.

Fernández Hung, Vargas Rodríguez, Cueto Rodríguez & Brown Manrique / INGE CUC, vol. 18 no. 1, pp. 104January – June, 2022

Water requirements of new citrus orchards in “Jiguaní” Agricultural Enterprise

Necesidades hídricas de nuevas plantaciones citrícolas en la Empresa Agropecuaria “Jiguaní”

DOI: http://doi.org/10.17981/ingecuc.18.1.2022.08

Artículo de Investigación Científica. Fecha de Recepción: 04/03/2022. Fecha de Aceptación: 14/03/2022.

Kaddiel Fernández Hung orcid_24x24

Tropical Fruit Research Institute. Havana (Cuba)

kfdezh@gmail.com

Pável Vargas Rodríguez orcid_24x24

University of Oriente. Santiago de Cuba (Cuba)

pvargas@uo.edu.cu

Jorge Rolando Cueto Rodríguez orcid_24x24

Tropical Fruit Research Institute. Havana (Cuba)

cuetojr49@gmail.com

Oscar Brown Manrique orcid_24x24

University of Ciego de Ávila “Máximo Gómez Báez”. Ciego de Ávila (Cuba)

obrown@unica.cu

To cite this article:

K. Fernández Hung, P. Vargas Rodríguez, J. R. Cueto Rodríguez & O. Brown Manrique, “Water requirements of new citrus orchards in “Jiguaní” Agricultural Enterprise”, INGE CUC, vol. 18, no. 1, pp. –104, 2022. DOI: http://doi.org/10.17981/ingecuc.18.1.2022.08

Abstract

Introduction— The planting of 1 200 ha of citrus fruits is planned in the “Jiguaní” Agricultural Enterprise and, for the design and subsequent management of the irrigation systems, it is essential to previously establish the water needs of the crop.

Objective— Calculate the water needs of citrus orchards using the procedures outlined by FAO-56, applying the most recent update of the Allen and Pereira (A&P) approach.

Method— To calculate the water needs of the crop, the ETo × Kc approach established by FAO-56 was followed. Within this, the ETo values were calculated using the Hargreaves-Samani equation and those of Kc, from the update of the A&P approach.

Results— Water needs vary between 1.0 d–1 and 1.9 mm d–1 for young orchards, from 1.7 mm d–1 to 3.5 mm d–1 for high-density adult plantations and low trees, and from 2.2 mm d–1 to 4.3 mm d–1 for tall trees.

Conclusions— The pertinence of the A&P approach to estimate the Kcb and Kc coefficients to determine the water consumption of orchards benefited with localized and high-frequency irrigation techniques was corroborated.

Keywords— Orchards; Citrus; Water requirements; Evapotranspiration; Irrigation

Resumen

Introducción— Se prevé el fomento de 1 200 ha de cítricos en la Empresa Agropecuaria “Jiguaní” y, para el diseño y posterior manejo de los sistemas de riego, es esencial establecer previamente las necesidades hídricas del cultivo.

Objetivo— Calcular las necesidades hídricas de las plantaciones de cítricos mediante los procedimientos expuestos por FAO-56, aplicando la actualización más reciente del enfoque de Allen y Pereira (A&P).

Metodología— Para calcular las necesidades hídricas del cultivo se siguió el enfoque de ETo × Kc establecido por FAO-56. Dentro de este, los valores de ETo se calcularon mediante la ecuación de Hargreaves-Samani y los de Kc, a partir de la actualización del enfoque de A&P.

Resultados— Las necesidades hídricas varían entre 1.0 mm d–1 y 1.9 mm d–1 para parcelas jóvenes, de 1.7 mm d–1 a 3.5 mm d–1 para plantaciones adultas de alta densidad de siembra y árboles bajos, y de 2.2 mm d–1 a 4.3 mm d–1 para árboles altos.

Conclusiones— Se corroboró la pertinencia del enfoque de A&P para estimar los coeficientes Kcb y Kc para determinar el consumo de agua de plantaciones beneficiadas con técnicas de riego localizado y de alta frecuencia.

