Simulación de la pasteurización de la cerveza considerando el efecto del envase de vidrio, utilizando dinámica de fluidos computacional

Simulating beer pasteurization by considering the effect of glass container by using computational fluid dynamics

DOI: http://doi.org/10.17981/ingecuc.17.1.2021.02

Artículo de Investigación Científica. Fecha de Recepción: 14/08/2020. Fecha de Aceptación: 13/10/2020.

Misdelki Pérez Colas

Universidad de Camagüey. Camagüey (Cuba)

misdelkis.perez@reduc.edu.cu

Martha Faustina Nápoles García

Universidad de Camagüey. Camagüey (Cuba)

martha.napoles@reduc.edu.cu

María de Lourdes de la Cruz Aragoneses

Universidad de Camagüey. Camagüey (Cuba)

maria.delacruz@reduc.edu.cu

Para citar este artículo:

M. Pérez Colas, M. Nápoles García & M. De la Cruz, “Aragoneses Simulación de la pasteurización de la cerveza considerando el efecto del envase de vidrio, utilizando dinámica de fluidos computacional”, INGE CUC, vol. 17, no. 1, pp. 15–27. DOI: http://doi.org/10.17981/ingecuc.17.1.2021.02

Resumen

Introducción La simulación del proceso de pasteurización de la cerveza embotellada, considerando el sistema cerveza-CO2-vidrio, permite obtener resultados más reales sobre el comportamiento de la convección libre.

Objetivo El objetivo del presente trabajo es analizar el efecto del envase sobre los resultados de los perfiles de velocidad, temperatura y en las unidades de pasteurización en las zonas de calentamiento inicial, pasteurización y enfriamiento final.

Metodología Se emplea la dinámica de fluidos computacional con el software COMSOL Multiphisics V 5.1.

Resultados Se obtienen diferentes comportamientos en los perfiles de velocidad y temperatura de la cerveza, por la reducción del tiempo de intercambio efectivo entre la cerveza y el agua, porque el vidrio debe alcanzar la estabilidad térmica, provocando incrementos de la fuerza impulsora y reducción del tiempo de retención de la temperatura que garantiza la letalidad microbiana.

Conclusiones Los valores de las unidades de pasteurización a la salida son más elevados que lo recomendado comprometiendo las propiedades organolépticas de la cerveza.

Palabras clave Pasteurización; cerveza; convección libre; dinámica de fluidos computacional; unidades de pasteurización

Abstract

Introduction The simulation of the pasteurization process of bottled beer, considering the beer-CO2-glass system, allows obtaining more real results of the behavior of free convection.

Objective The objective of the work is to analyze the influence of the container, comparing the results of the profiles of speed and temperature and of the pasteurization units in the zones of initial heating, pasteurization and final cooling, without and with the consideration of transfer heat through the glass.

Methodology Computational fluid dynamics is used with COMSOL Multiphisics V 5.1 software.

Results Different behaviors are obtained in the speed and temperature profiles of the beer, due to the reduction of the effective exchange time between the beer and the water, because the glass must reach thermal stability, causing increases in the driving force and reduction of the temperature retention time that guarantees microbial lethality.

Conclusions The values of the pasteurization units at the outlet are higher than recommended, compromising the organoleptic properties of the beer.

Keywords Pasteurization; beer; free convection; computational fluid dynamics; pasteurization units

I. Introducción

La pasteurización de la cerveza ha sido estudiada por varios autores, partiendo de la unidad básica de este proceso que es la botella. Al estudiar la transferencia de calor en el interior del envase la temperatura no es uniforme en todo el recipiente, debido al mecanismo de convección libre que se desarrolla, lo cual influye en las unidades de pasteurización, las que toman diferentes valores pues están en función de la posición [1]. Otros estudios, analizan el efecto que tiene la presión dinámica del CO2 sobre la distribución de velocidades y la temperatura de la cerveza en dicho proceso, provocando una variación de estas variables, en la interfase gas líquido [2].

La convección natural es el mecanismo de transferencia de calor predominante, debido a que la variación de la velocidad de la cerveza, es decir el movimiento del fluido líquido en el interior de la botella, es provocada por la diferencia de temperatura, generándose un gradiente de temperatura en el seno de la cerveza [1], [3], [4]. La conducción del calor es a través del vidrio, el cual recibe la energía contenida en el agua que cae sobre las paredes del envase por convección forzada.

Los modelos implicados en el estudio del proceso que ocurre en el interior de la botella durante su pasteurización en un túnel, son los correspondientes al estado no estacionario, siendo estos la ecuación de continuidad, el balance de cantidad de movimiento y el balance de energía, todos desarrollados en las direcciones axial y radial. Estas ecuaciones diferenciales parciales se han resuelto mediante el método de los elementos finitos, aplicando la Dinámica de Fluidos Computacional (CFD por sus siglas en inglés Computational Fluid Dynamic), utilizando el software profesional COMSOL muttiphisics Hoffman [5], [6], [7], [8].

