QoS Analysis for Video Streaming Service Implementing Network Slicing over a Mobile Network Based on SD-RAN

Análisis de QoS para el Servicio de Videostreaming Implementando Segmentación de Red sobre una Red Móvil Basada en SD-RAN


DOI: https://dx.doi.org/10.17981/ingecuc.20.2.2024.05


Scientific Research Article. Date of Receipt: 08/15/2023, Date of Acceptance: 09/25/2023.


Jose Luis Chávez-Picón

Universidad del Quindío - Research group ELECTRAE. Armenia, (Colombia)

jlchavez@uniquindio.edu.co


Wilmar Yesid Campo-Muñoz

Universidad del Quindío - Research group GITUQ. Armenia, (Colombia)

wycampo@uniquindio.edu.co


Gabriel ElíaS Chanchí-Golondrino

Universidad de Cartagena - Research group DATOS. Cartagena, (Colombia)

gchanchig@unicartagena.edu.co


To cite this paper:

J. Chávez-Picón, W. Campo-Muñoz, & G. Chanchí-Golondrino, “QoS Analysis for Video Streaming Service Implementing Network Slicing over a Mobile Network Based on SD-RAN,” INGE CUC, vol. 20, no. 2, pp. 83-98. 2024. DOI: https://dx.doi.org/10.17981/ingecuc.20.2.2024.05


Abstract

Introduction– Next-generation mobile networks need to be scalable, and dynamically adaptable to services. Software-defined networking (SDN) technology contributes to satisfy these needs through the softwarization of network functions and network slicing in favor of Quality of Service (QoS). However, there is a research gap on the behavior of QoS metrics for video streaming service in network slicing environments.

Objective– To analyze the behavior of QoS metrics in the video streaming service supported by the DASH protocol in network slicing scenarios.

Method– For the development of this paper, 3 phases were defined to show the research gap, the experiments and the analysis of results.

Results– Four experiments were built, each with three scenarios where the bitrate of the videostreaming service and the congestion of the communications channel were varied. In each case, throughput, inter-packet delay, jitter and packet loss percentage metrics were obtained. In addition, the performance of each metric was analyzed with respect to the impact of variations and with respect to the recommended levels to guarantee QoS.

Conclusions– For each metric, it was determined whether it complies with the recommended values, identifying that the most sensitive metric is jitter, followed by packet loss percentage. Similarly, although the throughput and inter-packet delay metrics are affected by variations, they comply with the established values.

Key Words– Quality of service; Mobile Network; Network Slicing; Video streaming.


Resumen

Introducción– Las redes móviles de próxima generación requieren ser escalables y adaptables a los servicios de forma dinámica. Las redes definidas por software contribuyen a satisfacer estas necesidades mediante la “softwarización” de las funciones de red y la segmentación de red, en pro de la calidad de servicio (QoS). Sin embargo, existe una brecha investigativa sobre el comportamiento de las métricas de QoS para el servicio de videostreaming en entornos de segmentación de red.

Objetivo– Analizar el comportamiento de las métricas de QoS, en el servicio de videostreaming soportado en el protocolo DASH, en escenarios de segmentos de red.

Metodología– Para el desarrollo del presente artículo se definieron 3 fases que muestran la brecha investigativa, los experimentos y el análisis de resultados

Resultados– Se construyeron 4 experimentos cada uno con 3 escenarios donde se varió la tasa de bit del servicio de videostreaming y la congestión del canal de comunicaciones. En cada caso se obtuvieron las métricas de rendimiento, retardo entre paquetes, variación del retardo y porcentaje de paquetes perdidos. Además, se analizó el comportamiento de cada métrica referente al impacto de las variaciones y respecto a los niveles recomendados para garantizar la QoS.

Conclusiones– Para cada métrica se determina si cumple o no con los valores recomendados, identificando que la métrica más sensible es la variación del retardo, en segundo lugar, el porcentaje de pérdida de paquetes. Además, aunque las métricas de rendimiento y retardo entre paquetes se ven afectadas por las diferentes variaciones, cumplen con los valores establecidos.

Palabras clave– Calidad de servicio, red móvil, segmentación de red; videostreaming.


I. INTRODUCTION

The continued growth in Internet adoption and proliferation of smart devices, combined with the growing market for multimedia applications, has brought with it a significant increase in traffic over data networks [1]–[3]. In the case of mobile networks, by 2026, global data traffic will reach a run rate of 229 exabytes/month, 6.7 times more than in 2019. The main protagonist will be video traffic, which will represent 78 % of total mobile data traffic [2].

This explosive growth in information traffic is creating a significant load on existing cellular networks, which may need to deliver 100 to 1000 times the capacity of current cellular systems, making network management and operation increasingly complex [4]. In recent decades, mobile networks have transformed to satisfy user needs, such that mobile bandwidth requirements have evolved from hundreds of Kbps for voice calls and text messages to tens of Mbps for ultra-high-definition video and virtual and augmented reality applications [5]. Thus, the wide variety of content-rich applications and services viewed by next-generation networks, led by video applications, are expected to dominate mobile network traffic in the 5G era [1].