Palabras clave— Huerto frutal; Citrus; Necesidades de agua; Evapotranspiración; Riego

I. Introduction

The recovery of the citrus agribusiness constitutes one of the priorities of the Cuban State and is materialized with the implementation of the Citrus Development Program [1]. Accordingly, in areas of the “Jiguaní” Agricultural Enterprise of the Granma province, the first investments in irrigation systems are carried out for the benefit of the 1 200 ha that are planned to be planted. Given that the efficient use of water and energy in irrigation systems is essential to increase production per unit area [2], the design and subsequent management of these irrigation systems presuppose the precise estimation of the crop water requirements.

The variability of the water consumption of citrus fruits (Citrus spp.) is remarkable. Research in South Africa collected world values between 0.5 mm day–1 and 2.7 mm day–1 in winter, and between 1.5 mm day–1 and 8.5 mm day–1 in summer [3]. This author attributed this dispersion to the diversity of climatic conditions and to the particularities of the plantations such as the spacing between trees and their height, the rootstock-cultivar combination, the soil cover, the management practices, the irrigation technique and the frequency of wetting.

In the technical literature reviewed, no recent reports were found of studies related to the water needs of citrus fruits in Cuba, which followed the FAO-56 [4] approach. Besides, although the methods provided in FAO-56 publication to determine the water needs of crops guarantee the transfer between climatic regions, the crops coefficients Kc tabulated for citrus fruits present limitations for consider the diversity of conditions between orchards.

Therefore, scientists from USA and Portugal proposed the A&P approach for the more precise estimation of Kc from physical parameters of the orchard [5]. Later, the need to specify the influence of stomatal control manifested by citrus fruits on Kc values was explained [6]. In this sense, other studies from these same countries [7] updated the aforementioned A&P approach based on the Kc resulting from the most relevant research in Italy and Portugal [8], for citrus.

The objective of this work is to calculate the water needs of citrus orchards that are established in areas of the “Jiguaní” Agricultural Enterprise, through the procedures exposed by FAO-56 publication, applying the most recent update of A&P approach for the definition of the values of the crops coefficients, in order to provide rigor to the design and management of irrigation systems.

II. Materials and Methods

A. Characteristics of the study area

The citrus development area is located at the eastern end of the Cauto Plain in the eastern region of Cuba, very close to the left bank of the Cauto River, downstream from confluence with the Contramaestre River (Fig. 1). It is located 35 km northeast of Bayamo, capital of Granma province, at geographic coordinates of 20°31’25” north latitude and 76°20’24” west longitude, at an altitude of 50 m.

Fig. 1. Satellite photo of the study area.
Source: Authors.

According to the soil map of the Republic of Cuba [9], in accordance with the World Reference Base for Soil Resources (WRB), the soil present in the area is classified as Calcaric Fluvisol (FLca). From the Köppen-Geiger climate classification world map [10], it was obtained that in the area there is an equatorial savanna climate with dry winter (Aw), and in the aridity map of Cuba [11], it was observed that in the study area there is a humid semi-humid aridity regime.

B. Water needs calculation approach

The water needs of the crop are defined as the amount of water required to compensate, with precipitation, irrigation or both, the loss by crop evapotranspiration. Although conceptually different, the values of the water needs are identical to the crop evapotranspiration [4]. Crop evapotranspiration was determined by applying the crop coefficient approach, using (1) that is presented below [12]:

Where ETc (mm d–1) is the crop evapotranspiration under optimal conditions of humidity and nutrition, free of diseases, normal cultivation practices and an area greater than 500 m2; Kc, is the crop coefficient (dimensionless) and ETref, the reference evapotranspiration, for a hypothetical crop equivalent to extensive, cut and well-watered green grass, ETref = ETo according to FAO [4].