La modelación y simulación utilizando CFD, ha sido empleada en los últimos tiempos como herramientas para estudios en diferentes procesos [9], [10]. Las investigaciones relacionadas con la pasteurización cervecera utilizando CFD han permitido la evaluación del proceso de pasteurización mediante análisis energético, además se ha observado el efecto de la ubicación del envase, demostrándose que esta no altera la eficiencia del mismo [11], [12].

Otros estudios cinéticos sobre el proceso de pasteurización recomiendan considerar el ajuste adecuado de los tiempos y las temperaturas, para garantizar la letalidad de los micro­organismos patógenos termo resistentes, la calidad del producto final y su vida útil, esta última puede verse afectada durante el almacenamiento de la cerveza donde se producen diferentes reacciones químicas que dan lugar a los llamados compuestos de envejecimiento que deterioran el sabor [13], [14], [15], [16].

En ciertas investigaciones [17], se realizó la simulación y optimización del proceso de pasteurización para un túnel de dos niveles, analizando los problemas más comunes en este tipo de equipo, utilizando modelos macroscópicos.

Otros investigadores [18], utilizando el CFD, simularon un pasteurizador de túnel analizando el comportamiento de las zonas más lentas de calentamiento y las UP utilizando modelo empíricos para la conductividad térmica y la capacidad calorífica.

Además, también se ha analizado la influencia de la temperatura de entrada de la cerveza al pasteurizador, considerando fluido bifásico y utilizando también CFD [7]. Concluyendo que temperaturas de entrada entre 10oC y 20oC provocan un incremento en las Unidades de Pasteurización (UP), indicador que permite medir el nivel de pasteurización de la cerveza y físicamente representa la acción microbiológica letal a 60ºC en un minuto, por encima de lo recomendado (superiores a 30 UP), lo que afecta a la formación de espuma y al sabor [19]. También se ha estudiado el calentamiento y el enfriamiento de la botella durante el proceso de pasteurización utilizando también CFD [8]. En el primer caso la estabilidad térmica de la botella se alcanza a los 60 segundos mientras que en el enfriamiento esto se logra a los 100 s, lo que tiene influencia en la transferencia de calor que se desarrolla durante la pasteurización.

Los trabajos realizados hasta el momento se han basado en el uso del CFD para estudiar el comportamiento de la convección libre en la cerveza pero sin la integración de la transferencia de calor entre la cerveza, el CO2 y el vidrio lo cual reportaría resultados más reales en los perfiles de velocidad y temperatura y en las UP. Dada la problemática referida anteriormente se define como objetivo de este trabajo analizar el efecto del envase sobre los resultados de los perfiles de velocidad y temperatura y en las unidades de pasteurización en las zonas de calentamiento inicial, pasteurización y enfriamiento final, a través de la simulación con CDF y comparando los resultados sin y con la presencia del vidrio, para su consideración en futuros estudios de reconversión.

II. Metodología

A. Descripción del proceso estudiado

El proceso que se estudió es el de pasteurización de la cerveza envasada en botellas de vidrio, específicamente el sistema sólido-fluido bifásico, es decir, vidrio-cerveza-CO2, haciendo énfasis en la cerveza. Se tomaron como condiciones del proceso su desarrollo dentro de un pasteurizador tipo túnel, donde las botellas llenas reciben un flujo de agua a diferentes temperaturas de 30ºC, 40ºC, 50ºC, 60ºC y 64ºC, al pasar por zonas de calentamiento, prepasteurización y pasteurización y posteriormente por zonas de enfriamiento donde las temperaturas del agua de riego son de 50ºC, 40ºC y 30 ºC. La cerveza contenida en la botella debe alcanzar en todo su interior una temperatura de pasteurización de 60ºC, al recibir agua a 65ºC y permanecer durante 10 minutos en esa zona, para garantizar las UP necesarias [5], [13], [14]. En la Fig. 1 se muestra un esquema del proceso.

Fig. 1. Esquema de un pasteurizador de túnel para botellas de cerveza.
Fuente: Autores.

B. Método de investigación utilizado

El trabajo investigativo se basa en una simulación computacional usando valores experimentales empleando el software profesional COMSOL Multiphysics, como procedimiento para obtener información sobre el comportamiento del sistema sólido-fluidos, permitiendo el análisis del comportamiento de los perfiles de velocidad y de temperatura en las etapas de calentamiento inicial, pasteurización y enfriamiento final, así como de las unidades de pasteurización [20].

C. Formulación del problema

Para formular el problema se plantean las ecuaciones representativas del transporte de cantidad de movimiento y energía, entre los fluidos y en el sólido, así como las condiciones límites.

