.

Fajardo Rojas, Castellanos González & Peláez Carrillo / INGE CUC, vol. 19 no. 2, pp. 4552January - June, 2023

Spectral signature of leaf spot ((Mycosphaerella fragariae (Tul.)) in strawberry plants (Fragaria x ananassa Duch) related to NDVI and NDRE index

Firma espectral de peca de la hoja (Mycosphaerella fragariae (Tul.)) en plantas de fresa (Fragaria x ananassa Duch) relacionada a índices NDVI y NDRE

DOI: http://doi.org/10.17981/ingecuc.19.2.2023.04

Scientific Research Article. Date of Receipt: 30/12/2021. Date of Acceptance: 09/03/2023.

Alexandra Estefanía Fajardo Rojas orcid_24x24

Universidad de Pamplona. Pamplona (Colombia)

estefaniafajardorojas@gmail.com

Leónides Castellanos González orcid_24x24

Universidad de Pamplona. Pamplona (Colombia)

lclcastell@gmail.com

Diego Alfonso Peláez Carrillo

Universidad de Pamplona. Pamplona (Colombia)

diego.pelaez@unipamplona.edu.co

.

To cite this paper:

Fajardo Rojas, L. Castellanos González & D. Peláez Carrillo, “Spectral signature of leaf spot (Mycosphaerella fragariae (Tul.)) in strawberry plants (Fragaria x ananassa Duch) related to NDVI and NDRE index,” INGE CUC, vol. 18, no. 2, pp. 45–52, 2023. DOI: http://doi.org/10.17981/ingecuc.19.2.2023.04

.

Abstract

Introduction— The strawberry crop is seriously affected by different diseases that result in a decrease in production and fruit quality. Among the most important diseases that attack the strawberry crop is Mycosphaerella fragariae, the causal agent of leaf spot, which in advanced stages can lead to the total loss of the crop. Monitoring of this disease is a fundamental tool for its prevention and control. The tools of precision agriculture and agriculture 4.0, such as images obtained by drones, facilitate decision making by producers and optimize crop work such as monitoring.

Objetive— This study identified the relationship between the percentage of area affected by leaf spot (Mycosphaerella fragaraiae), the Normalized Difference Vegetation Index (NDVI) and Normalized Difference Red Edge Index (NDRE).

Metodology— The study was developed in the province of Pamplona in Norte de Santander with high inoculum pressure of Mycosphaerella fragariae. Leaflets were collected from strawberry plants with different degrees of affectation caused by Mycosphaerella fragariae, this plant material was transported guaranteeing its conservation until the laboratory, where measurements were made with the Stellar Net brand EPP2000 portable spectroradiometer, from which the values of the red band, infrared and the red border of each one was taken to perform the calculation of NDVI and NDRE, these values were averaged for each degree of affectation. The exact affected area was calculated for each leaf using the Compu eye leaf and symptom area software and the correlation coefficients were calculated looking for a mutual linear relationship from simple linear regressions.

Results— The NDRE index correlates 82% with the area affected by Mycosphaerella fragariae by up to 70%.

Conclusión— The percentage of area affected by leaf freckle (Mycosphaerella fragariae) is directly related to the spectral response in terms of NDVI and NDRE indices, The spectral behavior of the leaf freckle (Mycosphaerella fragariae) in the strawberry crop has a linear behavior with respect to the NDVI and NDRE indices, where in the initial stages of the disease the values of the indices are close to zero, and as it progresses disease indices show a decrease in their values. There is a greater degree of correlation between the percentage of the affected area and the NDRE index up to 70% of the affected area, because this is more sensitive to the change in the chlorophyll content of the leaf.

Keywords— Precision agriculture; agriculture 4.0; disease; monitoring; diseases

Resumen

Introducción— El cultivo de fresa se ve seriamente afectado por diferentes enfermedades que resulta en disminución de la producción y de la calidad de la fruta. Dentro de las enfermedades más importantes que atacan al cultivo de fresa se encuentra Mycosphaerella fragariae, agente causal de la peca de la hoja que en estados avanzados puede llevar a la perdida total de los cultivos. El monitoreo de esta enfermedad es una herramienta fundamental para su prevención y control. Las herramientas de agricultura de precisión y agricultura 4.0 como las imágenes obtenidas por drones facilitar la toma de decisiones por parte de los productores y optimizan las labores de cultivo como el monitoreo.

