. In addition to the formation of a strategic map with direct and indirect relationships through fuzzy logic without contradicting the objective of organizations with or without profit.

Keywords— Control internal; integrated management; multi-criteria modeling; management indicators; effectiveness

I. Introducción

El control interno es tan antiguo como la contabilidad, desde su surgimiento ha estado en constante evolución. Formado por cincos componentes interrelacionados entre sí: Ambiente de control, Gestión y prevención de riesgos, Actividades de control, Información y comunicación, y Supervisión y monitoreo, incluyendo las normas que lo integran, ha sido definido por instituciones reconocidas. La AIPA en 1948 y luego el COSO han emitido informes y conceptos no contradictorios. Los postulados planteados por estas instituciones reconocen la necesidad de la integración de este sistema, pero el “cómo” aún es un acápite pendiente para el sistema organizacional. A pesar de las constantes actualizaciones, aún no hay un criterio homogéneo del cómo llevarlo a cabo [3], [19], [20].

Por otra parte, en Cuba, comienza la aplicación del Control Interno en el año 2003 como una herramienta la cual permite fortalecer el control, para frenar las violaciones y hechos delictivos en las organizaciones. Por la importancia del mismo, y la carencia de un marco referencial común, entra en vigor la Resolución 297/2003 [L1], emitida por el Ministerio de Finanzas y Precios (MFP) de Cuba. Producto a la necesidad de continuar perfeccionando este sistema, y atemperada a las nuevas condiciones que tiene el país se emite la Resolución No. 60/2011 [L2] de la Contraloría General de la República (CGR) de Cuba, dejando sin efecto la anterior resolución sobre este sistema. Se define el concepto de Control Interno (CI), componentes y normas, implicando la actualización sistemática de los manuales de procedimientos internos en cada entidad, y las responsabilidades que debería tener cada persona que interviene en cada uno de sus procesos.

En la referida resolución [L2], se agrega a la definición de Control Interno, la necesidad de la gestión de riesgos y rendición de cuenta. Sin embargo, no se esclarece cómo gestionar de forma integrada, por parte de los directivos, el sistema de Control Interno en las organizaciones; tampoco se expresa la relación de las diferentes normas que lo integran con sus componentes, ocasionando dudas en la evaluación y documentación de estas normas, no reflejándose el enfoque de proceso de este sistema. La verificación del cumplimiento de los elementos que integran las normas del sistema se realiza bajo la dicotomía del sí o no, sin tener en cuenta otras valoraciones, ni la importancia de estos elementos. Se reconoce además la carencia de la integración evidente de estos elementos en el sistema organizacional.

Es prioritario establecer sistemas que garanticen que los procesos cumplan con parámetros que demuestren su madurez. Su resultado se reflejará en los beneficios para sus clientes, quienes encuentran en los productos y servicios de dichas entidades la satisfacción de sus necesidades [29]. La gestión integrada del Control Interno se vuelve entonces pertinente y necesaria, pues al integrarse a las herramientas de control en las organizaciones cubanas se logrará la implantación, integración, madurez y efectividad de este sistema.

En la actualidad cubana se integran los sistemas de gestión, sin embargo, no desde el Control Interno, considerado columna vertebral del sistema organizacional, se hace pertinente una mirada desde el interior de este sistema, y no solo con el resto de los sistemas, pues no todas las organizaciones adoptan los sistemas de dirección y gestión empresarial. También la integración a otros controles existente en cualquier organización es una buena práctica de integración, por lo que se considera al control interno como un proceso complejo. Prevalecen algunas deficiencias pues el monitoreo al control interno solo se realiza utilizando las guías establecidas por la CGR y no se adecuan a las organizaciones debido a su insuficiente madurez, haciendo este proceso complejo y costoso, conllevando a la no garantía de la seguridad razonable en el cumplimiento de todos los objetivos que establece el mismo. Los componentes del sistema de Control Interno no son trabajados como procesos, dificultando su gestión, integración de los elementos que lo componen con los procesos organizacionales y herramientas de control existente. No se identifica el nivel de importancia relativa de los elementos del control, provocando una insuficiente capacidad de respuesta inmediata y poca flexibilidad en la toma de decisiones. Los indicadores cuantitativos y cualitativos que caracterizan el sistema de control interno no ofrecen una visión integral de todas las actividades que intervienen en este y no se evalúa la efectividad del sistema.

Es objetivo de este artículo diseñar un procedimiento para la gestión integrada del C­ontrol Interno con enfoque multicriterio. Para esto se utilizaron las principales herramientas multi­criterios integradas a las herramientas del Control de Gestión (CG) tales como el Cuadro de Mando Integral (CMI) y la Gestión por Proceso (GP). Se tiene un procedimiento el cual sigue la lógica del ciclo de gestión, flexible a todas las organizaciones y valido prospectivamente.

II. Revisión Literaria

En concordancia con investigaciones cubanas [29], el SCI (Sistema de Control Interno) es una forma de Control de Gestión, resaltando su legalidad y normativa, este sistema va desde el control estratégico, el de gestión y el operativo, por lo que se puede asegurar que está dirigido al despliegue de las estrategias, a la eficiencia económica de la empresa y al mejor uso de los recursos; el Control Interno es más amplio que el de gestión, ya que permite el control de la planificación antes de controlar la gestión. El control de gestión y SCI están estrechamente vinculados como un binomio indisoluble, pues el segundo constituye una forma que posibilita la gestión del primero. Se debe resaltar que para lograr lo anterior, el Control Interno debe estar soportado en un sistema informativo oportuno, eficiente, flexible y relevante que permita gestionar una empresa de forma eficaz, eficiente y competitiva, abarcando los elementos relacionados con los procesos, los recursos financieros, la cultura empresarial y el nivel de servicio prestado al cliente para la toma de decisiones a todos los niveles de la organización, también por un control operativo que logre efectividad del control, concordando con los componentes emitidos en la Resolución 60 [L2], que incorpora una importancia a los riesgos según sus antecedentes en la República de Cuba. Por estos se demuestra así la facilidad de la integración de estos dos controles.

La gestión integrada del Control Interno no es más que el proceso de planificación, o­rganización, control y mejora del SCI, integrado a los controles del resto de los procesos en el sistema organizacional con un enfoque multicriterio. Estas se integran al Control Interno, sin entrar en contradicciones y convergen en un solo sistema, obteniéndose como salida la implantación, integración, madurez y efectividad de este proceso.

El CG requiere de un conjunto de herramientas para su realización que, aparejadas a la evolución del mismo, se han ido desarrollando. Especialmente en las últimas décadas han cobrado fuerza un conjunto de herramientas que enriquecen y fortalecen el CG, entre estas: el CMI [23], la gestión de riesgos [4], [30], la planeación estratégica, la gestión por procesos [14] y la auditoría [10]. Según estudios de la UCLV [9], las más utilizadas en la primera década del presente siglo han sido la gestión por procesos y el CMI. En esta investigación se prestará mayor importancia al CMI y a la GP como herramientas de control, ya que la Gestión de riesgos es un elemento común con el Control Interno y la Auditoría guarda estrecha relación con la Supervisión y monitoreo del Control Interno mediante la auditoria de cumplimiento según las normas cubanas.

Los indicadores son las herramientas que se usan para determinar si la organización está cumpliendo con los objetivos trazados y se dirige hacia la implementación exitosa de la estrategia. Existen muchas declaraciones de indicadores que son convencionales y otras no, pero se debe tener en cuenta que los indicadores son propios de las empresas y narran las historias de sus estrategias [7]. Los indicadores de gestión han demostrado ser una de las vías para las oportunidades de mejora según investigaciones de la UCF [21]. Los indicadores de gestión integrada son la expresión cuantitativa del comportamiento y desempeño del Control Interno, cuya magnitud, al ser comparada con algún nivel de referencia, puede estar señalando una desviación sobre la cual se toman acciones correctivas o preventivas, según el caso. Se destacan en esta investigación el nivel de implantación, integración, madurez y efectividad.