1) Ecuaciones de transporte que gobiernan

Para el fluido bifásico, las ecuaciones que gobiernan el comportamiento del calentamiento y/o enfriamiento de la cerveza por convección libre y conducción, requiere de la aplicación de la ecuación de continuidad, de los balances de cantidad de movimiento y del balance de energía [1], [2], [5], [12]. Considerando simetría axial, las ecuaciones se desarrollan en la dirección axial y radial como se observa en la Fig. 2.

Fig. 2. Ejes de coordenadas cilíndricas, dirección axial (z) y radial (r)
Fuente: Autores.

• Ecuación de continuidad (1).

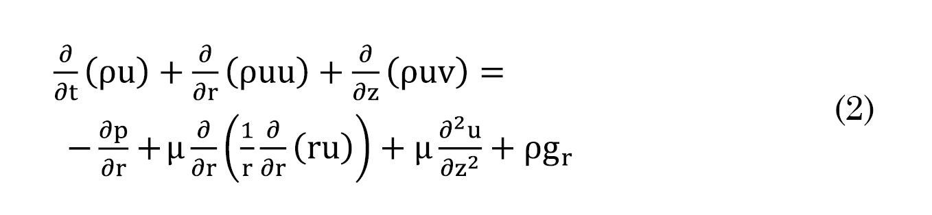
• Balance de cantidad de movimiento en la dirección radial (2).

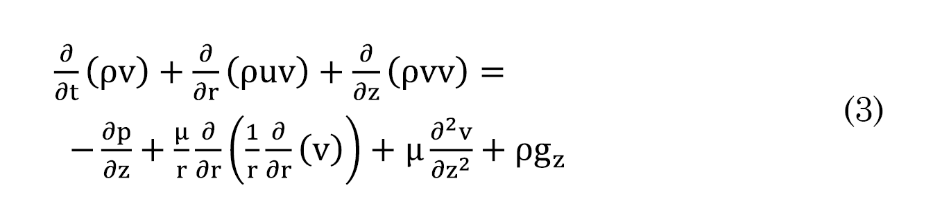
• Balance de cantidad de movimiento en la dirección axial (3).

• Balance de energía (4).

Donde: ρ es la densidad en kg/m3, μ es la viscosidad dinámica en Pa.s, cp es la capacidad calorífica en J/kg K, k es la conductividad térmica del fluido en W/m K, u es la velocidad radial, v la velocidad axial, ambas en m/s; t es el tiempo en segundos y T la temperatura K.

Se trabajó con las condiciones límites y consideraciones que se describen a continuación [12], [1], [2].

2) Condiciones límites

Condiciones iniciales: a t = 0 (entrada al pasteurizador), u = v = 0 y T = T0 (condiciones de Dirichlet); u y v son las velocidades en las direcciones axial y radial.

Condiciones de borde: u = v = 0 en las paredes, tope y fondo de la botella, considerada como condición de no deslizamiento (condición de Dirichlet) y máxima en el centro (condición de Newman). La temperatura en la pared interior es el valor alcanzado por la condición de Newman, representada (5):

Donde: k es la conductividad térmica del material en W/m K; h es el coeficiente de transporte convectivo del agua de calentamiento/enfriamiento en W/m2 K; T es la temperatura del agua en K; la temperatura del tope y fondo se toma como una condición de Newman, pero como aislante térmico, o sea (6):

Consideraciones:

Con las condiciones límites siguientes:

Condiciones iniciales:

Para el calentamiento: (t = 0 s, T = 5°C = 278 K)

Para el enfriamiento: (t = 0 s, T = 60°C = 333 K)

Condiciones de contorno: Estas condiciones son de tipo Newman según (8) [5], [1].

Consideraciones:

3) Método de los Elementos Finitos

La simulación se realizó usando el software COMSOL Multiphysics V 5.1, seleccionando la geometría en eje 2D axisimétrico, para una botella de 0.239 m de altura total y 0.013 m de radio, considerando el nivel del líquido y límite de la interfase gas-líquido a un altura de 0.15 m, dimensiones que se pueden observar en la Fig. 3.

Fig. 3. Dimensiones de la botella.
Fuente: Autores.

Una malla controlada físicamente, de tamaño de elemento normal en todos los dominios de estudio. El método de elementos finitos se empleó para resolver las ecuaciones de gobierno. La simulación del proceso térmico se lleva a cabo para las todas las zonas de acuerdo con su combinación de tiempo y temperatura. Fue establecida la multifísica, término establecido por el software COMSOL al referirse a la interacción del transporte combinado de cantidad de movimiento y de energía, en este caso para un fluido no isotérmico.