Objetivo— En este estudio se identificó la relación entre el porcentaje de área afectada por peca de la hoja (Mycosphaerella fragaraiae), el Índice de vegetación de diferencia normalizada (NDVI) y el Índice Normalizado Diferencial de Borde Rojo (NDRE).

Metodología— El estudio se desarrolló en la provincia de Pamplona en Norte de Santander con alta presión de inoculo de Mycosphaerella fragariae. Se colectaron foliolos de plantas de fresa con diferentes grados de afectación causada por Mycosphaerella fragariae, este material vegetal se transportó garantizando su conservación hasta el laboratorio, donde se realizaron mediciones con el espectrorradiómetro portátil EPP2000 de la marca Stellar Net, de las cuales se tomaron los valores de la banda roja, infrarroja y del borde rojo de cada una para realizar el cálculo los índices NDVI y NDRE, estos valores se promediaron para cada grado de afectación. A cada una de las hojas se le calculó el área de afectación exacta a partir del software Compu eye leaf and symptom área y se calcularon los coeficientes de correlación buscando una relación lineal mutua a partir de regresiones lineales simples.

Resultados— Se logró identificar que el índice NDRE se correlaciona en un 82% con el área afectada por Mycosphaerella fragariae hasta en un 70%.

Conclusión— El porcentaje de superficie afectada por la peca de la hoja (Mycosphaerella fragariae) está directamente relacionado con la respuesta espectral en términos de los índices NDVI y NDRE, El comportamiento espectral de la peca de la hoja (Mycosphaerella fragariae) en el cultivo de fresa tiene un comportamiento lineal con respecto a los índices NDVI y NDRE, donde en las etapas iniciales de la enfermedad los valores de los índices son cercanos a cero, y a medida que progresa los índices de la enfermedad muestran una disminución en sus valores. Existe un mayor grado de correlación entre el porcentaje del área afectada y el índice NDRE hasta el 70% del área afectada, debido a que éste es más sensible al cambio en el contenido de clorofila de la hoja.

Palabras clave— Agricultura de precisión; agricultura 4.0; monitoreo; enfermedades

I. Introduction

Strawberry is a crop of high economic, nutritional and medicinal value [1]. However, it is highly susceptible to been attacked by pathogens, so disease management is very important, especially fungal pathogens [2]. There are more than 19 species of pathogenic fungi that can cause damage to strawberry plants depending on the susceptibility of the cultivar and environmental conditions [3].

In the world, strawberry production reached 8.8 million t in 2019, with China being the largest producer [4]. Colombia is the second Latin American country with the largest area harvested in strawberry during 2019, where 2 810 cultivated hectares (ha) were reported, of which 1 888 were harvested during the same year with a production of 53 730 tons (t) for a yield of 28.45 tons per hectare (t/ha) [5].

The leaf spot caused by Mycosphaerella fragariae (Tul) is one of the diseases that affect strawberry crops worldwide, from temperate climates to tropical regions [6]. It mainly attacks the foliage with small circular purple spots on the surface of young leaflets and in advanced stages it can turn grayish with reddish-brown edges [2]. When there is already too much leaf tissue affected by the disease, the plant remains weak and is much more susceptible to been attacked by other pathogens and to the effects of the environment [3]. Likewise, this disease can affect other organs of the plant including the fruit, which reduces the chances of commercialization and directly the prices of the product in the market [2].

Leaf spot caused by Mycosphaerella fragariae is a sporadic disease but with a high potential to generate losses in crops with climatic conditions that favor their development [1]. The youngest leaves are those that turn out to be more susceptible to damage caused by the disease, which directly affects the yield of the affected crop.

The symptoms are very characteristic, with small red and/or dark purple spots 2 mm-4 mm in diameter in a circular shape on the upper part of the leaves [7]-[8]. These lesions increase in size over time, presenting a central area of whitish color (white, gray or light brown), the edge remaining purple, which can lead to the complete death of the leaf and even of the plant since it can attack other plant organs such as petioles, stolons, calyx, producing similar lesions [2].