C. Calculation of the reference evapotranspiration

Given the absence of reliable data on solar radiation in nearby agrometeorological stations and the simplicity of the method in relation to FAO Penman-Monteith equation [4], the reference evapotranspiration was calculated using the following Hargreaves-Samani equation (2), parameterized by by Spanish and Portuguese scientists [13]:

Where ETo-HS is the reference evapotranspiration (mm day–1); Tmáx and Tmin, the monthly mean maximum and minimum air temperatures, respectively (°C); Tmed = (Tmáx + Tmin) / 2 (°C); λ, the latent heat of vaporization (2.45 MJ kg–1); Ra, extraterrestrial radiation (MJ m−2 d−1) and kRs, adjustment coefficient (°C-0.5). This last coefficient, for regions with a subhumid aridity regime, is expressed as (3):

Where TDmed is the difference between the mean maximum and minimum temperatures (°C); RHmed, is the mean relative humidity (%) and u2 med, the mean wind speed at 2 m altitude (m s–1). These climatic data were obtained from the Contramaestre Agrometeorological Station, located 19 km south-southeast of the study area (20° 17’ 50’’ N; 76° 15’ 43’’ W).

With the XLSTAT software [14] the normality, homogeneity, seasonality and trend of the monthly time series of temperatures, humidity and wind speed of the period 2000-2019 were analyzed, and some outliers were corrected [15]. For design purposes, with the ETo results, the monthly values corresponding to 20% of exceedance probability, suggested by U.S. research [12], were determined. Also, the 50% probability values were determined for irrigation management using the CROPWAT 8.0 model [16], [17].

D. Determination of the crop coefficients

The crop coefficient can be expressed as a single coefficient, Kc, that combines transpiration with evaporation from the cultivated surface, or it can be separated into two components, Kc = Kcb + Ke, called the dual crop coefficient, which individually considers the plant transpiration with the basal coefficient of the crop, Kcb, and evaporation from the exposed soil with the evaporation coefficient in the soil, Ke. The Kcb coefficient includes the humidity present in the portion of soil shaded by the crop, with which it maintains the transpiration rate [4], [12].

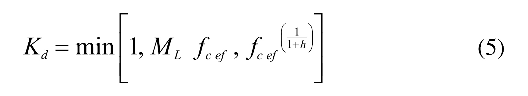
According to A&P approach [7], the basal coefficient Kcb, since it mainly represents transpiration, depends on the amount of vegetation and can be expressed as a function of a density coefficient, Kd, which describes the increase in Kc with vegetation. This was calculated using the following equations (4)(5)(6):

In which Kc min is the minimum basal coefficient for bare soil (Kc min = 0.15 for typical agricultural conditions); fc ef, fraction of the area effectively shaded by vegetation; ML, dimensionless coefficient that simulates a physical limit to the flow of water through the plant structure; h, mean height of the plants (m); RHmin, the minimum relative humidity (%) and Fr, a coefficient of stomatal adjustment (dimensionless). The following Table 1 shows the ML and Fr values for citrus, obtained by calibration.

Table 1.
Calibrated ML and Fr values for citrus

Orchard a

Growth stage

Known parameters

Calibrated parameters

h(m)

fc ef

ML

Fr

Young

Middle Final

1.5

1.5

0.20

0.20

1.6

1.6

0.85 – 0.97

0.85 – 0.97

High density, low trees

Middle Final

3.5

3.5

0.70

0.70

1.7

1.7

0.58 – 0.63

0.58 – 0.63

High density, tall trees

Middle Final

4.5

4.5

0.70

0.70

1.7

1.7

0.75 – 0.84

0.75 – 0.84

a Young orchard: up to 4 years old; high planting density: fc ef ≥ 0.70; low trees: h ≈ 3.5 m and tall trees: h ≈ 4.5 m.
Source: [7].

The values of Kc mid, end were calculated by adding a certain amount to Kcb mid, end, between 0.05 and 0.25 according to to the criteria of Italian and Portuguese scientists [8], but instead of assuming that the highest frequency of wetting occurs at the end of the year, it was considered that it occurs during the middle growth stage, in summer, as it happens in Cuba. Thus, for young plantations with fc ef < 0.25, was added to Kcb med and for adult plantations with fc ef > 0.65 it was added 0.10, and for Kc end, 0.05 was added. It was also considered that Kcb iniKcb end and Kc iniKc end, according to studies in South Africa [4].

The Kc coefficients obtained by Portugal and USA for citrus [7], refer indistinctly to both irrigation systems that partially moisten the soil surface and those that do so with full coverage, although the maximum Kc values characterize the latter irrigation systems [8]. Even so, it was reasonably assumed that the Kcb coefficients better represent the wetting conditions imposed by techniques that irrigate below the tree canopy.