In this sense, it is expected that 5G networks can support a wide variety of services and new use cases with heterogeneous performance requirements [6], [7]. Thus, 5G mobile networks are not only intended to overcome the problems related to high information rate, capacity, reliability, and Quality of Service (QoS) assurance of previous generations, but also to support a wide and heterogeneous set of devices and use cases simultaneously. In this respect, 5G networks are flexible, scalable, programmable, and dynamically adaptable to different requirements. Software-defined networking (SDN) technology contributes to satisfying these needs through the softwareization of network functions and facilitates the implementation of network slicing and bandwidth resource segmentation, that is, the creation of multiple, virtually independent logical networks that can be configured to provide specific capabilities tailored to the needs of a service or group of users as an isolated environment within a common network infrastructure [8].

Network slicing enables efficient QoS management in customized services, facilitating the creation of networks with optimized characteristics to serve a particular purpose or service category. This technology provides a network-as-a-service model that offers the flexibility and versatility needed to support the diverse and complex communication scenarios in 5G. However, since it is still a relatively new technology, there are research gaps on how to determine the resources for different services to achieve the desired trade-off between high resource utilization and QoS management. Therefore, an analysis of QoS behavior is important to generate a knowledge base to guide the creation of different mechanisms, techniques and/or algorithms for dynamic resource allocation.

The streaming methods used by video servers have an impact both on the quality of the presentation of multimedia content to clients and also on the total data traffic over the networks [3], [9]. For this research the video streaming service is supported using the Dynamic Adaptive Streaming over HTTP (DASH), ISO/IEC 23009-1:2012 standard, for Adaptive Streaming developed by Moving Picture Experts Group (MPEG) [10] and used for the delivery of video services over wireless mobile networks [11]. DASH uses different versions of the same multimedia content to dynamically adapt to the available bandwidth. Given its operation, it allows a video stream to switch between different bitrates, continuously, based on network performance, to maintain the playback of a video [12].

According to the above, in this paper we present as a contribution the analysis of the behavior of QoS parameters in the video streaming service supported by the DASH protocol, in network slicing scenarios and the segmentation of bandwidth resources, based on different resource allocation policies. The above, on an experimental environment of a mobile cellular network that allows migration to 5G Non-Stand Alone (5G-NSA) networks, which incorporates the SDN paradigm, a technological pillar for the implementation of next-generation networks and Software Defined Radio (SDR) technology. The experimental environment integrates general purpose hardware such as the Universal Software Radio Peripheral (USRP) and open-source software for the implementation of the Core Network (CN) and the Software Defined Radio Access Network (SD-RAN), as well as for network monitoring.

The rest of the paper is organized in the following sections: Section 2 presents the related work. Section 3 describes the methodology considered for this research. In Section 4, the process of network slicing construction, the experimentation scenarios, and the analysis of QoS metrics are presented. Section 5 presents the discussion of the results and finally, Section 6 presents the conclusions and future work.


II. RELATED WORKS

5G networks promise to support a wide variety of use cases. Their scope incorporates the transformation of the mobile network ecosystem into a heterogeneous service environment using a single infrastructure [6]. The softwareization of networks through SDN has become a pillar to provide and implement new capabilities and solutions that enable the control and management of networks, making them adaptable, programmable, and cost-effective [13]–[16].

In [17]–[22] it is shown how Network Slicing technology is at the heart of 5G and plays an important role in providing the flexibility needed to offer communication services to multiple applications with different performance and QoS requirements. This new paradigm is the technical means to enable the coexistence of different vertical services over the same network infrastructure [23]. In this sense, flexible video optimization schemes are shown as an alternative that allows high scalability and prioritization in flow control, automatically adapting the quality of video streams depending on the state of the network [24].

One of the challenges of network slicing is to establish which specific resources provide the necessary QoS for users with heterogeneous traffic profiles. To address this, a framework for network segment negotiation through the estimation of Key Quality Indicators (KQI) for video streaming is presented in [25]. This paper shows how a reliable estimation of the quality perceived by users is required for an adequate allocation of network resources to satisfy QoS levels. On the other hand, a management, control, and orchestration framework for the adoption of vertical services based on Network Slices is proposed in [26]. Here, Network Slicing with QoS guarantees is based on the scheduling of the data plane of each virtual network using traffic engineering techniques. Similarly, MEC (Multi-access Edge Computing) platforms are used to reduce latency in the delivery of video services and alleviate the processing load on the core network (CN) [27].

Another practical approach that emerges as a solution to the problem of division and allocation of radio resources with QoS guarantees in Network Slicing, is the use of Machine Learning (ML) techniques for mapping performance requirements based on service-level agreement (SLA) and network attributes. In [28] a methodology for QoS provisioning for differentiated services is proposed. This, based on performance models built for different services using ML to facilitate the mapping of SLAs with the radio resource, thus allowing an optimal bandwidth allocation, dynamically adjusted according to the network load conditions, enabling an optimization of the same for delay-sensitive services.

Resource allocation has played an important role in ensuring QoS in mobile networks. For fifth generation mobile networks this challenge has shifted to the implementation of Network Slicing technology, in which resources must be managed to be shared among multiple service providers while ensuring isolation and allowing customization of the functionality of each service. The implementation of Network Slicing in the RAN domain, with support for different levels of QoS, is still an open problem as evidenced in Table 1. This table presents works related to resource allocation, resource planning algorithms used in 5G networks with Network Slicing and the identified gaps, which were considered for the development of this paper.