Definitive control measures have not been developed for this disease, however, the use of mulches, disinfection of the soil and the elimination of crop residues has shown that it helps to reduce its incidence [3]. Additionally, the appropriate fungicides for the control of this disease are not yet well known, which results in inadequate controls and unnecessary expenses [9]-[10], which affects the profitability of producers.

The diagnosis and monitoring of diseases in crops is complex and expensive, even expert plant pathologists can make mistakes in the specific diagnosis of a disease, which leads to an erroneous control treatment [11]. Therefore, an autonomous disease detection and diagnosis system can offer important support to field professionals to diagnose diseased plants in the field and decide their respective controls [12].

The monitoring of diseases in crops plays an extremely important role since it is estimated that approximately 50% of losses in crops are due to late control of the diseases that attack them due to lack of adequate monitoring [13].

The monitoring and early diagnosis of diseases in the field is of vital importance since it allows making decisions about crop management in an effective and efficient way [14]. As suggested by researchers from several Indian universities [13], the automatic and instantaneous detection of diseases is essential, so it is considered that, through images taken with drones added to an analysis in the field, a methodology can be generated that facilitates and optimize the monitoring of Mycosphaerella fragariae in strawberry plantations to reduce production costs, risk of production loss associated with the disease, improve fruit quality and of course improve the profitability of the system for producers.

High spectral resolution sensors are a tool that, together with information collected in the field, facilitates the identification in time and space of initial symptoms of different diseases in different crops worldwide [15].

The spectral signature is the curve that relates the radiation intensity of the energy reflected or emitted by a certain object at the different wavelengths [16]. Multispectral analysis techniques are used to evaluate different types of physiological alterations in crops [17].

The objective of the present investigation was to establish the spectral signature of leaf spot (Mycosphaerella fragariae) in strawberry plants (Fragaria x ananassa Duch) in relation to the behavior through the NDVI (Normalized Difference Vegetation Index) and NDRE (Normalized Difference Red Edge Index).

II. Materials and Methods

The study was developed in commercial strawberry plantations at different stages of development in the province of Pamplona in Norte de Santander with high inoculum pressure of Mycosphaerella fragariae. The crops developed in a normal way, according to the traditional management that the producers give in the area.

Leaflets were collected from strawberry plants with different degrees of affectation caused by Mycosphaerella fragariae, this plant material was transported guaranteeing its conservation until the laboratory, where measurements were made with the Stellar Net brand EPP2000 portable spectroradiometer in accordance with the manufacturer’s instructions, which consists of a console accompanied by an optical fiber that allows spectral measurements in the ranges of 200-1 600 nm [18], visualized using Spectroscopy Ninja software [19].

10 measurements were made for each leaf and 5 leaves were taken for each level of affectation according to the scale proposed by the researchers Zahner and Püntener [20]. A spectral database of 250 signatures was obtained, from which the values of the red band, infrared and the red border of each one was taken to perform the calculation of several indices including NDVI and NDRE, these values were averaged for each degree of affectation.

The exact affected area was calculated for each leaf using the Compu eye leaf and symptom area software by Ehab Soft [21], which allows calculating the affected area according to the color change and learning of the machine. To determine the relationships between the indices and the percentage of area affected by Mycosphaerella fragariae and to calibrate the behavior of the indices under different levels of disease involvement, the correlation coefficients were calculated looking for a mutual linear relationship from simple linear regressions.

In each of the regressions, the significance of the intercept, the slope of the model, the coefficient of determination and the root of the mean square error were obtained. The assumption of normality was verified using the Shapiro-Wilks test and that of homogeneity of variances with the Breusch-Pagan test. The previous analyzes were carried out using the statistical program R version 4.1.1. [22] using the packages corrplot, stats and lattice.

III. Results and Discussion

In Fig. 1 the detached leaflets of strawberry plants can be observed under different degrees of affectation of leaf spot (Mycosphaerella fragariae) used as a baseline for obtaining evaluation parameters.