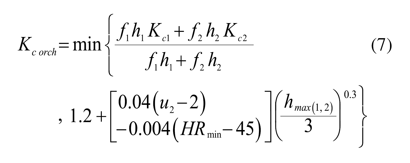
When another fruit crop with a short productive cycle is intercropped contiguously during the youthful growth stage of citrus orchards, a practice that has spread in Cuba in recent years, an equivalent crop coefficient is obtained that represents the water consumption of the orchard. According to FAO [4], the following calculation expression (7) was used:

Were f1 and f2; h1 and h2; and Kc1 and Kc2 are, respectively, the fractions of the soil surface, the heights and the highest Kc values for crops 1 and 2. Examples of these intercropping are with pineapple or papaya, that their respective coefficients of crops Kc were obtained from the technical literature [18], [19].

III. Results and Discussion

A. Reference evapotranspiration

Fig. 2 shows the mean daily values of the reference evapotranspiration calculated for the study area, for the 20 and 50% of exceedance probability with normal distribution and coefficients of variation between 0.057 and 0.094. Note how the highest value corresponds to the month of April (4.7 mm d1), which generally coincides with the fruit set, and the lowest value occurs in the month of December (2.4 mm d–1), at beginning of winter, during the period of low vegetative activity.

Fig. 2. Reference evapotranspiration of the study area (2000-2019 series).
Source: Authors.

The annual average reference evapotranspiration equal to 3.7 mm d–1, agrees with the ETo values of 3 mm d–1 to 5 mm d–1 for tropical and subtropical zones with humid and sub-humid climates, and moderate temperatures, which are presented as a guide by FAO [4]. Likewise, these results are similar to those obtained for the citrus growing area of Jagüey Grande in Matanzas, which also follow the same trend [20].

B. Crop coefficients

In Table 2 the calculated values of Kcb and Kc are highlighted according to the A&P approach, for the different growth stages of citrus fruits. It is observed that for young trees the lowest values of Kcb and Kc were obtained, while the highest figures correspond to the orchards with the highest density and size of the trees. In the high-density orchards, but with shorter adult trees, the Kcb and Kc coefficients were intermediate values.

Table 2.
Crop coefficients for citrus.

Orchard

Kcb

Kc

Initial1

Middle

End

Initial

Middle

End

Young

A&P

0.40

0.40

0.40

0.45

0.65

0.45

FAO-562

0.55

0.60

0.60

0.60

0.65

0.65

High density, low trees

A&P

0.65

0.65

0.65

0.70

0.80

0.70

FAO-56

0.75

0.80

0.75

0.80

0.85

0.80

High density, tall trees

A&P

0.85

0.85

0.85

0.90

0.95

0.90

FAO-56

0.75

0.80

0.75

0.80

0.85

0.80

1 Initial growth stage: Jan - Feb; development stage: Mar-May; mid stage: Jun-Sep and end stage: Oct-Dec.
2 The values calculated according to FAO-56 include the adjustment for different climatic conditions than those tabulated.

It is also appreciated that the Kcb values remain constant throughout the entire production cycle, which confirms the little variability of the stomatal resistance of citrus fruits in tropical regions with a humid subhumid climate [4]. On the other hand, the values of Kc mid are higher than those of Kc ini and Kc end, such as those obtained for humid areas located north of the Florida peninsula, USA [21], [22].

Kcb med values represented 81% and 89% of Kc for adult orchards with high ground cover and low trees, and adult orchards with high ground cover and tall trees, respectively. These percentages agree with those obtained from the expression proposed by U.S. experts to estimate the reduction of the water needs of adult trees benefited with localized irrigation [23].

The Kcb A&P and Kc A&P coefficients were, on average, 20% lower than the de Kcb FAO-56 and Kc FAO-56 values for young orchards and adult plantations, high density and low trees, except for young orchards that Kc med A&P = Kc med FAO-56. In contrast, for adult orchards, high density and tall trees, the A&P approach provided higher results than that of FAO-56 by about 10%. Table 2 shows that the FAO-56 method does not reveal differences between short and tall trees from adult orchards, so the A&P approach is more relevant.