According to the review presented in this section, it is highlighted that the experimental research evidence for practical implementations of SDN, Network Slicing and resource scheduling algorithms is carried out in simulation scenarios with controlled environments or in proprietary systems. Unlike this paper where we propose and use a validated experimentation environment consisting of a mobile cellular network that incorporates the SDN paradigm, SDR technology and resource segmentation functionalities in the RAN domain [34], which allows the consumption of real video streaming services through real user terminal equipment and the management of bandwidth resources.

Table 1.

Resource planning research on mobile networks based on Network Slicing.

Title

Technology

Resource planning algorithm

Environment

Gap

Pox Controller based QoS Evaluation for 5G Systems-Network Slicing [29]. Year 2020

  • 5G
  • Network Slicing
  • SDN-Controlador Pox

None (uses static resource allocation)

Simulated

  • The resource allocation is not based on scheduling algorithms.
  • The experiments are not based on the actual consumption of services possible in mobile networks through SDR technology.

A Method of Dynamic Resource Adjustment for 5G Network Slice [30]. Year 2020

  • 5G
  • SDN
  • Network Slicing

None. Implements a dynamic resource adjustment scheme based on amount of traffic.

Simulated

  • SDN technology is not considered.
  • Resource allocation is not based on planning algorithms.
  • QoS metrics are not used to evaluate network performance.
  • The experiments are not based on the actual consumption of services possible in mobile networks through SDR technology.

Hierarchical Radio Resource Allocation for Network Slicing in Fog Radio Access Networks [31]. Year 2019.

  • 5G
  • SDN
  • Fog-RAN
  • Network Slicing

Not specified

Simulated

  • Does not implement intra-Slice resource scheduling algorithms.
  • The experiments are not based on the actual consumption of services possible in mobile networks through SDR technology.

Quality of service evaluation based on network slicing for software defined 5G systems [32]. Year 2018.

  • 5G
  • SDN - Flood-light controller
  • Network Slicing

None (uses static resource allocation)

Simulated

  • Do not use throughput or jitter metrics to evaluate network performance.
  • The experiments are not based on the actual consumption of services possible in mobile networks through SDR technology.

Evaluation of Scheduling Algorithms for 5G Mobile Systems [33]. Year 2018.

LTE-Advanced

  • UE-based Maximun Rate (proposed)
  • Round Robin
  • Proportional Fair
  • Maximun Rate

FPGA-based emulation environment

  • Does not use Network Slicing.
  • Does not use QoS metrics to evaluate performance.
  • The experiments are not based on the actual consumption of services possible in mobile networks through SDR technology.

Source: own elaboration


III. METHODOLOGY

For the development of this research, an adaptation of the methodology considered in [34] was carried out, where 3 methodological phases were defined, which are shown in Figure 1. In the first phase, based on related works, research gaps are identified, focusing in this paper on the analysis of QoS metrics in mobile networks based on SD-RAN. The second phase presents the construction of the network slicing and the experiments developed, including variation of the conditions of the consumed video by varying its bitrates and congesting the channel through background and synthetic traffic. Finally, the third phase presents the results and analysis of throughput, inter-packet delay, jitter, and packet loss percentage, when the parameters of phase II are varied and combined.

Fig. 1. Methodology considered

Source: own elaboration.


IV. RESULTS

This section presents as a contribution the network slicing construction process, the experiments and the analysis of results for each of the QoS metrics.

Construction of Network slicing

It is worth mentioning that the Mosaic5G platform with OpenAirInterface (OAI) and FlexRAN [34] was selected for the experimental environment [34]. OAI provides software implementations of the CN (OAI-CN) and RAN (OAI-RAN) of a cellular mobile network based on the Evolved Packet System (EPS) architecture and of the RAN based on 5G-NSA. For its part, FlexRAN is a flexible and programmable platform for SD-RAN that enables the implementation of the SDN paradigm in the RAN domain, in the mobile cellular network, allows the creation of multiple virtually independent logical networks with bandwidth resource allocation policies. The scheduler used by default in each logical network implements the Round Robin algorithm for the equal distribution of the allocated bandwidth [36]. With this, the separation of the data and control plane is achieved, allowing flexible scheduling and coordination of the RAN from a logically centralized controller node, which has a generalized view of the RAN (SD-RAN), also allowing to dynamically manage the available radio resources at runtime.

The cellular mobile network was implemented with a total bandwidth of 50RB (10MHz) for each channel: UL and DL. Under the scenario of network segmentation into virtually independent logical networks, the radio resource allocation focuses on the distribution for each logical network of the RBs available for UL (50RB) and the Resource Block Group (RBG) available for DL (17RBG). The above, considering that the system, in terms of resource planning, operates under the 3GPP TS 36.213 version 17.1.0 specification, using the resource allocation scheme type 0, which specifies how the scheduler allocates resource blocks for each transmission [37]. Thus, for a bandwidth of 50RB, the resources are grouped in consecutive blocks of 3RB, for a total of 17RBG. In the OAI system the RBs and RBGs are indexed starting from zero. Thus, the RB range is 0-49 and the RBG range is 0-16. OAI reserves RBG-0 for PDCCH (Physical Downlink Control Channel).