A green leaf on a wooden surface

Description automatically generated with low confidence

A green leaf on a wooden surface

Description automatically generated with low confidence

A picture containing plant, flower, begonia, fresh

Description automatically generated

Grade 0

Grade 1

Grade 2

A picture containing plant, green, leaf, arranged

Description automatically generated

A picture containing plant, green, arranged

Description automatically generated

A picture containing plate, food, plant, arranged

Description automatically generated

Grade 3

Grade 4

Grade 5

Fig. 1. Detached leaflets of strawberry plants with different grades of involvement by leaf spot (Mycosphaerella fragariae)
Source: Dates according to the scale proposed by Zahner and Püntener [20].

250 spectral readings were obtained as illustrated in Fig. 2, where 10 spectral signatures are observed in the range of 200 nm to 1600 nm of a strawberry leaflet in grade 0 of affectation of Mycosphaerella fragariae according to the scale [20]. The behavior shown in the Fig. 3 is similar in all the readings made, where an increase in the reflectance value is evidenced at wavelengths between 700 nm and 1200 nm, which agrees with the usual behavior of plant surfaces [23].

Fig. 2. Visualization of 10 spectral signatures of a strawberry plant leaflet. The Y axis represents the reflectance intensity represented in watts while the X axis represents the wavelength. The readings are shown in color scale in the figure legend.
Source: Authors.
Fig. 3. Approach to the wavelength corresponding to the red edge (717 nm) using the Spectroscopy Ninja visualization software for 10 readings of the same leaf with grade 0 of severity of Mycospaerella fragariae.
Source: Authors.

Spectroscopy Ninja software allows a very high level of precision in identifying reflectance values at specific lengths of the electromagnetic spectrum, as illustrated in Fig. 3 where a precise approach to the red edge band (717 nm) is represented and its reflectance value is identified in each of the readings made for the leaflet under evaluation. Each of the lines is a reading made with the spectroradiometer, for the case illustrated, for a leaf with grade 0 of affectation, that is, without lesions caused by Mycosphaerella fragariae. It could be observed that the differences between the readings of the same leaf for a specific wavelength is less than 20 watts, which is small considering the variation in the entire spectrum signature that shows peaks of more than 300 watts between the wavelength of 750 nm and 800 nm.

Fig. 4 illustrates the use given to the software Compu eye leaf and symptom area [21], on the left side a first detection of abnormal spots in the green cover of the leaf is observed, which are identified by the software at starting from a learning of a range of colors given by the user, later, as illustrated on the right side, the area corresponding to green is located, understanding this as a healthy area and gives a percentage of the diseased area compared to the healthy area in terms of percentage. This processing is like other works carried out to detect changes in the leaves from digital images and determine their health with 85% precision [24].

A screenshot of a computer

Description automatically generated with medium confidence

Graphical user interface

Description automatically generated

Fig. 4. Identification of lesions caused by Mycosphaerella fragariae in strawberry leaflets (left) and determination of healthy area with respect to what was identified as diseased (right)Compu eye leaft and symptom area software.
Source: Authors.