Table 3 shows the results of equivalent cultivation coefficients, Kc orch, of a young citrus orchard with two possible associations of fruit cultivation: citrus-papaya (A) or citrus-pineapple (B). In association A, the Kc orch coefficient is closer to that of the highest crop and in association B, Kc orch presents an intermediate value.

Table 3.
Kc orch coefficients for associated crops.

Associations

f

h (m)

Kc

Kc orch

A

Citrus

0.20

1.5

0.65

1.01

Papaya

0.50a

2.5

1.10

B

Citrus

0.20

1.5

0.65

0.71

Pineapple

0.67b

0.6

0.75

a A double row in the center of each street in a quincunx at 1.5 × 1.5 m.
b Three double rows planted on each street at 1.2 × 0.4 × 0.3 m.

C. Crop evapotranspiration under standard conditions

Fig. 3 shows ETc when the crop is irrigated below the canopy and when the soil is completely moistened, for the 20% and 50% probability of exceedance. For partial wetting, ETc values are lower than for total irrigation and these values increase with the amount of vegetation and the height of the trees. The highest ETc values occurred between April and June, during the fruit setting.

Fig. 3. Crop evapotranspiration of citrus orchards.
Source: Authors.

On average, during the winter (December, January and February) evapotranspiration values between 1.2 mm day–1 and 2.7 mm day–1 occurred, and in the summer (June, July and August) they were between 2.9 mm day–1 and 4.2 mm day–1, which are within the world crop evapotranspiration figures compiled by South African studies [3]. The annual evapotranspiration of the young orchards was between 540 mm and 800 mm, and from the adult orchards were from 1 000 mm to 1 300 mm.

IV. Conclusions

  1. The water requirements of the citrus orchards of the “Jiguaní” Agricultural Enterprise, calculated using the A&P approach, are between 1.0 mm d–1 and 1.9 mm d–1 for young orchards; for orchards with high planting density, adult trees and of low size, in the range of 1.7 mm d–1 to 3.5 mm d–1 and for orchards equally high density, adult trees, but tall, from 2.2 mm d–1 to 4.3 mm d–1.
  2. Through the A&P approach, normalized values of crop coefficients for citrus fruits, Kcb and Kc, are obtained, which are located within the ranges reported in the research reviewed [8]. The values obtained according to FAO-56 agree, but to a lesser extent, and do not adequately consider the planting distances and the size of the trees.
  3. The calculation of the water consumption of citrus plantations can be carried out using the values of (Kcb + Ke) or Kc. However, in the design phase, for localized high-frequency irrigations it is more appropriate to do it with the Kcb values, considering that it does not rain between two consecutive irrigations, thus eliminating Ke. For less frequent full coverage irrigations (≥ 7 days), it is more practical to use Kc.

Financing

Scientific research article derived from the research project “Agronomic evaluation of citrus areas under irrigation machines in the ‘Jiguaní’ Agricultural Enterprise”, financed by the Agricultural Business Group. Start year: 2017, end year: 2021.

Acknowledgements

Thanks are due to the technical staff of the Provincial Meteorological Center of Santiago de Cuba, who kindly provided the climatic data for the period 2000-2019 recorded in the Contramaestre agroclimatic station.

Likewise, thanks are due to Professor Luis Santos Pereira, from the University of Lisbon, for contributing the most recent literature on the subject.

References

[1] ENPA, Programa de Desarrollo de Cítricos. Estudio de Factibilidad Técnico-Económica. HAB, CU: ENPA, 2018.

[2] O. Brown, N. Méndez & F. García, “Design of a windmill for the water pumping in a sprinkle irrigation system,” INGE CUC, vol. 17, no. 2, pp. 183192, Dec. 2021. Available: https://revistascientificas.cuc.edu.co/ingecuc/article/view/3743

[3] W. Mahohoma, “Measurement and modelling of water use of citrus orchards,” PhD. Thesis, UP, PRY, SA. Available: http://hdl.handle.net/2263/60827

[4] R. G. Allen, L. S. Pereira, D. Raes y M. Smith, Evapotranspiración del cultivo. Guías para la determinación de los requerimientos de agua de los cultivos. ROM, IT: FAO, 2006. Available: https://www.fao.org/3/x0490s/x0490s00.htm