Se plantea que la independencia de la malla radica en encontrar un mallado que compense los costos computacionales y la precisión [22], [23]. Para una geometría similar trabajando un método de refinación normal se alcanza una independencia adecuada, por lo que se trabajó con los siguientes parámetros de la malla [5]:

Tamaño máximo de elementos: 0.00192

Máximo factor de escala del elemento: 0.25

Razón de crecimiento del elemento: 1.2

Factor de curvatura: 0.4

Corte de curvatura de la malla: 0.001

Resolución de las regiones estrechas: 1

Método de refinación: Normal

La malla es de 6 541 elementos de dominio y 431 elementos de contorno.

A partir de lo referido con anterioridad se obtuvieron resultados de la influencia del vidrio en la zona de calentamiento inicial, en la zona de pasteurización y en la zona de enfriamiento final, para analizar si existe desviación significativa.

III. Resultados

Los tiempos en cada zona están definidos por el diseño del equipo que se estudia. Las zonas de calentamiento inicial y de enfriamiento final, tienen una duración de 4.5 minutos. Para ellas, se obtienen los gráficos de los perfiles de velocidad y de temperatura a los 2 minutos y los 4.5 minutos (fin de la zona). La zona de pasteurización dura 10 minutos. Se obtuvieron gráficos desde el tiempo inicial de la zona, a intervalos de 2 minutos, hasta los 10 minutos. En todos los casos se simularon dos situaciones, primero sin la consideración del vidrio y luego con la influencia de este. Aunque es evidente que la baja conductividad térmica del vidrio hace que el intercambio de calor sea muy bajo radialmente, se simula considerando el vidrio para mostrar la influencia que tiene sobre la temperatura y la velocidad de la cerveza, no considerar su tiempo de calentamiento durante el proceso.

En la Fig. 4 y Fig. 5 se muestra un ejemplo de los gráficos que ofrece el software para los perfiles de velocidad y de temperatura, cuando han transcurrido 2 minutos y 4.5 minutos respectivamente, que corresponden a un tiempo intermedio y al momento final de la zona de calentamiento inicial.

Fig. 4. Perfiles de velocidad y temperatura a los 2 minutos de comenzado el proceso (120 minutos).
Fuente: Autores.
Fig. 5. Perfiles de velocidad y temperatura, transcurridos los 4.5 minutos del proceso (270 minutos).
Fuente: Autores.

A. Etapa de calentamiento inicial

En la Fig. 4 se observa que no hay coincidencia en los perfiles ni de velocidad ni de temperatura, transcurridos los dos primeros minutos. La velocidad en ambos se encuentra en el intervalo de 0 – 2.10–2 m/s y la temperatura está entre 278 y 300 K.

La Fig. 5 representa el comportamiento al finalizar la etapa. Los perfiles de velocidad son también diferentes alcanzándose los valores mayores al considerar el vidrio, a partir de la posición 0.06 m, llegando a 1.2 . 10–2 m/s. En el caso de las temperaturas se aprecia estabilidad total sin el vidrio mientras que con el vidrio existen elementos hacia el centro y el fondo de la botella con temperaturas en el entorno de 295 K.

Se grafican además diferentes puntos del eje central, debido a que varios autores refieren los análisis basados en el centro geométrico de la botella [12], [1], [2], y en el punto frío, en el que debido al movimiento convectivo de la cerveza tanto en el calentamiento como durante el enfriamiento, se alcanzan las temperaturas más bajas [24], [13]. El eje central incluye el centro geométrico de la botella, el que se encuentra a una altura de 0.1195 m, tomándose para el análisis la posición 0.12 m mientras que el punto frío está a 0.015 m.

La Fig. 6a representa el comportamiento de los perfiles de velocidad en diferentes posiciones del eje central a los 2 minutos y a los 4.5 minutos sin y con la consideración del vidrio. Al comparar las curvas correspondientes a los 2 minutos, se observan las velocidades más bajas en las posiciones superiores de 0.08 m a 0.15 m, con un patrón más irregular cuando se considera el vidrio, lo que se corresponde con los perfiles de la Fig. 2, debido a que en ese tiempo la fuerza impulsora (diferencia entre la temperatura del agua de calentamiento y la temperatura de la cerveza) es mayor, pues durante el primer minuto no hay intercambio en el fluido ya que en ese tiempo el vidrio alcanza la estabilidad térmica, no existiendo intercambio efectivo para la cerveza durante el mismo [8]. A los 4.5 minutos, salida de esa etapa, los valores de velocidad son más altos sin la consideración del vidrio que con él, para las posiciones 0.02 m y 0.04 m. Este comportamiento se invierte para las posiciones 0.06 m a 0.15 m. Los valores de velocidades obtenidos están en el orden reportado [2], [5].

Fig. 6. Comportamiento de los perfiles de velocidad y temperatura en la zona de calentamiento inicial (s/v- sin consideración del vidrio, c/v- considerando el vidrio) en el eje central.
Fuente: Autores.