En la vida cotidiana como en las organizaciones, las personas se enfrentan a difíciles decisiones fruto de la necesidad de envolver varios imperativos; el decisor se encuentra ante la imposición de escoger entre varias posibilidades, las cuales son llamadas alternativas, el conjunto de las cuales constituye el llamado conjunto de elección [11], [24]-[27]. Para e­scoger en este conjunto, el decisor tiene diversos puntos de vista, también denominadas criterios. Estos criterios son parcialmente contradictorios en el sentido de que, si el decisor adopta uno de dichos puntos de vista, por ejemplo, la minimización del costo, no escogerá la misma alternativa que si se basa en otro criterio, por ejemplo, el de mayor productividad.

Tradicionalmente se evidencia que en las decisiones del Control Interno es trabajado desde el monocriterio. Para incrementar la fiabilidad de este sistema, adquiere pertinencia la modelación matemática definida como la actividad de construir modelos de sistemas complejos que permitan la predicción de procesos mediante un lenguaje matemático, para resolver a través de la práctica, los problemas decisionales. Destacándose herramientas como la modelación multicriterio discreta y la Lógica Difusa Compensatoria, demostrando un paradigma superior en la gestión del control interno clásico. A partir del análisis de la literatura consultada sobre el tema, el marco legal existente y las exigencias del gobierno cubano queda manifiesta la necesidad de concebir una tecnología para la gestión integrada del Control Interno con enfoque multicriterio, apoyado en un sistema informativo que permita, con efectividad y de forma razonable, el cumplimiento de los objetivos organiza­cionales.

III. Métodología

Se utilizaron diferentes métodos teóricos y empíricos de la investigación científica, como el análisis histórico-lógico, el método analítico- sintético, el método inductivo-deductivo, como vía para analizar las tendencias predominantes y el enfoque sistémico durante el proceso de investigación. En el proceso de transformación se tiene la gestión integrada del Control Interno (variable independiente) donde se presenta como centro, la gestión del Control Interno a través de los cincos componentes (Ambiente de Control, Gestión y prevención de riesgos, Actividades de control, Información y comunicación y Supervisión y Monitoreo) inter­relacionados entre sí. En este sentido, se debe implantar el ambiente de control, base para la gestión del Control Interno y realizar una efectiva supervisión y monitoreo que consolide la gestión del sistema. Lo anterior es base para realizar la compleja gestión de riesgos y llevar a cabo las actividades de control teniendo en cuenta la transversalidad de información y comunicación en las organizaciones.

El Control Interno se materializa de forma transversal en el resto de los procesos, ya sean estratégicos, clave y de apoyo en una organización. Este enfoque de proceso permite la integración en la organización, así como conformar la base para la detección de puntos críticos del control. La excelente combinación con el CMI, que concentra el análisis desde sus cuatro perspectivas: Aprendizaje y crecimiento, Procesos internos, de Clientes y Financiera que integradas con los cincos componentes del Control Interno permiten la interrelación de estas dos formas de control, contribuyendo a la efectividad de esta gestión. La integración de estas formas de control tiene como soporte modelos matemáticos, destacado por la modelación multicriterio, lógica difusa compensatoria y las redes de Petri, además de estar presente en todas las fases de la gestión (planificación, organización, implementación, control y mejora) del Control Interno.

IV. Resultados

Se diseñó un procedimiento general que consta de tres fases, que sigue la lógica del enfoque de gestión, dieciséis pasos y un conjunto de tareas que se derivan de estos últimos como se muestra en la Fig. 1. El procedimiento general tiene como objetivo dotar a las organizaciones de una herramienta útil para llevar a cabo la gestión integrada del Control Interno con un enfoque multicriterio para aumentar la efectividad en la toma de decisiones del sistema organizacional.

Fig. 1. Procedimiento para la gestión integrada del Control Interno con enfoque multicriterio.
Fuente: Elaboración propia.

A. Fase I. Planeación

El objetivo de esta fase es realizar un diagnóstico organizacional el cual logre definir las estrategias de Control Interno en la organización objeto de estudio.

Paso 1. Preparación del equipo de trabajo

La cantidad de miembros dependerá de las particularidades de la organización, se recomienda estar entre siete y quince personas con la participación de miembros del consejo de dirección y una representación de todas las áreas. Este equipo debe estar integrado por el personal del comité de prevención y control.

La asignación de las actividades del equipo de trabajo se hará de forma tal que se evite la personalización del proceso, los criterios unilaterales y la ausencia de pensamiento auto­crítico. Este paso también incluye las acciones de capacitación necesarias del equipo de trabajo, entre las acciones se recomienda capacitar en materia de dirección, calidad, auditoría y Control Interno.

Paso 2. Caracterización de la organización

El análisis de los elementos básicos de la organización y de su enfoque estratégico, constituye el punto de partida para valorar el control interno.

Paso 3. Análisis estratégico

El paso anterior constituye punto de partida para realizar el análisis estratégico, debido a que da paso a la identificación de los factores estratégicos que influyen sobre la entidad, es decir, el predominio de amenazas u oportunidades en el aspecto externo o las fortalezas o debilidades en el plano interno. Para la realización del diagnóstico se elabora la matriz de evaluación de los impactos externos e internos, esta combina el análisis cualitativo con el cuantitativo, lo que reduce el nivel de subjetividad y la evaluación se realiza desde una perspectiva futuro presente, lo que favorece la proactividad.

Para el diagnóstico estratégico de la organización se sugiere el análisis DAFO. Este dirigido a determinar el comportamiento del CI. Se identifican las fortalezas y debilidades del CI a partir de los diagnósticos realizados a sus componentes (según los resultados de aplicación de autocontroles, auditorías internas, asesorías, evaluaciones del desempeño del sistema, etc.). Solo se utilizará este análisis para la determinación de los objetivos.

El diagnóstico realizado permite el análisis de los objetivos del CI. Se debe tratar que la cantidad de objetivos no sea muy extensa (no más de 20) para facilitar el trabajo y además prestar atención a los elementos que son realmente importantes. Se debe fijar una relación concreta entre los objetivos estratégicos identificados y los objetivos planteados en la Resolución 60/2011 [L2]. Para esto se propone la matriz que se muestra en la Tabla 1.

Tabla 1.
Matriz de relación de objetivos de control interno con los objetivos de control.

Objetivos

Objetivos de Control Interno según la Resolución 60/2011

Prever y limitar los riesgos internos y externos (PR)

Proporcionar un grado de seguridad razonable al logro de los objetivos institucionales (SR)

Proporcionar una adecuada rendición de cuentas (RC)

Objetivo 1

Objetivo 2

Objetivo n

Fuente: Elaboración propia [L2].

Como resultado del análisis realizado, se obtiene la lista final de objetivos de control. Cada uno de los objetivos se clasifica por perspectivas, para facilitar su posición en el mapa estratégico. Los Factores Críticos de Éxito (FCE) servirán de base para el diseño de los indicadores del CMI. Estos deben mostrar un progreso satisfactorio hacia los objetivos. Con el apoyo de la alta dirección, se establecen aquellos FCE necesarios para alcanzar todos los objetivos estratégicos propuestos, es decir, ¿qué es lo que hace falta para poder lograr el perfeccionamiento del CI y cuáles son los elementos que afectarán más los resultados? Para facilitar la identificación de los FCE, es de suma importancia determinar estos de acuerdo a cada una de las perspectivas.

Paso 4. Diseño del mapa estratégico y de procesos de la organización

La vinculación entre OE y FCE permite a la alta dirección el análisis de la estrategia de la empresa y coadyuvará a mejorar los procesos decisorios. Se asocian los OE y FCE identificados a las perspectivas definidas para el CMI. Para esto se utiliza la lógica difusa como herramienta pertinente.

Validación de las relaciones causa-efecto

Una vez que se han identificado los OE y FCE por perspectivas se procede a establecer las relaciones causa-efecto, de modo que permitan visualizar el camino a seguir para alcanzar la estrategia. En este proceso es de suma utilidad el uso de matrices de incidencias borrosas [13]. La herramienta de la lógica difusa permite el grado de corrección de las interrelaciones, entre las variables, determinadas por los expertos. También permite determinar las incidencias indirectas entre los FCE, constituyendo una importante información para evaluar el comportamiento futuro de las variables de efecto difícilmente mesurables. Las particularidades de este método se describen a continuación.