The procedure for the creation and configuration of virtually independent logical networks, as well as their verification, is performed through JSON configuration files and HTTP requests executed through FlexRAN. The process of configuring and creating a pair of logical downlink networks, including resource allocation policies, is exemplified below. For this case, a scenario is created with two slices whose resource allocation is 80% for Slice-0 and 20% for Slice-2.

The first step is to create a configuration file in JSON format called ran-sharing.json (see Figure 2). This configuration example creates two logical networks for a bandwidth of 50RB where 17 RBGs are available for DL. In UL no segmentation is done and 50RB are allocated. In DL two logical networks are created: the one identified with “id”: 0 is assigned the RBGs from 1 to 13 and for the one identified with “id”: 2 the RBGs from 14 to 16, for an allocation of 80% and 20% of the resources, respectively. In each logical network a scheduler is configured: “round_robin_dl”. In the RBG allocation, the parameters: “posLow” and “posHigh” refer to the index of the first and last resource block allocated to each logical network.

Fig. 2. Creation of logical networks.

Source: own elaboration.

Once the configuration file is created, the request is sent via HTTP to the controller to perform the network segmentation (see Figure 3). The IP address and port shown are those configured for the SDN-FlexRAN controller.

Fig. 3. Sending HTTP request.

Source: own elaboration.

Figure 4 shows the result obtained for the configuration performed, which allows validating that the procedure was performed correctly.

Fig. 4. Validation of logical network configuration.

Source: own elaboration.

After the logical networks have been created, it is necessary to associate one or several user terminal equipment to one or each of them, specifying the channel: DL or UL. This, considering that a user may be assigned one resource segment for the uplink and another for the downlink. The configuration in JSON format and the HTTP request are shown in Figure 5. This configuration example associates the user equipment (UE) with IMSI 208950000000001 to the logical network identified with ID-0: “dlSliceId”: 0. The configuration file created is named: @ue-association.json.”

Fig. 5. Configuration in JSON format and HTTP request.

Source: own elaboration.

This completes the process of segmenting bandwidth resources in the RAN domain, thus constituting the creation of virtually independent logical networks managed from the SDN controller.

Experimental scenario

The resource allocation scenarios selected for experimentation are shown in Table 2. Accordingly, three experimentation scenarios were created, each with two resource segments called Slice-0 and Slice-2. The UEs connected to the network are associated to Slice-0, which is assigned in the first scenario 90% of the available RBGs for the downlink (14 RBGs), while Slice-2 is assigned only 10% of the RBGs (2 RBGs). In scenario two, both segments are assigned 50% of the available RBGs (8 RBGs). Finally, in scenario three, Slice-0 is allocated 10% of the available downlink RBGs, while Slice-2 is allocated 90% of the available RBGs. It is important to mention that when two or more UEs are associated to the same segment, the radio resource scheduler by default distributes the available resources based on the Round Robin algorithm. Figure 6 shows the functional landscape of the implemented experimentation environment.

Table 2.

Selected resource allocation scenarios for experimentation

RBG assignment in DL

Scenario

Slice-0

Slice-2

Number of RBG

RBG Range

Number of RBG

RBG Range

1

14

90%

1 - 14

2

10%

15-16

2

8

50%

1 - 8

8

50%

9 – 16

3

2

10%

1 - 2

14

90%

3-16

Source: own elaboration.

Fig. 6. RAN-Slicing experimentation environment for video streaming service consumption.

Source: own elaboration.

QoS Metrics Obtained for the Video Streaming Service

In order to analyze the behavior of the QoS metrics for the video streaming service supported by DASH, 4 experiments were carried out to observe how the following metrics are impacted: throughput, inter-packet delay, jitter and packet loss percentage when faced with variations in the amount of allocated bandwidth resources (RBG), the bitrate (BR) of the video consumed and the background traffic (TF) generated. Background traffic was implemented to saturate the communication channel in the different network slicing scenarios. This traffic was generated in two ways: first by consuming video on demand from the UE’s YouTube application that at the same time consumes the videos treaming service supported in DASH. The second way was by generating synthetic traffic through the Iperf application. For this purpose, a local server was placed on the CN side of the mobile network, which sends packets to the UE at the maximum rate achieved by the communication channel in each network slicing scenario. This, taking as a reference the results presented in Table 3.

Table 3.

Maximum and average throughput metrics obtained through downlink Iperf tests.

Downlink throughput (DL)

Scenario (RBG)

Maximum throughput (Mbps)

Average throughput (Mbps)

90%

30,91

28,19

50%

17,47

16,71

10%

4,67

4,16

Source: own elaboration.

For the two UE connection case, the available bandwidth resources segmented on the downlink were allocated on a shared basis. These resources are distributed among the UEs by the radio resource scheduler based on the Round Robin algorithm. In this case, one of the UE is in charge of consuming the video streaming service supported in DASH, while the other one does it through YouTube in order to congest the communication channel. In the uplink, both UEs share the entire available bandwidth (50RB), also distributed using the Round Robin algorithm. The video streaming service supported in DASH was consumed in time windows of 100 seconds in each experiment, encoded at rates of: 507Kbps (BR1), 1254Kbps (BR2) and 3134Kbps (BR3), at 180P, 360P and 576P resolution, respectively. This, using the DASH client provided by DASH Industry Forum [38]. The latter was accessed through the Mozilla Firefox browser, using the URL of the video streaming server: https://dash.akamaized.net/akamai/bbb_30fps.