En la Fig. 6b se observan los perfiles de temperatura. A los 2 minutos sin la consideración del vidrio se observa un incremento de la temperatura gradual, existiendo una correspondencia con la Fig. 2 donde se aprecia un perfil de velocidad menos desordenado, con una estabilidad a partir de 0.06 m. En el caso de la consideración del vidrio se observa un comportamiento similar, pero con valores de temperatura más bajos a lo largo del eje, ya que en este segundo minuto se considera el tiempo de calentamiento del vidrio por tanto este tiempo no es aprovechado en el calentamiento de la cerveza [8]. A los 4.5 minutos se observa una estabilidad a partir de la posición 0.1 m, debido por una parte a que se encuentra cercana a la interfase con el gas [2] y por otra a que la fuerza impulsora para este tiempo es mayor al considerar el vidrio que sin él, haciendo más efectiva la transferencia de calor por convección libre [25], [26], [3], [4]. En las posiciones más bajas el comportamiento es diferente con vidrio, alcanzándose valores menores de temperatura [5].

Lo anterior también se ve influenciado porque en las diferentes posiciones del eje central del envase se observan oscilaciones de la temperatura y la velocidad (aumentan o disminuyen), lo cual es debido al propio movimiento del fluido, provocado por la convección libre inducida por la fuerza impulsora cambiante tanto en el tiempo como en la posición. Así, pueden existir elementos a una temperatura más elevada que sean conducidos a esa posición en ese instante de tiempo correspondiéndose a una velocidad mayor o menor [5], [12].

B. Etapa de pasteurización

La Fig. 7 y Fig. 8 presentan los perfiles de velocidad y temperatura de la zona de pasteurización, que es la más extensa y las temperaturas son las más elevadas, donde se quiere que ocurra la letalidad, aquí la fuerza impulsora es mínima por lo que debe alcanzarse la estabilidad térmica pero no se anulan las velocidades al terminar la etapa.

El minuto cero corresponde a la salida de la etapa previa, pre-pasteurización que coincide con la entrada a esta etapa. Sin considerar el vidrio (Fig. 7a), en el minuto 2 se observa para las posiciones más bajas, valores de velocidad más elevados. Hay una tendencia en ambos casos a la disminución de la velocidad a partir de la posición 0.08 m, siendo más notable con la consideración del vidrio (Fig. 7b).

Fig. 7. Comportamiento de los perfiles de velocidad en la zona de pasteurización (s/v- sin consideración del vidrio, c/v- considerando el vidrio) en el eje central, para diferentes tiempos
Fuente: Autores.
Fig. 8. Comportamiento de los perfiles de temperatura en la zona de pasteurización (s/v- sin consideración del vidrio, c/v- considerando el vidrio) en el eje central, para diferentes tiempos
Fuente: Autores.

En la Fig. 8a se observa que en el minuto 0, de entrada a la zona (y salida de la pre pasteurización) una estabilidad de la temperatura entre 332 y 333 K, luego en el minuto 2 se aprecia otro comportamiento caracterizado por un incremento notable de esta a partir de la posición 0.6. La temperatura para lograr las UP adecuadas se alcanza a partir del minuto 4 y de manera estable, estando esta entre 336 K y 337 K, siendo mayor el tiempo que permanecen en esta condición cuando no se considera el vidrio, lo que garantiza la letalidad [1], [11], [6], [27]. En la Fig. 8b, considerando el vidrio, puede apreciarse que en la entrada a la zona, correspondiente al minuto 0, las temperaturas son superiores comparándolas con las mismas condiciones sin vidrio, debido a que cada vez que la botella entra a una nueva zona, ya no hay equilibrio térmico para el vidrio, alcanzándolo durante los primeros segundos, no siendo efectiva la transferencia de calor para la cerveza [8]. Nuevamente ese efecto provoca que exista una diferencia de temperatura mayor entre la cerveza y el agua de calentamiento, incrementándose la velocidad y con ella la transferencia de calor convectiva [3], [4], [25], [26]. En los minutos 2 y 4 se observan patrones semejantes con el incremento de la temperatura a partir de la posición 0.4 m. A partir del minuto 6 se observa una estabilidad similar a lo que ocurre sin la consideración del vidrio, siendo más estable en los minutos 8 y 10. El resultado considerando el vidrio se acerca más a la realidad pues toma en cuenta el tiempo de calentamiento del mismo.

Se observa también que en el punto frío (posición 0.015 m) el comportamiento es similar a lo reportado [13], [24], con valores más bajos tanto de velocidad como de temperatura. En el centro geométrico ubicado a 0.12 m del fondo las velocidades tienden a ser más bajas, similares a las de la posición 0.15 m coincidiendo con la interfase gas-líquido. Las temperaturas en los minutos iniciales considerando el vidrio y sin tener en cuenta el vidrio, exhiben valores más bajos que se incrementan y estabilizan en los minutos finales de la zona.