1) Construir la matriz R

La matriz R de incidencias directas relaciona los FCE expresada con valores del intervalo [0, 1], de acuerdo con la escala entre cero a uno según incidencia. Se construye a partir de la opinión del grupo de expertos aplicando la metodología Delphi, utilizando una encuesta cuantitativa, o construida por algún responsable que tenga conocimiento del negocio. Se considera que cada elemento incide sobre sí mismo con la mayor incidencia,
o sea que la diagonal de la matriz estará formada por unos.

2) Construir la matriz R2

A partir de la matriz R se obtiene la composición Max-min de la matriz R con R
(Matriz R2), que es la matriz de efectos acumulados de primera y segunda generación.
En esta matriz se puede observar que factor tiene mayor incidencia; el efecto de
primera generación (incidencia directa), o el efecto de segunda generación (incidencia
indirecta).

3) Construir la matriz R2 - R

La diferencia algebraica R2 - R, permitirá obtener los efectos de segunda generación que tienen mayor incidencia que los de primera. Un valor próximo a cero en la matriz R2 - R indica que no existe efecto indirecto, es decir que el efecto directo de un FCE está ejerciendo sobre otro, tiene mayor intensidad, que el efecto indirecto que pudiera estar ocasionando a través de un tercer factor. En cambio, un valor alejado de cero, indica que la incidencia indirecta que está ejerciendo un FCE en otro (a través de un tercero), es mayor que la incidencia que pudiera estar ejerciendo en forma directa.

Luego de cumplir con los principios que rigen el mapa estratégico, este debe ser visualizado. Se realiza la representación gráfica del mapa cumpliendo con determinados requisitos técnicos, estos son: visibilidad, legibilidad y contraste de colores. El mapa de procesos debe realizarse de acuerdo a la clasificación de estos (estratégicos, transversales, claves y de apoyo).

B. Fase II. Organización

Etapa I. Nivel de implantación

Su objetivo es definir los principales predicados y crear un modelo de decisión atendiendo a las principales características del Control Interno.

Se determinan los índices de gestión del control mediante dos vertientes: teniendo en cuenta el enfoque de procesos y a través de los componentes del Control Interno, mediante la evaluación de la fiabilidad e importancia de los procesos y componentes de este sistema.

Esta fase permite determinar la implantación del Control Interno en la entidad, se propone los procedimientos específicos propuesto por investigadores y colaboradores de la UHO [28], [31].

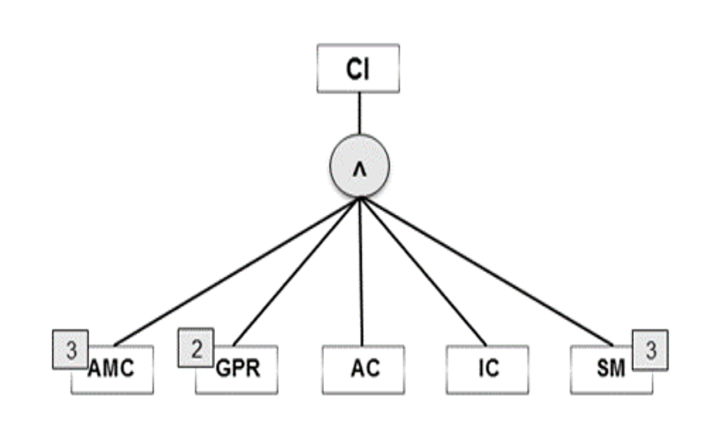
Paso 5. Definición de los nodos

Se definen los elementos fundamentales que formarán parte después de la red del modelo de decisión. Estos no tendrán cambio al realizar su aplicación en diferentes organizaciones, ya que están basados en la Resolución 60/2011 [L2]. Por esta razón se encuentran definidos en el diseño del procedimiento y no en su aplicación. El CI constituye el nodo inicial y de él dependen los componentes que lo integran: Ambiente de Control (AMC), Gestión y Prevención de Riesgos (GPR), Actividades de Control (AC), Información y Comunicación (IC) y Super­visión y Monitoreo (SM). Estos a su vez dependen de las normas que lo integran, considerándose nodos. Cada nodo de los componentes está compuesto por sus elementos de normas, referidos en la Resolución 60/2011 [L2].

Paso 6. Establecer la lógica de predicados

Debido a que la lógica de predicados se compone por predicados simples y compuestos, para lograr establecerla resulta necesario partir de los nodos definidos en el paso anterior, así como del grafo que estos componen. Para estos se construyen las formulaciones verbales, empleando modificadores lingüísticos y luego para su traducción al lenguaje matemático se llevan a cabo dos tareas para su cumplimiento.

Una organización cuenta con un excelente funcionamiento de su SCI si se cuenta con un excelente comportamiento del ambiente de control y la supervisión y monitoreo, existe un muy buen funcionamiento de la gestión y prevención de riesgos y se comporta en buen estado las actividades de control, así como la información y comunicación:

  1. Se mantiene un correcto funcionamiento del ambiente de control, si se cuenta con un excelente comportamiento de la planeación, planes de trabajo anual, mensual e individual; y prácticas y políticas en la gestión de recursos humanos, si se consolida en gran medida la idoneidad demostrada. Además de cumplir con lo relacionado con la integridad y valores éticos y la estructura organizativa y asignación de autoridad y responsabilidad.
  2. Se mantiene un correcto funcionamiento de la gestión y prevención de riesgos si se cumple en gran medida con la identificación de riesgos y detección del cambio, determinación de los objetivos de control, además de contar con un buen funcionamiento de la prevención de riesgos.
  3. Se mantiene un correcto funcionamiento de las actividades de control si se mantiene en buen estado lo referente a la coordinación entre áreas, separación de tareas, responsabilidades y niveles de autorización. Se cumple en gran medida con el acceso restringido a los recursos, activos y registros y control de las tecnologías de la información y las comunicaciones, además de mantener de manera excelente la documentación, registro oportuno y adecuado de las transacciones y hechos, buena rotación del personal en las tareas claves e indicadores de rendimiento y de desempeño.
  4. Se mantiene un correcto funcionamiento de la información y comunicación si se mantiene en un muy buen estado los sistemas de información, flujo y canales de comunicación; y contenido, calidad y responsabilidad, además de contar con un buen sistema de rendición de cuentas.
  5. Se mantiene un correcto funcionamiento del componente supervisión y monitoreo si comporta de manera excelente la evaluación y determinación de la eficacia del SCI, además el buen proceder del comité de prevención y control.

Para lograr el cumplimiento de estas normas resulta necesario cumplir con los parámetros que integran a cada una de estas. Esos parámetros serán los predicados simples a definir y representarán a su vez los nodos más simples de la red. Los predicados simples se definen a partir de aquellos nodos que en la red son independientes. Definiendo como nodo central como el sistema de Control Interno en la organización objeto de estudio.

Los predicados compuestos son aquellos que se definen a partir de los nodos dependientes, su formulación está referida al cumplimiento y buen funcionamiento de las normas de cada componente y del sistema en general.

Paso 7. Establecer el modelo de decisión

En este paso se realiza un árbol lógico donde se representan los predicados simples, compuestos, así como los operadores y modificadores lingüísticos utilizados. En la Fig. 2 se representa el árbol de decisión del Control Interno. A partir del árbol se obtienen las expresiones de cálculo que permitan obtener el resultado de la evaluación del CI (1).

Fig. 2. Árbol de decisión del Control Interno.
Fuente: Autores.

Paso 8. Determinación de puntos de control

Los puntos de control desde la perspectiva estructural y de comportamiento de los procesos se determinarán mediante las redes de Petri. A partir de (los) proceso (s) seleccionado (s) como críticos, se comenzará con la traducción de las acciones de este, a lugares y transiciones1 para la construcción de la Red de Petri [2]-[6], [12] y [15]. El propósito es evitar errores en su proceder [8], [16] y [22].