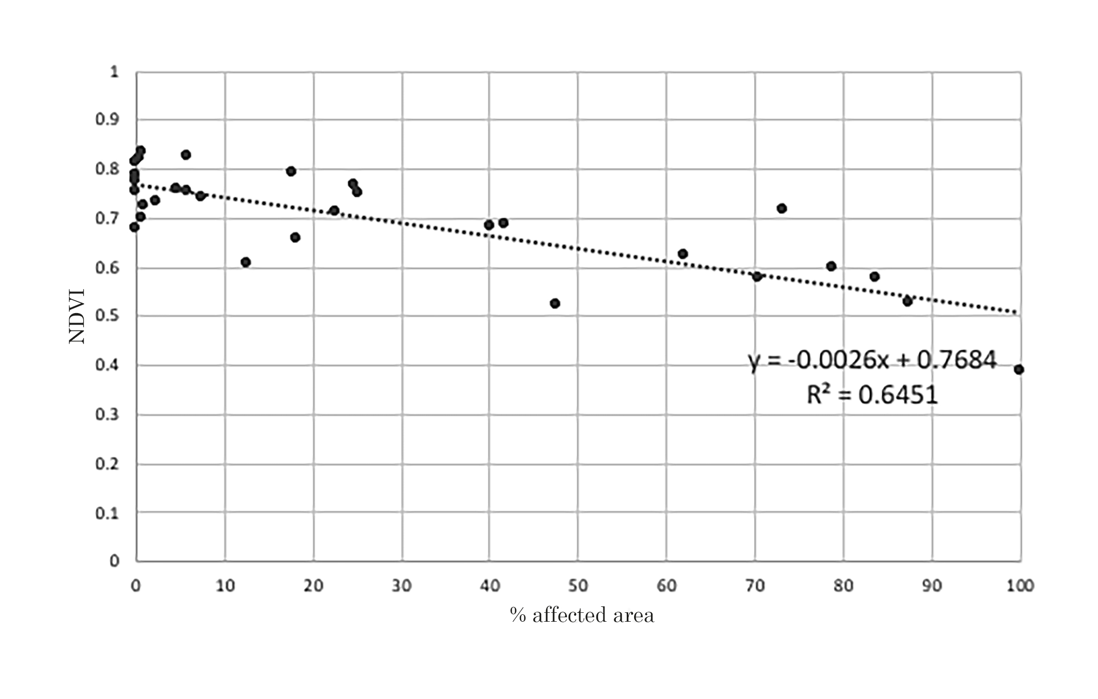
The results of the affected area in detached leaflets are presented from the linear regression with respect to the behavior of the NDVI (Fig. 5) and NDRE (Fig. 6) indices, where the usual behavior of healthy plant material is detailed, which presents values closer to 1, while higher values of the affected area begin to be plotted, the value of the indices falls towards zero, which agrees with that reported by NU (Japan), UPC (Spain), ZCOPTERS (Spain) [25]-[26].

Fig. 5. NDVI index correlation percentage of affected area in detached leaflets.
Source: Authors.
Fig. 6. NDRE index correlation percentage of affected area in detached leaflets.
Source: Authors.

It was found that the NDVI behaves according to the linear equation y = –0.0026x + 0.7684 with a coefficient of variation R2 = 0.6451, a p-Value of 0.000, which being less that 0.05 indicates that there is a linear dependence between the two variables. The RMSE value was 0.0613, which indicates that the error between the observed and predicted data is low for the NDVI values. The assumptions of normality and homogeneity are fulfilled from t student and shapiro-Wilk with p-value of 0.2097 and 0.2543 respectively. This indicates that the NDVI index obtained from the reflectance of different degrees of disease involvement is related to the percentage of affected area with a significance of 64%, like that found by UNIBONN (Germany) [27], where the NDVI index allowed a distinctive differentiation between three sugar beetroot diseases.

The behavior of the NDRE showed a linear behavior from the equation y = –0.0044x + 0.4725 with an R2 = 0.8259 with values of percentage of affectation between 0 and 70%, the linear regression is seen compromised in terms of its coefficient of variation above 70% of the affected area. Likewise, we know that there is a linear dependence between the two variables with a p-Value of 3.348e-10 and an RMSE of 0.041. The variables meet assumptions of normality and homogeneity based on student t and Shapiro-Wilk with p values of 0.984 and 0.7659 respectively. The behavior of the NDRE index obtained from the reflectance of different grades of disease involvement is related to the percentage of affected area with a significance of 82%, which agrees with what was published by NU, UPC and ZCOPTERS [26], where it is mentioned that NDRE is more suitable than NDVI in similar studies since it has been shown to be more sensitive to the photosynthetic activity that occurs at the leaf level.

Precision agriculture requires constant calibration and evaluation of the tools used so that with learning from large databases, it can be increasingly accurate and timely in the identification of diseases in early stages.

IV. Conclusions

The percentage of area affected by leaf freckle (Mycosphaerella fragariae) is directly related to the spectral response in terms of NDVI and NDRE indices.

The spectral behavior of the leaf freckle (Mycosphaerella fragariae) in the strawberry crop has a linear behavior with respect to the NDVI and NDRE indices, where in the initial stages of the disease the values of the indices are close to zero, and as it progresses disease indices show a decrease in their values.