In the experiments the acronym CC indicates the number of cell phones connected to the network, BR indicates the video bitrate consumed and TF refers to the background traffic generated on the communication channel (TFa: YouTube 480P; TFd: YouTube 1080P, and TFiperf: packets sent at the maximum bitrate reached per channel). For all experiments regardless of QoS metric or bitrate, each of the bars over the different scenarios is called an observation, so that there are experiments, scenarios, and observations.

Experiment 1 considers the connection of a single UE, which consumes video at three different bitrates: BR1: 507 Kbps, BR2: 1254 Kbps and BR3: 3134 Kbps. Experiment 2 consumes video with BR3 (3134Kbps) and background traffic which corresponds to the traffic generated after consuming video on demand, from the YouTube application at 480P and 1080P resolution (TFa and TFd, respectively). The TFa background traffic is consumed from the UE that at the same time consumes the video streaming service supported in DASH (CC1-BR3-TFa), while the TFd traffic is consumed by a second UE connected to the network (CC2-BR3-TFd). The latter shares the same channel and allocated bandwidth resources with the first UE. Experiment 3 consumes video at a bitrate of 1254 kbps (BR2) and background traffic (TFa and TFd) consuming YouTube videos from the UE that at the same time consumes the video streaming service - DASH. In this case, an additional experiment was introduced, where synthetic traffic generated with Iperf (TFiperf) is included. The UE consuming the video streaming - DASH service, while acting as a client in the Iperf tests, receives packets at the maximum bitrate reached in each network slice (see Table 3), in order to congest the communication channel and observe the behavior of the QoS metrics. In experiment 4, video is consumed at a bitrate of 507 Kbps (BR1) and TFa background traffic is introduced, which is produced when video with 480P resolution is consumed from the YouTube application on the UE that at the same time consumes the video streaming service - DASH.

Analysis of quality of service (QoS) metrics

A. Throughput

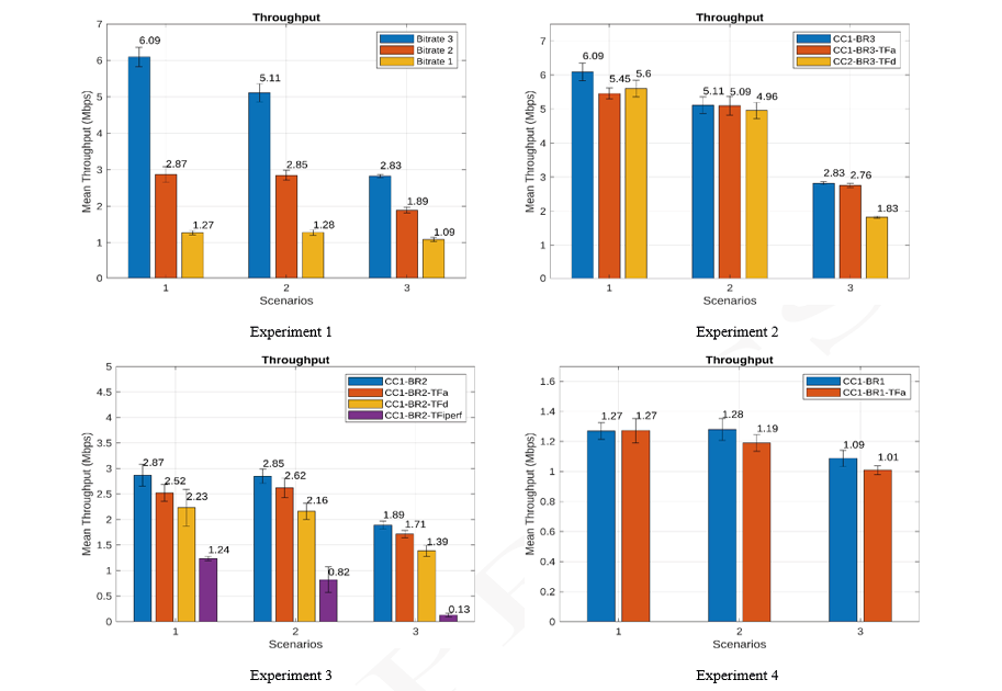
Figure 7 shows the throughput behavior for each of the experiments in each of the network slicing scenarios and with each of the bitrates or observations.

For experiment 1, the throughput results show a statistically significant decrease for BR3 as the percentage of available RBG is reduced. Thus, in scenario 2 there is a decrease of 16.1% and in scenario 3 of 53.53% with respect to the throughput obtained in scenario 1. For BR1 and BR2, the throughput does not show a statistically significant difference between scenarios 1 and 2, but there is a significant decrease of 33.6% for scenario 3 with respect to the two previous scenarios. Regarding each network slicing scenario, it is possible to show that the throughput is higher for higher video bitrates. Thus, for example, in scenario 1 the average throughput for BR3 is 6.09Mbps, for BR2 is 2.87 Mbps and for BR1 is 1.27 Mbps.

Fig. 7. Throughput behavior in the different experiments, scenarios and observations.

Source: own elaboration.