Paso 9. Determinación de la importancia relativa y fiabilidad de los procesos

Se procederá a través del método de Saaty [32], para los procesos, se recomienda tener en cuenta los criterios siguientes: Impacto del proceso en la sociedad, Ingresos generados, Costos incurridos por utilización de recursos en el caso especial de las entidades presupuestadas, infraestructura, madurez del sistema de información y desempeño del proceso.

Un camino entre dos lugares, es cualquier sucesión de tareas y arcos, donde no se repitan tareas. Un corte (Ki) es el concepto dual del anterior, es decir, se trata de un conjunto de arcos, cuyo fallo provoca el fallo del sistema [1]. Una vez identificados los caminos y cortes mínimos, se determinará la no fiabilidad como la probabilidad de que al menos un corte mínimo haya ocurrido. A partir de los caminos mínimos será posible encontrar los cortes mínimos, se determinarán los cortes mínimos, suponiendo independencia en los fallos, como la probabilidad de que fallen ambos procedimientos, determinándose como el producto de las no fiabilidades de las tareas que la componen.

Actividad 1. Determinación de la fiabilidad de cada actividad

Para la determinación de la fiabilidad del sistema, se determinará la fiabilidad de las actividades individualmente, siguiendo el método similar al de PERT (Program Evaluation and Review Tecnique), donde la fiabilidad estará dada por (2):

Donde:

a: Fiabilidad optimista, fiabilidad mínima de ejecución de una actividad cuando todas las variables que intervienen se desarrollan excepcionalmente.

b: Fiabilidad pesimista, fiabilidad de ejecución cuando concurren circunstancias desfavorables.

m: Fiabilidad más probable, cuando la fiabilidad de ejecución no sufre ni circunstancias positivas ni negativas.

Para la determinación de la fiabilidad más probable, se buscará el complemento del número de veces que ocurrieron fallos en un período (Nf) determinado (3), en un horizonte temporal dado, teniendo en cuenta que en un mismo intervalo de tiempo determinado (NT) pueden ocurrir diferentes fallos2.

Actividad 2. Determinación de la no fiabilidad de los cortes

Luego de calcular la fiabilidad individual de las actividades se determinarán los cortes mínimos, suponiendo independencia en los fallos, la probabilidad de que fallen ambos procedimientos es el producto de las no fiabilidades de las tareas que la componen. Los cortes críticos se determinarán seleccionando aquellas actividades con probabilidad de no fiabilidad sea superior al 5% (se recomienda este umbral, no obstante, puede ser variado por el equipo auditor según las características de la organización hasta un máximo de 10%).

El cálculo de la fiabilidad del control del proceso (Fi) se determinará por (4):

Donde:

Nk: Número de cortes críticos en el proceso i.

NT: Total de cortes mínimos en el proceso i.

Paso 10. Diseño del valor de evaluación general para la administración del control interno

Se propone el diseño del ICcomponenteSCI según lo determinado en el paso 6 a través de la lógica difusa compensatoria y la determinación del índice de gestión del control por proceso, se realizará mediante (5).

Donde:

ICproceso: Índice de gestión del control interno por proceso.

Pi: Peso absoluto del proceso i.

Fi: Representa la fiabilidad del proceso i.

Determinados los índices de control por componente de control interno y por procesos críticos de la organización, se calculará el VEGA3, mediante (6):

Este indicador encierra la implantación operación del control interno en una organización cubana.

Etapa II. Diseño de la evaluación

El objetivo de esta etapa se orienta a realizar un chequeo permanente del nivel de consecución de las actividades con el fin de identificar desviaciones y trazar en consecuencia acciones de mejora. Además, este sistema de control permanente, se debe comunicar los resultados por las vías establecidas a toda la organización.

Paso 11. Diseño del nivel de integración del control interno

Para el desarrollo de esta fase se debe comenzar con el estudio y análisis de toda la d­ocumentación legal, normativa y técnica vigente alrededor de este sistema, para luego seguir los pasos propuestos. Se debe diseñar los componentes del control interno como procesos, se definen indicadores desde sus tres ángulos, eficacia, eficiencia y efectividad. Para la documentación de los procesos se sigue la lógica del manual de proceso siguiente: confección del flujograma de proceso, elaborar ficha de proceso, realización del despliegue y calendarización4. Se sugiere una adaptación del procedimiento especificado por la UHO [18], para el proceso de Control Interno.

El nivel de integración se determina valorando las relaciones entre los componentes y los procesos de la organización a través de (7). Luego se determina la integración los Procesos Estratégicos (PE), Claves (PC) y de Apoyo (PA) con los componentes, a través de tres matrices en las que en cada caso los componentes serán los evaluadores del desempeño de los restantes procesos.

Donde:

NI(CI–Po): Nivel de integración del sistema de Control Interno con los procesos organizacionales.

I1…5Dr(CI–Po): Cantidad de relaciones con valores de importancia de 1 a 5 de los componentes del control interno con los procesos claves por la calificación del desempeño.

I1…5D5(CI–PC): Cantidad de relaciones con valores de importancia de 1 a 5 de los componentes del control interno con los procesos por la calificación del máximo valor del desempeño (5).

Se determinará la fiabilidad externa (Fe (p)) de los componentes con los procesos (8):

Donde:

F(CI–PO): Fiabilidad del CI con los procesos organizacionales.

RC(CI–Po): Cantidades de relaciones críticas del CI con los procesos (relaciones con importante relación y bajo desempeño).

RI(CI–Po): Cantidades de relaciones importantes del CI con los procesos.

De manera similar, se determina la fiabilidad de los procesos estratégicos y de apoyo con los componentes.

Se debe analizar la correspondencia entre el nivel de integración y la fiabilidad, debido a que en determinado proceso puede que el nivel de integración sea alto y la fiabilidad sea media o baja a causa de que aquellas relaciones que se identificaron como importantes sean críticas porque su desempeño es bajo. A partir de los resultados obtenidos a través del análisis de los indicadores, se diseñan las estrategias de integración para aquellos subprocesos que tiene un mayor número de relaciones importantes y bajo desempeño.

Paso 12. Conformación del cuadro de mando integral

Se proponen un conjunto de indicadores, propios de organizaciones cubanas, que sirven de base para la selección de estos según la entidad objeto de estudio. Para seleccionarlos se propone el método multicriterio Scoring. Se parte de identificar todos los indicadores que presenta la entidad y establecer los criterios a emplear en la toma de decisión. En este caso se establecen los criterios definidos por el empresario y consultor, Paul Niven [17]: ligados a la estrategia, cuantitativos, accesibilidad, fácil comprensión, contrabalanceados, relevantes y definición común.

Se asigna una ponderación para cada uno de los criterios, mediante el empleo de una escala de 5 puntos: 1 (muy poco importante), 2 (poco importante), 3 (importancia media), 4 (algo importante), 5 (muy importante) y se establece el rating de satisfacción de cada indicador empleando una escala de 9 puntos: 1 (extra bajo), 2 (muy bajo), 3 (bajo), (poco bajo), 5 (medio), 6 (poco alto), 7 (alto), 8 (muy alto), 9 (extra alto). Luego se construye la matriz de scores (Tabla 2) y se seleccionan los indicadores que mayores puntaciones hayan obtenido.

Tabla 2.
Matriz de Scores.

Indicadores

Criterios

Score

Leyenda

C1

C2

C3

Cj

I1

r11

r12

r13

r1j

S1

Ii: Indicadores.

Cj: Criterios.

Si: Score para el indicador i.

Wj: Ponderación para criterio j.

rij: Rating del indicador i en función del criterio j.

I2

r21

r22

r23

r2j

S2

I3

r31

r32

r33

r3j

S3

Ii

ri1

ri2

ri3

rj

Si

Ponderación

w1

w2

w3

wj

Si = jWjrij

Fuente: Elaboración propia.

Una vez seleccionados se conforma del CMI del CI. Se recomienda seguir la lógica de mostrar los indicadores no solo por componentes de CI y perspectivas de CMI, pero también clasificarlos por objetivo, FCE, impacto y periodicidad de medición como muestra el modelo de la Tabla 3. En la planificación de la documentación del informe de evaluación de los indicadores se tomará la estructura en el formato que se muestra en la Tabla 4.