[5] R. G. Allen & L. S. Pereira, “Estimating crop coefficients from fraction of ground cover and height,” Irrig Sci, vol. 28, no. 1, pp. 1734, Sep. 2009. https://doi.org/10.1007/s00271-009-0182-z

[6] N. J. Taylor, J. G. Annandale, J. T. Vahrmeijer, N. A. Ibraimo, W. Mahohoma, M. B. Gush & R. G. Allen, “Modelling water use of subtropical fruit crops: The challenges,” Acta Hortic, vol. 1160, no. 1160, pp. 277284, 2017. https://doi.org/10.17660/ActaHortic.2017.1160.40

[7] L. S. Pereira, P. Paredes, F. Melton, L. Johnson, M. Mota & T. Wang, “Prediction of crop coefficients from fraction of ground cover and height: Practical application to vegetable, field and fruit crops with focus on parameterization,” Agric Water Manag, vol. 252, pp. 123, Apr. 2021. https://doi.org/10.1016/j.agwat.2020.106663

[8] G. Rallo, T. A. Paço, P. Paredes, À. Puig-Sirera, R. Massai, G. Provenzano & L. S. Pereira, “Updated single and dual crop coefficients for tree and vine fruit crops,” Agric Water Manag, vol. 250, May. 2021. https://doi.org/10.1016/j.agwat.2020.106645

[9] J. M. Pérez, A. Hernández, D. Bosch, R. I. Marsán, O. Muníz y E. Fuentes, Mapa de suelos de la República de Cuba. HAB, CU: IS, 2012.

[10] M. Kottek, J. Grieser, C. Beck, B. Rudolf & F. Rubel, “World Map of the Köppen-Geiger climate classification updated,” Meteorol Z, vol. 15, no. 3, pp. 259263, Jul. 2006. https://doi.org/10.1127/0941-2948/2006/0130

[11] R. Vázquez, A. Fernández, O. Solano, B. Lapinel y F. Rodríguez, “Mapa de Aridez de Cuba,” RCHSZA, vol. 11, no. 1, pp. 101109, Apr. 2016. Recuperado de http://www.lamolina.edu.pe/zonasaridas/za11/pdfs/ZA11%2000%20art07.pdf

[12] M. E. Jensen and R. G. Allen, Evaporation, evapotranspiration, and irrigation water requirements, 2 ed. RSN, VA: ASCE, 2016. Available: https://ascelibrary.org/doi/abs/10.1061/9780784414057

[13] P. Paredes, L. S. Pereira, J. Almorox & H. Darouich, “Reference grass evapotranspiration with reduced data sets: Parameterization of the FAO Penman-Monteith temperature approach and the Hargreaves-Samani equation using local climatic variables,” Agric Water Manag, vol. 240, no. 1, pp. 123, Oct. 2020. https://doi.org/10.1016/j.agwat.2020.106210

[14] XLSTAT Statistical and Data Analysis Solution. Addinsoft. [Online]. 2021. Available: https://www.xlstat.com

[15] D. R. Helsel, R. M. Hirsch, K. R. Ryberg, S. A. Archfield & E. J. Gilroy, “Statistical methods in water resources,” in Book 4, Hydrologic Analysis and Interpretation, USGS, ch. A3, RSN, VA: USGS, 2020. https://doi.org/10.3133/tm4a3

[16] G. Vadde, R. Shreedhar & C. Hiremath, “Cropwater requirement for different hydrological scenarios using CROPWAT,” i-Manag J Civ Eng, vol. 7, no. 4, pp. 2734, Nov. 2017. https://doi.org/10.26634/jce.7.4.13800

[17] M. Gabr, “Management of irrigation requirements using FAO-CROPWAT 8.0 model: A case study of Egypt,” Model Earth Syst Environ, vol. 8, no. 9, pp. 31273142, Sep. 2021. https://doi.org/10.1007/s40808-021-01268-4

[18] C. Bonet, I. Acea, O. Brown, V. Hernández y C. Duarte, “Coeficientes de cultivo para la programación del riego de la piña,” RCTA, vol. 19, no. 3, pp. 2327, Sept. 2010. Recuperado de http://scielo.sld.cu/pdf/rcta/v19n3/rcta05310.pdf