For experiment 2, the average throughput for scenario 1 obtained values of 6.09 Mbps, 5.46 Mbps and 5.60 Mbps in the observations CC1-BR3 (reference observation), CC1-BR3-TFa and CC2-BR3-TFd, respectively (see Figure 7, experiment 2). Therefore, it is possible to observe an average decrease of approximately 9% with respect to the throughput value obtained in the reference observation, i.e., CC1-BR3 when TFa and TFd background traffic is introduced. The impact produced by one and the other experiment (CC1-BR3-TFa and CC2-BR3-TFd) is statistically similar since the average value of both fits between their confidence intervals. For scenario 2, the average throughput values obtained in the reference observation CC1-BR3 and in CC1-BR3-TFa and CC2-BR3-TFd are 5.11 Mbps, 5.09 Mbps and 4.96 Mbps respectively. Thus, it is possible to establish that the background traffic produced does not generate a statistically significant impact for scenario 2 with respect to the reference observation, that is, the throughput obtained in CC1-BR3. For scenario 3, the average throughput took values of 2.83 Mbps, 2.76 Mbps and 1.82 Mbps for the observations CC1-BR3, CC1-BR3-TFa and CC2-BR3-TFd respectively. Thus, according to the confidence intervals, both CC1-BR3-TFa and CC2-BR3-TFd show a statistically significant impact with respect to the throughput obtained in the reference observation, generating a decrease in its average value of 2.47% and 35.7%, respectively. A greater impact is observed in CC2-BR3-TFd.

Thus, when comparing the scenarios of experiment 2 with respect to their counterparts of experiment 1, it is possible to state that for scenario 3 in observation 3 (CC2-BR3-TFd versus BR3) there is a reduction of more than 1 Mbps in the bitrate caused by background traffic, while for the other observations on each scenario the behavior is statistically similar.

For experiment 3, the throughput results when synthetic traffic (CC1-BR2-TFiperf) is introduced in the communication channel for each network slicing scenario show a statistically significant decrease in its metrics, with respect to experiments 1 and 2 and also with respect to the reference observation 2 (CC1-BR2) (see Figure 7, experiment 3), so that the maximum value reached is presented in scenario 1 (90% of RBG) with a maximum value of 1.24 Mbps, being statistically similar to the throughput reached in scenario 3 of experiment 1 (10% of RBG). The impact on this QoS metric is more pronounced in the CC1-BR2-TFiperf observation, where the throughput decreases by approximately 57%, 71% and 93%, compared to the reference observation 2 (CC1-BR2), in scenarios 1, 2 and 3 respectively. Comparing the scenarios of experiment 3 with their counterparts of experiment 1, it is possible to state that the observations 1 to 3 on each scenario are statistically similar, decreasing with the background traffic TFa and TFd.

For experiment 4 the average throughput obtains values between 1 Mbps in scenario 3 CC1-BR1-TFa and 1.28 Mbps in scenario 2 CC1-BR1. Comparing the scenarios of experiment 4 with their counterparts of experiment 1, it is possible to state that the observations 1 to 3 on each scenario are statistically similar.

Therefore, according to the values obtained, the throughput achieved for each experiment, scenario, and observation, satisfies the bitrate of each of the video streaming flows even when background and synthetic traffic is added.

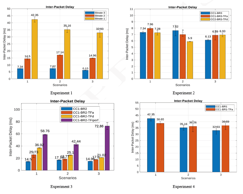
Fig. 8. Inter-Packet Delay behavior in different experiments, scenarios and observations.

Source: own elaboration.

B. Inter Packet Delay

Figure 8 shows the results for this metric, where for the 4 experiments it is possible to see that the values achieved by this parameter are below the limit of 240 ms presented in [12] for inter-packet delay. It can also be observed that when introducing background traffic in the different bitrates of each of the experiments, the value increases. The maximum value is reached when synthetic traffic is introduced in experiment 3, scenario 3, observation 4, obtaining a value of 72 ms (< 240 ms).

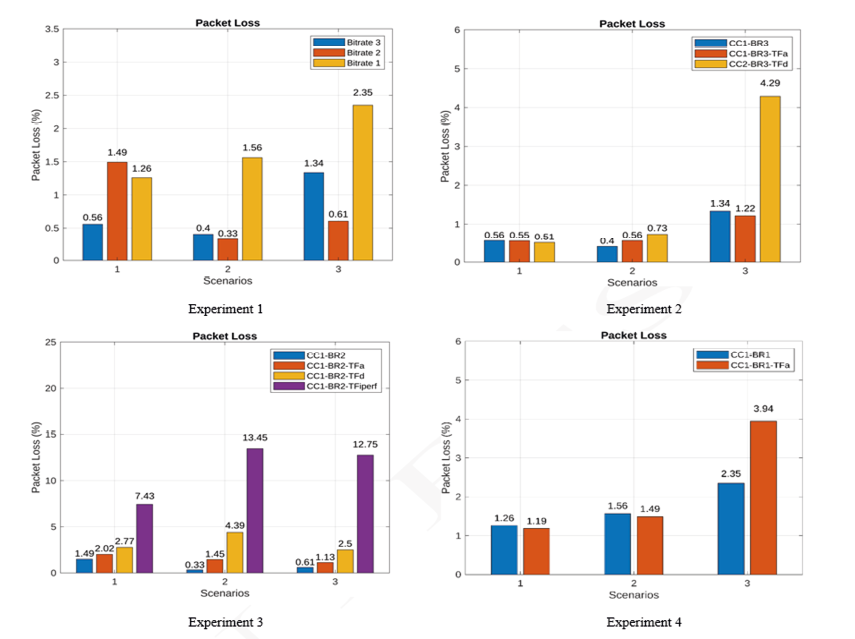
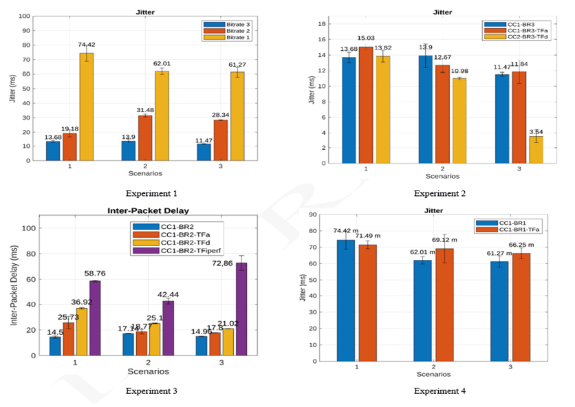
C. Jitter