En la Fig. 9 se analiza el comportamiento de las UP, que permiten valorar la efectividad de la pasteurización.

Fig. 9. Comportamiento de las unidades de pasteurización en la zona de pasteurización (s/v- sin consideración del vidrio, c/v- considerando el vidrio) en el eje central, para diferentes tiempos.
Fuente: Autores.

Las unidades de pasteurización para alcanzar la letalidad deben estar entre 15 y 30 durante los 10 minutos de la etapa [11], [6], [27]. Se puede observar en la Fig. 9a y Fig. 9b, que a partir del minuto 6 se alcanzan esos valores. En ambos casos se observan valores superiores a 30, lo que afecta la calidad de la cerveza, básicamente en la formación de espuma y en el sabor [13], [14], [19].

De lo anterior se concluye que en el proceso real debe realizarse un estudio de vida útil, que permita validar estos resultados.

C. Etapa de enfriamiento final

En el caso del enfriamiento del vidrio, la estabilidad térmica se alcanza a los 100 segundos, bajo las condiciones de la salida de la pasteurización [8]. Las tres etapas de enfriamiento, posterior a la pasteurización tienen una duración de 4.5 minutos cada una. De ese tiempo, todo no se utiliza para enfriar la cerveza, por tanto no hay aprovechamiento térmico mientras que el vidrio se enfría. Una vez que esto ocurre la fuerza impulsora es mayor a partir de los 100 segundos que cuando no se considera el vidrio, lo que provoca las velocidades más elevadas (Fig. 10a). El minuto cero corresponde a la salida de la penúltima etapa de enfriamiento y entrada a la última. Se puede observar que sin la consideración del vidrio existe una estabilidad de la velocidad para el eje central, estando la misma entre 0.001 m/s y 0.01 m/s. Las velocidades para el tiempo cero considerando el vidrio, son superiores que cuando no se considera el mismo. Tomando en cuenta lo señalado con anterioridad hay que añadir que el patrón previo tanto de velocidad como de temperatura es diferente en cada caso. Lo mismo se observa en el minuto 2, donde el comportamiento es semejante pero las velocidades considerando el vidrio han disminuido. En el tiempo 4.5 minutos, fin del proceso, la velocidad ha disminuido considerablemente, estando los valores más bajos de 0 m a 0.08 m y los más altos a partir de esta posición, pero observándose una tendencia significativa hacia la estabilidad. Analizando el comportamiento de la temperatura, a partir de la posición 0.1 m. En ambos casos se observa un aumento, desde 305 K a 330 K, alcanzándose los valores más altos sin la consideración del vidrio. La influencia de la fuerza impulsora mayor que existe considerando el vidrio se manifiesta nuevamente y es lo que provoca mayor transferencia de calor y valores menores en la temperatura. Al minuto dos, los comportamientos son semejantes, menos en la posición 0.6 m. al finalizar la etapa la temperatura se mantiene ese desempeño, alcanzándose los valores más elevados en las posiciones 0.12 m a 0.15 m, con valores de 308 K a 320 K [2].

Fig. 10. Comportamiento de perfiles de velocidad y de temperatura en la última zona de enfriamiento (s/v- sin consideración del vidrio, c/v- considerando el vidrio) en el eje central, para diferentes tiempos.
Fuente: Autores.

IV. Conclusiones

La consideración del efecto del envase de vidrio al simular el proceso de pasteurización de la cerveza embotellada demuestra que existen comportamientos diferentes en los perfiles de velocidad y de temperatura, así como en las UP, influyendo el tiempo transcurrido durante el calentamiento y enfriamiento en la estabilidad térmica del envase, provocando que durante el mismo la transferencia de calor entre el agua y la cerveza sea nula en un primer momento y muy baja hasta que se alcanza la estabilidad térmica. Eso también causa un incremento de la fuerza impulsora a partir de que se logre la estabilidad térmica del vidrio, que se aprecia en el aumento de la velocidad y de la temperatura. Lo anterior se observó en las 3 zonas analizadas.

Esa diferencia en los perfiles se refleja en las UP calculadas durante la pasteurización, observándose que la acción efectiva y sostenida de la temperatura durante los 10 minutos no se logra en ninguna de las dos condiciones analizadas, sin y con la consideración del vidrio, siendo menor el intervalo de tiempo al considerar la transferencia de calor en el envase, lo que puede afectar la letalidad microbiana.

A la salida del túnel, fin de la última etapa de enfriamiento y de todo el proceso, la temperatura no es uniforme, observándose los valores más altos desde 0.12 m a 0.15 m, aspecto que puede afectar la durabilidad organoléptica de la cerveza.

Financiamiento

Artículo de investigación científica derivado del proyecto de investigación: Reconversión de los procesos termo energéticos en caliente, de la Empresa Cervecera “Tínima”, en Camagüey, Cuba, financiado por Empresa Cervecera “Tínima”, en Camagüey, Cuba. Año de inicio: 2019, año de finalización: 2021.