There is a greater degree of correlation between the percentage of the affected area and the NDRE index up to 70% of the affected area, because this is more sensitive to the change in the chlorophyll content of the leaf.

References

[1] O. Carisse & V. McNealis, “Identification of weather conditions associated with the occurrence, severity, and incidence of black seed disease of strawberry caused by mycosphaerella fragariae,” Phytopathology, vol. 108, no. 1, pp. 8393, Sept. 2017. https://doi.org/10.1094/PHYTO-04-17-0136-R

[2] A. Petrache, V. Falup, S. Micle, V. Pop, C. Scheau, M. Cosovanu, T. Morar & E. Luca, “Organic treatments for the control of mycosphaerella fragariae infection in the ecological crop system of fragaria vesca,” Agriculture, vol. 113, no. 1-2, pp. 255259, Jul. 2020. https://doi.org/10.15835/agrisp.v113i1-2.13812

[3] C. Garrido, V. González-Rodríguez, M. Carbú, A. Husaini & J. Cantoral, “Fungal diseases of strawberry and their diagnosis”, in Strawberry: growth, development and diseases, A. Husaini & D. Neri (Eds), WLF, UK: CABI, 2016, Ch. 10, pp. 157195. https://doi.org/10.1079/9781780646633.0157

[4] FAO, “Food and agriculture data FAOSTAT,” Oct. 5, 2021. [Online]. Available: https://www.fao.org/faostat/en/#home

[5] DANE, “Encuesta Nacional Agropecuaria 2019”, jun. 30, 2019. [Online]. Disponible en https://www.dane.gov.co/files/investigaciones/agropecuario/enda/ena/2019/boletin_ena_2019.pdf

[6] A. Moreira, J. de Resende, G. Shimizu, F. Hata, D. do Nascimento, L. Oliveira, D. Zanin & K. Mariguele, “Characterization of strawberry genotypes with low chilling requirements for cultivation in tropical regions,” Sci. Hortic., vol. 292, pp. 110, Jan. 2022. https://doi.org/10.1016/j.scienta.2021.110629

[7] M. Bolda, S. Dara, J. Soto, J. Fallon, M. Sánchez & K. Peterson, Manual de producción de Fresa para los agricultores de la Costa Central. Cdfa: CRCD, 2015.

[8] V. Obregón, J. Ibañez y T. Lattar, Guía para la identificación de las enfermedades de frutilla. Prov. BsAs: INTA, 2020. Recuperado de https://repositorio.inta.gob.ar/bitstream/handle/20.500.12123/7799/INTA_CRCorrientes_EEABellaVista_Obregon_VG_Guia_para_la_identificacion_de_las_enfermedades_de_frutilla.pdf?sequence=1

[9] O. Carisse & V. McNealis, “Development of action threshold to manage common leaf spot and black seed disease of strawberry caused by mycosphaerella fragariae,” Plant Dis., vol. 103, no. 3, pp. 563570, Jan. 2019. https://doi.org/10.1094/PDIS-06-18-1107-RE

[10] N. Delhomez, O. Carisse, M. Lareau & S. Khanizadeh, “Susceptibility of Strawberry Cultivars and Advanced Selections to Leaf Spot Caused by Mycosphaerella fragariae,” HortSci., vol. 30, no. 3, pp. 592595, Jun. 1995. https://doi.org/10.21273/hortsci.30.3.592

[11] K. Ferentinos, “Deep learning models for plant disease detection and diagnosis,” Comput. Electron. Agric., vol. 145, pp. 311318, Feb. 2018. https://doi.org/10.1079/9781780646633.0157

[12] X. Yang & T. Guo, “Machine learning in plant disease research”, IJRTE, vol. 8, no. 4, pp. 30503054, Nov. 2019. Available from https://www.ijrte.org/wp-content/uploads/papers/v8i4/D7857118419.pdf

[13] L. Priya, G. Rajathi & R. Vedhapriyavadhana, “Crop disease detection and monitoring system,” IJRTE, vol. 8, no. 4, pp. 30503054, Nov. 2019. http://dx.doi.org/10.35940/ijrte.D7857.118419