Tabla 3.
Estructura del Cuadro de Mando Integral del control interno.

Indicador

Objetivo

FCE

Perspectiva

Componente

Impacto

Medición

A

P

C

F

AmC

GPR

AC

IC SM

SM

Eficiencia

Eficacia

Objetivo: Objetivo estratégico al que tributa.

Medición: Periodicidad de medición.

A: Aprendizaje y crecimiento.

P: Procesos internos.

C: Cliente.

F: Financiera.

FCE: Factor crítico de éxito con que se corresponde.

AmC: Ambiente de control.

GPR: Gestión y prevención de riesgos.

AC: Actividades de control.

IC: Información y comunicación.

SM: Supervisión y monitoreo.

Fuente: Elaboración propia.
Tabla 4.
Estructura para el manejo de los indicadores.

Indicador

Descripción

Clasificación

Perspectiva

Impacto

Componente

Norma

Objetivo

FCE

Responsable

Mide

Fórmula

U/M

Variables

Explicación de las variables

Meta

Fuente de información

Periodicidad

Línea Base

Fuente de línea base

Tendencia

Fuente: Elaboración propia.

Paso 13. Diseño de índices globales para la evaluación del control interno

Con los resultados de los indicadores se determina el Índice de Cumplimiento por Objetivos (ICO) y el Índice de eficiencia (ICEfici) y el de eficacia (ICEfica). El objetivo es determinar el grado de cumplimiento de la gestión del control interno de la organización. Estos indicadores generales califican qué parte de los indicadores del sistema han obtenido una evaluación óptima, no solo teniendo en cuenta la cantidad total, sino sobre la base de la importancia relativa otorgado a cada uno. Para su determinación se propone el empleo de la modelación multicriterio y así alcanzar mayor exactitud en los resultados. Para determinar los pesos de cada objetivo se sugiere utilizar la técnica multicriterio AHP de Saaty [32].

Se efectúan los cálculos para determinar los pesos finales de los indicadores (ωm) a través de la fórmula ωm = wnwnm.

Al culminar el método AHP de Saaty [32] se determina el indicador general y la fórmula a utilizar para su cálculo (9).

Donde el Cum refleja el cumplimiento del indicador m determinado por el equipo de trabajo. Esta variable es binaria al tomar valor 0 si el resultado del indicador no se corresponde con el estado deseado (no cumple con el criterio de medida) y valor 1 en caso contrario.

Para determinar el nivel de madurez se propone la metodología publicada por los autores de la investigación en el 2017, con cada uno de diecinueves normas y cinco componentes y tres espacios del SCI, generando su observación y recomendación esta evaluación se realiza de acuerdo a los rangos de calificación

Como se definió en el paso 8, los indicadores propuestos responden a la eficacia y eficiencia, y convergen así a la efectividad de la organización. Para determinar los pesos de los indicadores que corresponden a cada una de estas dos categorías se propone el método de la entropía según una escala del 1 al 5.

Luego se determina el indicador general de eficiencia y eficacia cuyas expresiones a utilizar en el cálculo son ICEfici = ∑ni=1 (PiCumi) y ICEfica = ni=1 (Pi Cumi) respectivamente. El Cum refleja el cumplimiento del indicador m determinado por el equipo de trabajo. Esta variable es binaria al tomar valor 0 si el resultado del indicador no se corresponde con el estado deseado (no cumple con el criterio de medida) y valor 1 en caso contrario. La ponderación de indicador se extraerá del método AHP de Saaty aplicado anteriormente [32].

Al analizar el resultado de los principales indicadores, agrupados en estas dos categorías, permite determinar en qué cuadrante está ubicada la organización, según la matriz de mejoramiento continuo propuesto por estudios de la UCLV [33]5 por lo que se presentan cuatro situaciones en dependencia de su cumplimiento o no de su eficacia y eficiencia. Considerando el enfoque de la mejora continua, se puede decir que la posición I es insostenible y ante esta situación se deberán trazar estrategias urgentes para pasar al cuadrante II o III, para que el siguiente paso sea llegar al IV que es donde se logra la efectividad.

C. Fase III. Implementación, Control y Mejora

Su objetivo es establecer estrategia de mejora según debilidades detectadas en la evaluación de la efectividad del sistema de control interno

Paso 14. Implantación del modelo y del Cuadro de Mando Integral

Una vez realizada toda la planificación corresponde implantar lo proyectado. Se deben tener en cuenta un conjunto de elementos como los responsables y los recursos a emplear.

La asignación de responsabilidad y autoridad como uno de los aspectos que posibilita el logro de los objetivos determina en este punto quiénes a los distintos niveles serán partícipes de la ejecución de las actividades. Se definen responsables por perspectivas, para la capacitación, la gestión de los recursos y en el manejo del soporte informático.

Otro punto relevante es capacitar a aquellos que van a llevar a cabo la medición y el control para evitar la aparición de trabas en el proceso. El propio equipo de trabajo es responsable directo de este punto.

La alta dirección deberá destinar recursos materiales y financieros (en los casos que se precise) para que fluya correctamente el proceso de implantación del CMI. Será importante identificar los medios de trabajo necesarios (materiales de oficina, computadoras, etc.).

Establecimiento de soporte informático

El creciente empleo de las TICs está justificado en que facilita y agiliza el trabajo. Se propone entonces, la creación de un soporte de esta índole para la toma de decisiones de CI. El mismo ha de consistir en la informatización del CMI, para lo cual se pueden emplear diversos software. El uso de la metodología XP con un enfoque ágil, orientada a equipos de desarrollo pequeños, y apoyada por la interacción constante con el cliente permitió la obtención de un producto en consonancia con los objetivos de este proyecto. El uso del framework de desarrollo symfony y el lenguaje de programación php unido a PostgreSQL como sistema gestor de bases de datos contribuyó a la creación de un producto seguro, flexible y acorde a los estándares actuales del desarrollo web.

De acuerdo al análisis de sostenibilidad del producto informático, se valoró según los cuatros dimensiones: tecnológica, medioambiental, administrativa y socio-humanista, cumpliéndose las mismas, también se cumple con los requisitos exigidos para un producto informático.

Paso 15. Medición y comparación de los indicadores

Una vez implantado el CMI se debe monitorear el comportamiento de los indicadores e índices y comparar con el estado deseado para detectar en cuáles de estos no se han alcanzado los resultados esperados. Se realiza la recopilación de datos a partir de los diferentes métodos de información declarados, se introduce la información en el soporte informático y se determina el valor real de los indicadores teniendo en cuenta las expresiones de cálculo planteadas en cada ficha del indicador. Luego se procede a calcular los índices planteados para obtener la panorámica del comportamiento de las perspectivas del CMI, de los objetivos estratégicos y la efectividad de la empresa. ¿Cuáles serían entonces los indicadores globales a monitorear? Se propone en esta investigación los indicadores siguientes con su escala a monitorear6 (Tabla 5).

Tabla 5.
Indicadores a monitorear.

Indicador global

Intervalos (%)

Criterios de interpretación

Índice de cumplimiento por objetivos

ICO ≤ 25

Incumplimiento de los objetivos.

25 < ICO ≤ 50

Objetivos con deficiencias sustanciales.

50 < ICO ≤ 75

Objetivos con deficiencias dentro de los valores permisibles (aceptable).

75 < ICO ≤ 100

Objetivos con resultados favorables.

Nivel de Integración y de fiabilidad con los procesos

Desde 0.80 hasta 1.00

Alta.

Desde 0,50 hasta0.79

Media.

Menor que 0.50

Baja.

Valor General de Administración del control interno7

IC ≥ 0.8

Eficiente Control.

0.6 ≤ IC < 0.8

Alto Control con presencia de deficiencias.

0.4 ≤ IC < 0.6

Medio Control.

0.2 ≤ IC < 0.4

Bajo Control.

IC < 0.2

Deficiente Control.

Madurez del Control Interno

0

Inmadura.

(0-20)

Inicial.

(20-40)

Básica.

(40-60)

Satisfactorio.

(60-80]

Avanzado.

(80-100]

Optimizado.

Fuente: Elaboración propia.