Figure 9 shows the results for this metric. In experiment 1 for the three scenarios in observation 3 (BR1), the average values obtained exceed the established limit of 50 ms [12], so it does not comply with the recommendation, while for the other observations it does. In experiment 2 (with BR3), when background traffic is introduced, the jitter increases in each of the scenarios with respect to experiment 1. The maximum value of 15 ms is reached in scenario 1 for CC1-BR3-TFa. What is important is that even this maximum value is below the 50 ms limit presented in [12]. In experiment 3 it is observed that for observation 4, that is CC1-BR2-TFiperf in scenarios 1 and 3, the value accepted in [12] and [39] is not met as values of 57ms and 111 ms are reached respectively, while in scenario 2 the same observation is at the limit with 50 ms. On the other hand, for the other observations (CC1-BR2, CC1-BR2-TFa and CC1-BR2-TFd) in the three scenarios increase their value, but always being below 40 ms, so that they comply with the accepted values for jitter by being less than 50 ms. For experiment 4, it does not comply with any of the scenarios as it exceeds the established value of 50 ms.

Fig. 9. Jitter behavior in different experiments, scenarios and observations

Source: own elaboration.

D. Packet loss

Figure 9 shows the results for this metric whose acceptable percentage is 3% [36], it should also be noted that the video streaming service is consumed through the standard adopted for mobile networks DASH which works at layer 4 of the OSI model, therefore, those packets that in principle can be discarded in the path, are always forwarded thanks to the acknowledgement method. Thus, for experiment 1 in the three scenarios the proposed value is met, and when the bitrate (BR1) is consumed, there is an inversely proportional behavior between this metric and the amount of RBG assigned, while for the other two bitrates (BR2 and BR3) their behavior is statistically similar. In experiment 2, scenario 3, observation 3, the proposed value is not met since it reaches the maximum value of 4.2%. In experiment 3, when synthetic traffic is included (observation 4), the value of 3% is exceeded in all scenarios, and in scenario 2, observation 3, the value of 4.39% is not met either. Thus, experiment 4 does not comply for scenario 3 observation 2 (C1-BR1-TFa). In all other cases it complies.

Fig. 7. % Packet Loss behavior in different experiments, scenarios and observations.

Source: self-made

Table 4.

Summary of experiments, scenarios, and observations for QoS metrics

Source: own elaboration.

Finally, Table 4 presents a summary of which experiments, scenarios and observations meet the Inter-packet delay, Jitter, and packet loss percentage metrics. The throughput as shown above is satisfactory for all observations.

Conventions: Inter-packet delay (IPD), Jitter (JI), packet loss (PL%).


V. CONCLUSIONS

This paper analyzes the behavior of video streaming service QoS metrics under network slicing scenarios, as a function of bandwidth resource allocation and background traffic, which constitutes a fundamental contribution to the management of these metrics in SDN-based mobile networks. The analysis of the QoS metrics in the video streaming service showed that these are impacted by the variation of the RBGs available in the downlink, as well as by the background traffic present in the communication channel and the number of connected UE.

Regarding the throughput in the DASH video streaming service, it was found that there is a significant decrease in its value as the bandwidth available for the consumption of this service is reduced, this is a difference of 53.53% between the best and worst case, which is presented for experiment 1 with BR3 between scenarios 1 and 3. The trend is the same when incorporating background and synthetic traffic, reaching a difference of more than 90% in experiment 3 with BR2 between scenario 1 and 3 with synthetic traffic. In spite of the above, it is important to highlight that according to the values obtained (associated to their bitrates) the throughput achieved for each experiment, scenario and observation satisfies the bitrate of each of the video streaming flows, even when background and synthetic traffic is added.

It was possible to establish that synthetic traffic has the greatest impact on the values of each of the metrics; however, it is important to note that in all experiments the inter-packet delay did not exceed the recommended limit values. Likewise, the most sensitive parameter was jitter, since 12 of the 36 observations did not fulfill the recommended value, while packet loss percentage did not fulfill the recommended value in only 6 of the 36 observations.

As future work, we intend to contribute to the implementation of network slicing, supported by artificial intelligence-based planning algorithms, for the autonomous management and optimization of the use of available radio resources and their impact on the quality of experience (QoE).