[14] D. Chauhan, R. Walia, C. Singh, M. Deivakani, & M. Kumbhkar, “Detection of Maize Disease Using Random Forest Classification Algorithm,” TURCOMAT, vol. 12, no. 9, pp. 715720, Apr. 2021. https://doi.org/10.17762/turcomat.v12i9.3141

[15] A. Ati y K. Fuentes, “Establecimiento de modelos parametrizados para estimación de posible presencia de contaminación y enfermedad del suelo mediante drones en la zona Cayambe”, Trabajo titulacion, UPS Ecu, QUI, EC, 2020. Available: http://dspace.ups.edu.ec/handle/123456789/18284

[16] W. Maes & K. Steppe, “Perspectives for Remote Sensing with Unmanned Aerial Vehicles in Precision Agriculture,” Trends Plant Sci., vol. 24, no. 2, pp. 152164, Dec. 2018. https://doi.org/10.1016/j.tplants.2018.11.007

[17] E. Ávila, N. Escobar & C. Morantes, “Applying satellite images to spectral signature development of maize production (Zea mays L.) under colombia’s middle tropics conditions,” Entramado, vol. 15, no. 2, pp. 256262. Jun. 2019. https://doi.org/10.18041/1900-3803/entramado.2.5734

[18] StellarNet Inc. “Spectrometer Systems in Stock and Fast Shipping,” 2016. [Online]. Available: https://www.stellarnet.us/

[19] F. Menges Software-Entwicklung, “Spectragryph –optical spectroscopy software–,” 2022. [Online]. Available: https://www.effemm2.de/spectragryph/down.html

[20] W. Püntener, O. Zahner, Manual for field trials in plant protection, 2 Ed., BSL, CH: CIBA-Geigy, 1981.

[21] E. Bakr, “A new software for measuring leaf area, and area damaged by Tetranychus urticae Koch,” J. Appl. Entomol., vol. 129, no. 3, pp. 173175, Apr. 2005. https://doi.org/10.1111/j.1439-0418.2005.00948.x

[22] RProject.Org. “R: A Language and Environment for Statistical Computing,” 2021. [Online]. Available: http://www.Rproject.org/

[23] H. Gausman, “Leaf reflectance near infrared,” Photogramm. Eng. Remote Sens., vol. 40, no. 2, pp. 183191, Jun. 1974. Available in: https://www.asprs.org/wp-content/uploads/pers/1974journal/feb/1974_feb_183-191.pdf

[24] D. Kusumandari, M. Adzkia, S. Gultom, M. Turnip & A. Turnip, “Detection of Strawberry Plant Disease Based on Leaf Spot Using Color Segmentation,” J. Phys.: Conf. Ser., vol. 1230, pp. 19, Dec. 2018. https://doi.org/10.1088/1742-6596/1230/1/012092

[25] B. Boiarskii & H. Hasegawa, “Comparison of NDVI and NDRE Indices to Detect Differences in Vegetation and Chlorophyll Content,” J. Mech. Cont.& Math. Sci., no. Special 4, pp. 2029, Nov. 2019. https://doi.org/10.26782/jmcms.spl.4/2019.11.00003

[26] J. Jorge, M. Vallbé & J. Soler, “Detection of irrigation inhomogeneities in an olive grove using the NDRE vegetation index obtained from UAV images,” Eur. J. Remote Sens., vol. 52, no. 1, pp. 169177, Jan. 2019. https://doi.org/10.1080/22797254.2019.1572459

[27] A.-K. Mahlein, U. Steiner, H-W. Dehne & E.-C. Oerke, “Spectral signatures of sugar beet leaves for the detection and differentiation of diseases,” Precis. Agric., vol. 11, no. 4, pp. 413431, Jun. 2010. https://doi.org/10.1007/s11119-010-9180-7

Alexandra Estefanía Fajardo Rojas. Universidad de Pamplona (Pamplona, Colombia). https://orcid.org/0000-0003-4707-5467

Leónides Castellanos González. Universidad de Pamplona (Pamplona, Colombia). https://orcid.org/0000-0001-9285-4879

Diego Alfonso Peláez Carrillo. Universidad de Pamplona (Pamplona, Colombia)