[19] Y. Chaterlán, G. Hernández, P. Paredes, R. Martínez, T. López y L. Santos, “Estimación de los coeficientes de cultivo de la papaya para mejorar la programación del riego en el sur de La Habana,” Rev Cienc Téc Agropec, vol. 21, no. 1, pp. 3742, Jul. 2012. Available: https://rcta.unah.edu.cu/index.php/rcta/article/view/53

[20] Y. Sosa-Sánchez, C. E. Duarte-Díaz, E. Cisneros-Zayas, A. Puente-Sánchez, L. González-Risco y M. Breffe-Navarro, “Ajuste de los requerimientos hídricos del pomelo (citrus paradisi macf.), en Jagüey Grande, Matanzas, Cuba”, Rev Ing Agríc, vol. 11, no. 3, pp. 915, Apr. 2021. Available: https://rcta.unah.edu.cu/index.php/IAgric/article/view/1394/2642

[21] K. T. Morgan, T. A. Obreza, J. M. S. Scholberg, L. R. Parsons & T. A. Wheaton, “Citrus Water Uptake Dynamics on a Sandy Florida Entisol,” Soil Sci Soc Am J, vol. 70, no. 1, pp. 9097, Jan. 2006. https://doi.org/10.2136/sssaj2005.0016

[22] X. Jia, A. Swancar, J. M. Jacobs, M. D. Dukes & K. Morgan, “Comparison of Evapotranspiration Rates for Flatwoods and Ridge Citrus,” Trans ASABE, vol. 50, no. 1, pp. 8394, Jan. 2007. https://doi.org/10.13031/2013.22414

[23] J. Keller & R. D. Bliesner, Sprinkle and trickle irrigation. NYC, NY, USA: Springer, 1990.

Kaddiel Fernández Hung received of Hydraulic Engineer from the Universidad of Oriente (Cuba). MSc. Degree in Hydraulic Engineering from Technological University of Havana “José Antonio Echevarria” (Cuba). His research interests include water technologies applied to fruit crops irrigation systems. Specialist in research, innovation and development in the Technological Diffusion Group (TDG) of Contramaestre, of Tropical Fruit Research Institute. https://orcid.org/0000-0002-5114-7948

Pável Vargas Rodríguez received of Irrigation and Drainage Engineer from the Universidad of Ciego de Ávila (Cuba). MSc. Degree in Irrigation Engineering from Hydrographics Studies Center CEDEX (Spain). PhD. in Agricultural Technical Sciences from University of Ciego de Ávila (Cuba). His research interests include design and operations of hydraulic works and irrigation & drainage systems. Associate Professor of Irrigation and Drainage Engineering in the Hydraulics Engineering Department at University of Oriente. https://orcid.org/0000-0003-3316-0898

Jorge Rolando Cueto Rodríguez received of Bachelor of Biological Sciences from the University of Havana (Cuba). Predoctoral studies between in nitrogen metabolism of citrus plants. Master’s degree in tropical citrus from the Tropical Fruit Research Institute (Cuba). His research interests include fruit pathophysiology, management of fruit groves, and industrial coconut processing. Former Director of Technical Services and Former Director General of the Tropical Fruit Research Institute. Former National Coordinator of the Citrus Development Program in the Agricultural Business Group. International consultant in management of citrus and coconut plantations. FAO coconut expert. Consultant in prospecting and technological surveillance at the Tropical Fruit Research Institute. https://orcid.org/0000-0003-0544-2601

Oscar Nemesio Brown Manrique received of Irrigation and Drainage Engineer from the Universidad of Ciego de Ávila (Cuba). PhD. in Agricultural Technical Sciences from University of Ciego de Ávila. The fundamental investigations have been oriented towards the physical-mathematical modeling of the flow of water in surface irrigation, the use of wind, hydraulic and solar energy for supply and irrigation systems, a drought management system, climate change, and an alert system. early due to extreme rains and dam breaks. Associate Professor at the Hydrotechnical Studies Center, Faculty of Technical Sciences of the University of Ciego de Ávila. https://orcid.org/0000-0003-3713-3408