Análisis de desviaciones

En este paso también se realiza el análisis de las desviaciones que se presentan entre el resultado real de los indicadores establecidos y el “patrón fijado”, como el análisis de sus causas para poder actuar sobre ellas. Es necesario el uso de herramientas de procesamiento y síntesis de información como gráficas de barra y de tendencia. El análisis de causa efecto puede realizarse mediante una dinámica grupal con el grupo de expertos. Para esto se pueden definir todas las causas que influyeron en el comportamiento de los indicadores en los que no se alcanzó la meta y luego establecer la relación entre estas mediante un diagrama de causa efecto, así como los indicadores asociados.

Paso 16. Proyección y evaluación de acciones de mejora

Se proponen las acciones correctivas a implementar en los períodos siguientes para eliminar las desviaciones, analizando la factibilidad de su aplicación y efectividad, así como su impacto en la eliminación de las desviaciones detectadas. La lógica a seguir se expone en la Fig. 3, en donde se evidencia la prioridad de las acciones según las debilidades en su gestión. La proyección de mejoras se realiza a partir de planes de acción. Para la ejecución de cada una de las acciones se recomienda establecer un orden de prioridad y se propone la matriz multicriterio y multiniveles (Tabla 6) que constituye una herramienta utilizada para evaluar la importancia y (o) factibilidad de acciones que han sido propuestas y, consecuentemente, jerarquizarlas.

Fig. 3. Estrategia de proyección de mejoras.
Fuente: Elaboración propia.
Tabla 6.
Matriz multicriterio y multiniveles.

Acciones Superficie afectada

Dimensión del problema atacado

Factibilidad de la acción

Impacto de la solución

Gran Total

Población afectada

Intensidad

Tendencia

Criticidad

Total Dimensión

Técnica

Gerencial

Financiera

Socio-Político

Total Factibilidad

Económico

Social

Medio­ambiental

Total Impacto

No

Nombre

P1-1

P1-2

P1-3

P1-4

P1-5

Pc1

P2-1

P2-2

P2-3

P2-4

Pc2

P3-1

P3-2

P3-3

Pc3

C1-1

C1-2

C1-3

C1-4

C1-5

T1

C2-1

C2-2

C2-3

C2-4

T2

C3-1

C3-2

C3-3

T3

GT

Fuente: Adaptado de [6].

Donde:

No: Identifica a la acción evaluada.

Nombre: Denomina la acción.

Pi: Valores ponderados que reflejan la importancia relativa que se le atribuye a cada uno de los sub criterios que sirven para evaluar el criterio general y, por lo tanto, no varían con cada propuesta evaluada permanecen iguales como expresiones de la ideología que fundamenta la institución que planifica. La sumatoria de cada uno de los Psi de cada criterio debe ser igual a 1.

Pci: Valores ponderados de cada uno de los tres grandes criterios. Cada uno de ellos debe ser ponderado en función de la importancia relativa que se le atribuye, de forma tal que los tres ponderadores sumen uno.

Ci: Son las calificaciones que otorgan los expertos, que por el contrario de los Psi y Pci, varían con cada propuesta y se refieren a su comportamiento en función de cada criterio. Esta calificación se da en una escala del 1 al 20.

Ti: Es la calificación total ponderada que recibe cada criterio y se calcula mediante (10) donde n el número de subcriterios por criterios.

GT: Es la media ponderada de los tres grupos de criterios y se calcula mediante (11).

El modelo que se muestra en la tabla anterior parte de la definición explícita de tres criterios: dimensión del problema atacado, factibilidad de la acción e impacto de la solución, cada uno de los cuales recibe un peso o ponderación, que refleja la importancia relativa que se le asigna y, a continuación, cada acción evaluada es calificada en función de cada uno de esos tres criterios. Una vez calculado el GT de cada una de las acciones propuestas se establece un orden de prioridad atendiendo a las que mayor valor haya obtenido

Comunicación de los resultados

Se presentan los resultados a la dirección de la entidad con la constancia de elementos que sustentan los resultados obtenidos y la descripción de los procedimientos empleados, así como la verificación de los resultados, para su revisión y aprobación. Luego estos resultados deben ser extensivos a todos los miembros de la organización, lo que permitirá tomar oportunamente las medidas correctivas necesarias al transformar las informaciones en acciones concretas.

Validación prospectiva del modelo académico

Para la validación prospectiva del procedimiento propuesto se utilizó la propuesta de [30]. Para lo cual se inició con una la traducción del procedimiento a una red de Petri (Fig. 4). La Tabla 7 explica la leyenda de la red. De forma similar, se aplicaron las reglas de reducción: fusión de lugares y transiciones en series para reducir la red en función de facilitar su análisis. Es válido aclarar que la red puede seguir simplificándose, pero para lograr mayor claridad en la utilización de las técnicas de análisis se llegó hasta la reducción mostrada en la referida.

Fig. 4. Red de Petri del procedimiento propuesto.
Fuente: Elaboración propia.

Se comprobó que se logra su objetivo de forma segura ya que garantiza que nunca entrará en un estado no válido. O sea, no sigue instrucciones que no se deben realizar, es consistente, repetible, conservativo y vivo estructuralmente. Se comprobó que el modelo supone una aproximación adecuada de la realidad para los objetivos particulares del modelo. Representa adecuadamente al sistema real con la comprobación de la estructura del modelo con las propiedades estáticas y los datos generados de la simulación del mismo, reproducen de forma adecuada el comportamiento del sistema real con la comprobación del comportamiento del modelo con las propiedades dinámicas.

Tabla 7.
Descripción de los elementos de la Red.

Lugares

Descripción

Transiciones

Descripción

P1

Premisas.

T1

Preparación del equipo de trabajo.

P2

Equipo Comprometido.

T2

Caracterización de la organización.

P3

Caracterización del entorno.

T3

Enfoque estratégico.

P4

Caracterización de la organización.

T4

Estilo de dirección.

P5

Estrategia de la organización.

T5

Diagnóstico estratégico de la organización.

P6

Factores críticos del éxito.

T6

Definir factores críticos del éxito.

P7

Mapa estratégico.

T7

Diseño del mapa estratégico.

P8

Mapa de procesos.

T8

Diseño del mapa de procesos.

P9

Nodos de Control Interno.

T9

Definición de nodos.

P10

Predicados.

T10

Lógica de predicados.

P11

Módulo de decisión.

T11

Establecer el módulo de decisión.

P12

Puntos de control.

T12

Determinar puntos de control.

P13

Importancia de los procesos.

T13

Determinación de la importancia de los procesos.

P14

VEGA.

T14

Determinación del VEGA.

P15

Integración y fiabilidad del CI.

T15

Diseño del proceso y nivel de integración.

P16

Cuadro de Mando Integral.

T16

Conformación del CMI.

P17

Índices globales.

T17

Diseño de índices globales.

P18

Modelo implantado.

T18

Implantación del modelo.

P19

Debilidades.

T19

Medición y comparación de indicadores.

P20

Mejoras del control interno.

T20

Proyección de mejoras.

Fuente: Elaboración propia.

La Tabla 8 muestra los principios necesarios, para lograr una amplia efectividad del modelo validado. Se procedió a validarlo determinando un coeficiente de validación Kexp = 3.694, mayor que 2.67 por lo que se considera que el modelo analizado es válido.

Tabla 8.
Matriz de calificación de los expertos8.

Expertos

CL

Par

F

T

S

I

Pa

R

Pe

E 1

4

4

4

3

4

2

4

4

3

E 4

4

3

4

4

4

3

4

4

3

E 5

4

4

4

4

4

4

4

3

4

E 6

3

4

3

3

4

3

3

3

3

E 7

4

4

4

4

4

2

4

4

4

E 8

4

4

4

4

3

3

4

4

3

E 9

4

4

4

4

3

3

4

4

4

E 10

4

4

4

4

4

3

4

4

4

S

0.3536

0.3536

0.3536

0.4629

0.4629

0.6409

0.3536

0.4629

0.5345

X

3.875

3.875

3.875

3.75

3.75

2.875

3.875

3.75

3.5

Cv

0.09

0.09

0.09

0.12

0.12

0.22

0.09

0.12

0.15

Valor

3.875

3.875

3.875

3.75

3.75

3

3.875

3.75

3.5

Kexp

3.694

Fuente: Elaboración propia.