Referencias

[1] L. A. Patiño, H. Espinoza, & O. Velásquez, “Estudio numérico de la transferencia de calor en la cerveza en el proceso de pasteurización,” Rev Cs Ing, vol. 22, no. 3, pp. 1925, 2001. Available: http://erevistas.saber.ula.ve/index.php/cienciaeingenieria/article/view/432

[2] L. A. Patiño, H. Espinoza, M. Collado & O. Velásquez, “Estudio del efecto de la presión dinámica de CO2 sobre la distribución de velocidades y temperatura de la cerveza en el proceso de pasteurización,” Saber, vol. 17, no. 1, pp. 4147, 2005. Available: https://www.redalyc.org/pdf/4277/427739426006.pdf

[3] L. Jiji, Heat convection. Ge: Springer-Verlag Berlin Heidelberg, 2006. Available: https://www.twirpx.com/file/1133919/

[4] E. Cao, Heat transfer in process engineering. NY, USA: McGraw-Hill, 2010. Available: https://www.technicalbookspdf.com/heat-transfer-in-process-engineering-by-eduardo-cao/

[5] K. Hoffman, “Beer pasteurization models,” Thesis MS, Informat Mathem Model. DTU, KL, DK, 2006. Available: http://www2.imm.dtu.dk/pubdb/edoc/imm4480.pdf

[6] S. K. Fasogbon & O. E. Oguegbu, “Modelling heat transfer characteristics in the pasteurization process of medium long necked bottled beers,” Eur J Engr Technol, vol. 7, no. 3, pp. 2139, 2019. Available from http://www.idpublications.org/wp-content/uploads/2019/03/Full-Paper-MODELLING-HEAT-TRANSFER-http:/www.idpublications.org/wp-content/uploads/2019/03/Full-Paper-MODELLING-HEAT-TRANSFER-CHARACTERISTICS-IN-THE-PASTEURIZATION-PROCESS-OF-MEDIUM-LONG.pdf

[7] M. F. Nápoles, M. Pérez & M. L. De la Cruz, “Modelación matemática de la pasteurización de la cerveza utilizando dinámica de fluidos computacional,” Centro Azúcar, vol. 47, no. 1, pp. 6776, 2020. Available: http://centroazucar.uclv.edu.cu/index.php/centro_azucar/article/view/170

[8] M. Pérez, M. F. Nápoles & M. L. De la Cruz, “Estudio del efecto del calentamiento y el enfriamiento de la botella durante la pasteurización de la cerveza,” Centro Azúcar, vol. 47, no. 2, pp. 3241,2020.Available: http://centroazucar.uclv.edu.cu/index.php/centro_azucar/article/view/197

[9] C. Fontalvo, R. Pineda & J. Duarte , “Optimización energética de bombas centrífugas a través de un análisis paramétrico en CFD y modelos de pérdida de energía,” INGE CUC, vol. 16, no. 1, pp. 121,2020. https://doi.org/10.17981/ingecuc.16.1.2020.01

[10] A. J. Benitez, C. A. Vargas & W. Montealegre, “Simulación de moldeo por inyección basado en el método de volúmenes finitos (FVM),” INGE CUC , vol. 16, no. 2, pp. 111, 2020. https://doi.org/10.17981/ingecuc.16.2.2020.08

[11] E. Dilay, J.V.C. Vargas, S.C. Amico & J.C. Ordonez, “Modeling, Simulation and Optimization of a Beer Pasteurization Tunnel,” J Food Eng, vol. 77, no. 3, pp. 500513,Dec. 2006. https://doi.org/10.1016/j.jfoodeng.2005.07.001

[12] P.E. Augusto, T. Pinheiro & M. Cristianini, “Using Computational Fluid-Dynamics (CFD) for the evaluation of beer pasteurization: effect of orientation of cans,” FST, vol. 30, no. 4, pp. 980986, 2010. https://doi.org/10.1590/S0101-20612010000400022

[13] L. I. Laíce, “Estudo cinético do processo de pasteurização da cerveja numa pasteurizadora de túnel da fábrica de cervejas de moçambique,” Tesis grado, dpto Quím, UEM, MZ, 2013. Disponible en http://monografias.uem.mz

[14] L. Pardo, “Microorganismos termorresistentes en la producción de cerveza. Estudio inicial,” Tesis grado, dpto Biol, UDC, ES, 2017. Disponible en https://ruc.udc.es/dspace/handle/2183/19612

[15] M. Suárez, “Cerveza: componentes y propiedades,” Tesis Master, dpto Biotec. Alim, Uniovi, OV, ES, 2013. Available: http://hdl.handle.net/10651/19093