Consistencia lógica (CL): Está formado por la una estructura secuenciada de manera lógica, interrelación de aspectos con una consistencia interna.

Parsimonia (Par): La estructuración y su consistencia lógica permiten llevar a cabo un proceso complejo de forma relativamente sencilla, que resulta valioso y motivador.

Flexibilidad (F): Puede ser aplicado, total o parcialmente, a diferentes situaciones según las condiciones concretas de cada organización sea empresarial o presupuestada.

Trascendencia (T): Las acciones, consecuencias de su proceder, tienen una influencia significativa en las organizaciones y su entorno, demandado en los Lineamientos de la Política de Desarrollo Económico y Social del PCC, reafirmado en el VII Congreso del PCC y en el Plan Nacional de Desarrollo Económico y Social Cubano hasta el 2030.

Sistematicidad y mejora continua (S): Permite el mantenimiento de un control y vigilancia sistemática sobre el proceso de mejora, y facilita a la vez un proceso de retroalimentación efectivo que constituye la base para la mejora continua del sistema.

Integral (I): Asume el enfoque sistémico, relacionando todas las partes de la organización en función de los procesos de la organización.

Participativo (Pa): Permite la interacción de los miembros de la organización en la implementación ya que el control interno es llevado a cabo por la dirección y el resto del personal.

Retributivo (R): Contribuye al logro de la satisfacción de las necesidades y expectativas de participación y el perfeccionamiento de la gestión organizacional, además de la contribución a la integración del sistema empresarial.

Permanente (Pe): Considera la implementación del procedimiento general como un proceso de mejora y los elementos relacionados con la retroalimentación.

V. Conclusiones

  1. El procedimiento general diseñado que sustenta el modelo conceptual propuesto, con tres fases, que constituyen una guía para desarrollar el sistema de gestión del Control Interno con un enfoque de procesos, sistémico, multicriterio y un carácter estratégico, contribuyendo a elevar el nivel de implantación de este sistema a través del VEGA, de igual forma el nivel de integración con los procesos, de madurez, la efectividad de su gestión y la mejora de este proceso. Además, es válido prospectivamente cumpliendo con los principios y características.
  2. El modelo matemático multiatributo propuesto permite la implantación y evaluación, permite evaluar los componentes y normas del control interno y materializarlo en los procesos de la organización al identificar los fallos que afectan la satisfacción de la sociedad.
  3. El diseño con enfoque multicriterio del cuadro de mando integral para el control interno, permite medir los resultados de forma sistémica e integrada las cuatro perspectivas con los cincos componentes, demostrando la poderosa combinación de la tripla SCI-CMI-GP. Además de la conformación de un mapa estratégico con relaciones directas e indirectas mediante la lógica difusa sin contradecir el objetivo de las organizaciones con o sin fines lucrativos.
  4. Se verifica prospectivamente la validez del contenido, estructura y comportamiento del procedimiento a través del método de experto propuesto por el autor de la investigación. Se obtiene un coeficiente de validación de 3.694; con lo cual se comprueba que el modelo logra su objetivo de forma segura, por lo que se plantea que el procedimiento general cumple con los requisitos para su aplicación.

Referencias

[1] A. Andujar, J. García y S. Cruz, “Detección de las debilidades del Sistema de Control Interno en Auditoría”, Rev EEA, vol. 14, no. 1, pp. 536, Abr. 2000. Recuperado de https://www.redalyc.org/pdf/301/30114109.pdf

[2] R. Araújo, M. Araújo, F. de Medeiros y G. Barroso, “Modelagem de um sistema de gestãona Educação a Distância no Brasil utilizando redes de Petri Coloridas”, Ingeniare, vol. 23, no. 1, pp. 145158, Jan. 2015. http://dx.doi.org/10.4067/S0718-33052015000100016

[3] I. Beuren y V. Zonatto, “Perfil dos artigos sobre controle interno no setor público em periódicos nacionais e internacionais”, Rev Adm Pública, vol. 48, no. 5, pp. 11351163, Out. 2014. https://dx.doi.org/10.1590/0034-76121527

[4] Y. Bolaños, “Modelo de dirección estratégica basado en la administración de riesgos para la integración del sistema de dirección de la empresa”, Tesis Doctoral, Cujae, HAB, CU, 2014. Disponible en http://catedragc.mes.edu.cu/repositorios/

[5] H. Castellano, J. López y C. Renaud, Caja de Herramientas: Instrumentos y técnicas de planificación, CCS, VE: Cendes, 2010.

[6] S. Castro y J. Cuervo, “Simulación de un proceso productivo en un ambiente de personalización masiva a través de redes de Petri”, Trabajo Grado, Fac Ing, UniValle, CL, CO, 2011. Disponible en http://hdl.handle.net/10893/8098

[7] R. Comas, “Integración de Herramientas de Control de Gestión para el Alineamiento Estratégico en el Sistema Empresarial Cubano. Aplicación en Empresas de Sancti Spiritus”, MSc. Tesis, UMCC, MAT, CUB, 2013. Disponible en http://catedragc.mes.edu.cu/repositorios/

[8] M. Distéfano y S. Pérez, Desarrollo de sistemas concurrentes de control en tiempo real modelados con redes de Petri”, Proy Leonardo, vol. 3, no. 1, pp. 75103, Oct. 2008. http://www.proyectoleonardo.net/files/A1-V3-N1-3-%20El%20uso%20de%20las%20representaciones%20en%20ingenier%C3%ADa.pdf (Consultado el 16 de octubre de 2008).

[9] A. Espino, “Contribución al control de gestión para empresas de campismo popular soportado en una plataforma de cambio”, Tesis Doctoral, UCLV, VC, CU, 2014. Disponible en https://dspace.uclv.edu.cu/

[10] E. Franco, “Guía para la gestión del sistema de control interno en COPEXTEL”, Tesis Máster, UMCC, MAT, CU, 2009. Recuperado de https://www.contraloria.gob.cu/sites/default/files/investigacion/2020-01/Auditor%C3%ADa%20de%20gesti%C3%B3n%20del%20control%20interno.PDF

[11] H. Bal & H. Orkcu, “A new mathematical programming approach to multi-group classification problems”, Comput Oper Res, vol. 38, no. 1, pp. 105111, Jan. 2011. http://dx.doi.org/10.1016/j.cor.2010.04.003

[12] M. Hernández, F. Leal y J. López, “Modelado e implementación de un sistema automático de detección y diagnóstico de fallas basado en Redes de Petri para el proceso hogar en la generación de vapor”, Sci Tech, vol. 18, no. 4, pp. 599605, Dic. 2013. Disponible en https://revistas.utp.edu.co/index.php/revistaciencia/article/view/8305

[13] P. Mallo, M. Artola, M. Galante, M. Pascual, M. Morettini y A. Busetto, “La medición de variables cualitativas en el Balance Scorecard. Un aporte de la lógica difusa”, presentado al Congreso Metropolitano en Ciencias Económicas, CMCE, CABA, AR, 16-18 Nov. 2005. Disponible en http://nulan.mdp.edu.ar/940/

[14] M. Mantrana, “Procedimiento para la aplicación y combinación de la planificación estratégica, la gestión por procesos y el cuadro de mando en el control de gestión. Caso de aplicación”, Tesis Master, UMCC, MAT, CU, 2010. Disponible en http://www.umcc.cu/

[15] A. Morales, J. Rojas, L. Hernández, Á. Morales y M. Jiménez, “Modelo de un sistema de producción esbelto con redes de Petri para apoyar la toma de decisiones”, Ingeniare, vol. 23, no. 2, pp. 182195, Abr. 2015. http://dx.doi.org/10.4067/S0718-33052015000200004

[16] L. Murillo-Soto,Simulación de un sistema de manufactura flexible con redes de Petri coloreadas”, Rev Tecnol Marcha, vol. 23, no. 1, pp. 4762, Mar. 2010. Disponible en https://revistas.tec.ac.cr/index.php/tec_marcha/article/view/133

[17] P. Niven, El cuadro de mando integral paso a paso Maximizar la gestión y mantener resultados. NY, USA: John Wiley & Sons, 2002.