[16] M. Morales, “Reacciones químicas en la cerveza,” Rev Quím, vol. 32, no. 1, pp. 411, Abr. 24, 2018. Available: http://revistas.pucp.edu.pe/index.php/quimica/article/view/20105

[17] P. Jonáš, “Modelling and control of tunnel pasteurizer,” Diploma Thesis, CVUT, PR, CZE, 2009. Available: https://support.dce.felk.cvut.cz/mediawiki/images/b/b0/Dp_2009_jonas_pavel.pdf

[18] E. Bhuvaneswari & C. Anandharamakrishnan, “Heat transfer analysis of pasteurization of bottled beer in a tunnel pasteurizer using computational fluid dynamics,” Innov Food Sci Emerg Technol, vol. 23, pp. 156163, Jun., 2014. https://doi.org/10.1016/j.ifset.2014.03.004

[19] C. Zufall & K. Wackerbauer, “The Biological Impact of Flash Pasteurization Over a Wide Temperature Interval,” J Inst Brew, vol. 106, no. 3, pp. 163168, 2000. https://doi.org/10.1002/j.2050-0416.2000.tb00053.x

[20] R. A. González-Castellanos & L. D. Curiel, “Metodología de la investigación científica para las ciencias técnicas,” Partes I, II y III, CU: Editora Universitaria, 2018. http://doi.org/10.5281/zenodo.1296510

[21] R. B. Bird, W. E. Stewart & E. N. Lightfoot, Fenómenos de transporte. Bcn, ES: Editorial Reverté, 1992.

[22] M. Cortés, P. Fazio, J. Rao, W. Bustamante & S. Vera, “Modelación CFD de casos básicos de convección en ambientes cerrados: necesidades de principiantes en CFD para adquirir habilidad y confianza en la modelación CFD,” Rev Ing Cons, vol. 19, no. 1, pp. 2245, 2014. Available from https://www.ricuc.cl/index.php/ric/article/view/506/pdf

[23] J. G. Ardila, D. A. Hincapé & J. A. Sierra , “Independencia de malla en tubos torsionados para intercambio de calor: caso de estudio,” Rev Fac Cs Univ Nal Col, vol. 5, no. 1, pp. 124140, 2016. https://doi.org/10.15446/rev.fac.cienc.v5n1.54231

[24] L. F. Klein, “ Estudo de desempenho de esguichos para túneis de pasteurização,” Tesis MS, Dpto Ing, UFRGS. Porto Alegre do Sul, BR, 2009.

[25] F.P. Incropera & D.P. Dewitt, Fundamentals of heat and mass transfer, 8 Ed. NY, USA: John Wiley and Sons, 1990.

[26] D. Q. Kern, Procesos de transferencia de calor. MX. DF, MX: Editorial Continental, 1999.

[27] J.C. Mendieta, M. A. Olarte & H. González, “Diseño de un sistema de control inteligente para un pasteurizador tipo túnel,” Prospectiva, vol. 10, no. 2, pp. 8188, Dec. 2012. https://doi.org/10.15665/rp.v10i2.237

Misdelki Pérez Colas es graduada de la carrera de Ingeniera Química en la Universidad de Camagüey (Cuba). Profesora auxiliar del departamento de Ingeniería Química, con más de 15 años de experiencia en la impartición de temas de transferencia de calor y masa. Máster en Análisis de Procesos de la Industria Química. Ha asesorado tesis de grado asociadas a la industria cervecera. https://orcid.org/0000-0003-1858-705X

Martha Faustina Nápoles García es Ingeniera Química, Máster en tecnología azucarera, Doctora en Ciencias Técnicas. Profesora Titular del departamento de Ingeniería Química de la Universidad de Camagüey (Cuba), con más de 35 años de experiencia en la educación superior, en la impartición de temas de Optimización, Modelación matemática, Simulación de procesos así como estudios de incertidumbre en las inversiones y Reconversión de procesos químicos sobre todo en la Agroindustria azucarera y alimentaría, además posee conocimientos de Computación, Métodos numéricos, Análisis complejo de procesos, los cuales ha presentado en el pregrado y posgrado en Cuba, Venezuela y Mozambique. Ha sido tutora de varias tesis de maestría y doctorado vinculadas a las industrias de procesos lácteos y cerveceros. https://orcid.org/0000-0002-9280-510X

María de Lourdes de la Cruz Aragones es Ingeniera Química, Máster en tecnología azucarera, Doctora en Ciencias técnicas. Profesora Titular del departamento de Ingeniería Química de la Universidad de Camagüey (Cuba), con experiencia en la educación superior en la enseñanza de temas relacionados con Corrosión, Materiales para Ingeniería y Resistencia de materiales, Metodología de la Investigación Científica y en la tutoría de tesis de pregrado y posgrado asociadas a industrias de procesos alimenticios y azucareros, en Cuba y Venezuela. https://orcid.org/0000-0003-3755-3787