[18] A. Ortiz, “Tecnología para la gestión integrada de los procesos en universidades. Aplicación en la Universidad de Holguín”, Tesis Doctorado, UHO, HOG, CU, 2014. Disponible en http://catedragc.mes.edu.cu/repositorios/

[19] C. Plasencia, “El Sistema de Control Interno: garantía del logro de los objetivos”, MEDISAN, vol. 14, no. 5, pp. 15, Jul. 2010. Recuperado de http://scielo.sld.cu/pdf/san/v14n5/san01510.pdf

[20] N. Quinaluisa, V. Ponce, S. Muñoz, X. Ortega y J. Pérez, “El control interno y sus herramientas de aplicación entre COSO y COCO”, Cofin Hab, vol. 12, no. 1, pp. 268283, May. 2018. Recuperado de http://scielo.sld.cu/pdf/cofin/v12n1/cofin18118.pdf

[21] H. Cabrera, A. Medina-León, J. Abab-Puente, D. Nogueira-Rivera, O. Sánchez-Díaz y Q. Nuñez-Chaviano, “Procedimiento para la identificación y evaluación de las oportunidades de mejora: medición de la factibilidad e impacto”, II, vol. 37, no. 1, pp. 104111, Abr. 2016. Disponible en https://rii.cujae.edu.cu/index.php/revistaind/article/view/762

[22] S. Sánchez, A. Herrera, y R. Rovetto, “Análisis y modelamiento del Canal de Panamá a través de las redes de Petri”, presentado al 7th Euro American Conference on Telematics and Information Systems, EATIS, Valpo, CL, 2014. https://doi.org/10.1145/2590651.2590667

[23] R. H. Soler, “Procedimiento para la implementación del Balanced Scorecard como modelo de gestión en las empresas cubanas”, Tesis Doctoral, UCf, CS, CU, 2009. Disponible en http://catedragc.mes.edu.cu/repositorios/

[24] D. Streimikiene, J. Sliogeriene & Z. Turskis, “Multi-criteria analysis of electricity generation technologies in Lithuania”, Renew Energy, vol. 85, pp. 148156, Jan. 2016. http://dx.doi.org/10.1016/j.renene.2015.06.032

[25] N. Favretto, L. Stringer, A. Dougill, M. Dallimer, J. Perkins, S. Reed, J. Athlopheng & K. Mulale, “Multi-Criteria Decision Analysis to identify dryland ecosystem service trade-offs under different rangeland land uses”, Ecosyst Serv, vol. 17, pp. 142151, Feb. 2016. http://dx.doi.org/10.1016/j.ecoser.2015.12.005

[26] W. Tsai, Y. Chang, S. Lin, H. Chen & P. Chu, “A green approach to the weight reduction of aircraft cabins”, J Air Transp Manag, vol. 40, pp. 6577. Aug. 2014. http://dx.doi.org/10.1016/j.jairtraman.2014.06.004

[27] W. Tsai, H. Chen, J. Leu, Y. Chang & T. Lin, “A product-mix decision model using green manufacturing technologies under activity-based costing”, J Clean Prod, vol. 57, pp. 178187. Oct. 2013. http://dx.doi.org/10.1016/j.jclepro.2013.04.011

[28] L. Vega, Y. Lao y A. Nieves, “Propuesta de un índice para evaluar la gestión del control interno en entidades hospitalarias”, Cont Adm, vol. 62, pp. 683698, Dic. 2017. http://dx.doi.org/10.1016/j.cya.2017.01.004

[29] L. Vega y A. Nieves, “Control de gestión y control interno: binomio indisoluble en la dirección”, Espacios, vol. 37, no. 12, pp. 5068, Feb. 2016. Disponible en www.revistaespacios.com/a16v37n12/16371225.html

[30] L. Vega, “Procedimiento con enfoque multicriterio para la gestión de riesgos. Caso Hospital “Vladimir Ilich Lenin” de Holguín”, Tesis de Master, UHO, HOG, CUB, 2017.

[31] L. Vega, M. Torres & I. Tapia, “Evaluation of Control Activities through Diffuse Compensatory Logic in a Hospital Entity,” presented at International Conference on Industrial Engineering and Operations Management, IEOM, PAR, FR, 2018. Recuperado de www.ieomsociety.org/paris2018/papers/333.pdf

[32] T. Saaty, Multicriteria decision Making: The analytic hierarchy process. NY, USA: McGraw Hill, 1980.

[33] M. Pérez, “Contribución al Control de Gestión en elementos de la Cadena de Suministro. Modelo y procedimientos para organizaciones comercializadoras”, Tesis doctoral, Depto Ing Ind, UCLV, VC, CU, 2005.

[L1] Resolución 297/2003, 23 de septiembre de 2003, Definiciones del control interno, el contenido de sus componentes y normas, Ministerio de Finanzas y Precios de la República de Cuba, Gaceta Oficial No. 21 Extraordinaria. Disponible en https://www.gacetaoficial.gob.cu/es/resolucion-117-de-2011-de-ministerio-de-finanzas-y-precios

[L2] Resolución 60/2011, 3 de marzo de 2011, Normas del Sistema de Control Interno, Contraloría General de la República de Cuba, Gaceta Oficial No. 013. Disponible en https://www.gacetaoficial.gob.cu/es/resolucion-60-de-2011-de-contraloria-general-de-la-republica

Leudis Orlando Vega de la Cruz. Doctor en Ciencias Técnicas de la Universidad de Holguín (Cuba). Máster en Matemáticas Aplicada e Informática para la Administración de la Universidad de Holguín, graduado de Ingeniería Industrial en la misma institución. Actualmente se desempeña como profesor titular en el departamento de Ingeniería Industrial en la facultad de Ingeniería Industrial de la Universidad de Holguín. Sus intereses investigativos incluyen el Control Interno, la Estadística Inferencial y la Investigación de Operaciones. https://orcid.org/0000-0001-7758-2561

Fernando Marrero Delgado. Doctor en Ciencias Técnicas de la Universidad Central Marta Abreu de las Villas (Villa Clara, Cuba). Máster en Ingeniería Industrial, graduado de Ingeniería Industrial en la misma institución. Actualmente se desempeña como profesor titular en el departamento de Recursos Humanos en la Universidad de Villa Clara “Marta Abreu” (Cuba). Sus intereses investigativos incluyen la logística empresaria, los recursos humanos y la Investigación de Operaciones. https://orcid.org/0000-0002-5470-2572

Milagros Caridad Pérez Pravia. Doctora en Ciencias Técnicas de la Universidad de Holguín (Cuba). Máster en Matemática Aplicada e Informática para la Administración de la Universidad de Holguín, graduado de Ingeniería Industrial en la misma institución. Actualmente se desempeña como profesor titular y Vicerrectora de la Universidad de Holguín. Sus intereses investigativos incluyen las restricciones físicas, la logística empresarial y la evaluación del desempeño. https://orcid.org/0000-0002-3062-5939


1 Referidas como tareas en la investigación.

2 Los fallos en las tareas son las manifestaciones de los riesgos existentes y, aquellas actividades en las que se evidencias un número inaceptable de fallos serán los puntos críticos de control.

3 Su nombre, por ser un valor que permite la evaluación general de la administración del sistema del control interno. Además, su sigla forma parte del nombre del autor de esta investigación.

4 Se acepta que las entidades reconozcan las actividades de los componentes, entradas, salidas, relación con el resto de los procesos, que persista este enfoque aunque no se tenga elaborado el manual de los procesos.

5 Se adaptaron las escalas a un 75% de cumplimiento como umbral de medición.

6 Los indicadores de Índice de cumplimiento de la Eficacia y la Eficiencia tendrán la misma escala del cumplimiento de los objetivos

7 El cumplimiento por proceso y por componente tendrán la misma escala del indicador general.

8 Los expertos son profesionales de alta experticia tanto en el entorno académico y como en la práctica organizacional, con enfoque en el área de dirección.