CRediT AUTHORSHIP CONTRIBUTION STATEMENT

Jose Luis Chávez-Picón: Research, Software, Validation, Formal Analysis, Writing-Original Draft, Resources. Wilmar Yesid Campo-Muñoz: Conceptualization, Project Management, Supervision, Resources, Writing-Revision and Editing. Gabriel Elías Chanchí-Golondrino: Conceptualization, Methodology, Writing-Revision and Editing, Supervision.

FINANCIAL

The article called “QoS Analysis for Video Streaming Service Implementing Network Slicing over a Mobile Network Based on SD-RAN” is a result of a Master’s thesis in Engineering from the Universidad del Quindío and its information is: The research project from which the manuscript is derived: “QOS ANALYSIS FOR VIDEOSTREAMING SERVICE IMPLEMENTING NETWORK SLICING OVER A MOBILE NETWORK BASED ON SD-RAN” Research Project Funding Entity/University: Universidad del Quindío Start and end dates of the research project: “first semester 2020 - first semester 2023”.


ACKNOWLEDGEMENTS

The authors would like to thank the University of Quindío and the University of Cartagena for their support in the development of this research.


REFERENCES

[1] Cisco, “Cisco Annual Internet Report (2018–2023) White Paper,” 2023. [Online]. Available: https://www.cisco.com/c/en/us/solutions/collateral/executive-perspectives/annual-internet-report/white-paper-c11-741490.html

[2] Ericsson, “Ericsson Mobility Report 2021,” 2021. [Online]. Available: https://www.ericsson.com/en/mobility-report/reports/june-2020

[3] W. Y. Campo Muñoz, J. C. Imabachí Paz, and A. Escobar Zapata, “Algoritmo AAASH para el servicio de videostreaming sobre redes móviles,” Rev. Colomb. Tecnol. Av., vol. 1, no. 41, pp. 13–20, 2023.

[4] M. Agiwal, A. Roy, and N. Saxena, “Next Generation 5G Wireless Networks: A Comprehensive Survey,” IEEE Commun. Surv. Tutorials, vol. 18, no. 3, pp. 1617–1655, 2016, doi: 10.1109/COMST.2016.2532458.

[5] R. Vannithamby and S. Talwar, Towards 5G. Wiley & Sons, 2016. doi: 10.1002/9781118979846.

[6] L. Bonati, M. Polese, S. D’Oro, S. Basagni, and T. Melodia, “Open, Programmable, and Virtualized 5G Networks: State-of-the-Art and the Road Ahead,” Comput. Networks, vol. 182, no. 9, p. 107516, May 2020, doi: 10.1016/j.comnet.2020.107516.

[7] N. Slamnik-Krijestorac, H. Kremo, M. Ruffini, and J. M. Marquez-Barja, “Sharing Distributed and Heterogeneous Resources toward End-to-End 5G Networks: A Comprehensive Survey and a Taxonomy,” IEEE Commun. Surv. Tutorials, vol. 22, no. 3, pp. 1592–1628, 2020, doi: 10.1109/COMST.2020.3003818.

[8] M. Condoluci and T. Mahmoodi, “Softwarization and virtualization in 5G mobile networks: Benefits, trends and challenges,” Comput. Networks, vol. 146, pp. 65–84, Dec. 2018, doi: 10.1016/j.comnet.2018.09.005.

[9] R. Pereira and E. G. Pereira, “Video streaming:Overview and challenges in the internet of things,” in Pervasive Computing, Elsevier, 2016, pp. 417–444. doi: 10.1016/B978-0-12-803663-1.00013-9.

[10] MPEG, “ISO/IEC 23009-1.” [Online]. Available: https://mpeg.chiariglione.org/tags/isoiec-23009-1

[11] ETSI, “TS 126 247 - V10.0.0 - Universal Mobile Telecommunications System (UMTS); LTE; Transparent end-to-end Packet-switched Streaming Service (PSS); Progressive Download and Dynamic Adaptive Streaming over HTTP (3GP-DASH) (3GPP TS 26.247 version 10.0.0 Release ,” 2011. [Online]. Available: https://www.etsi.org/deliver/etsi_ts/126200_126299/126247/10.00.00_60/ts_126247v100000p.pdf

[12] W. Y. Campo, A. F. Escobar Zapata, and J. C. Imbachi Paz, “Análisis del servicio de video streaming basado en el algoritmo FDASH sobre LTE,” Cienc. e Ing. Neogranadina, vol. 29, no. 1, pp. 67–80, Aug. 2019, doi: 10.18359/rcin.3122.

[13] B.-S. Paul Lin, Y.-B. Lin, L.-P. Tung, and F. Joseph Lin, “Exploring Network Softwarization and Virtualization by Applying SDN/NFV to 5G and IoT,” Trans. Networks Commun., vol. 6, no. 4, pp. 1–13, Aug. 2018, doi: 10.14738/tnc.64.4825.

[14] G. C. Valastro, D. Panno, and S. Riolo, “A SDN/NFV based C-RAN architecture for 5G Mobile Networks,” in 2018 International Conference on Selected Topics in Mobile and Wireless Networking (MoWNeT), Jun. 2018, pp. 1–8. doi: 10.1109/MoWNet.2018.8428882.

[15] M. A., A. Mohammed, and M. Yamani, “A Brief Survey on 5G Wireless Mobile Network,” Int. J. Adv. Comput. Sci. Appl., vol. 8, no. 11, 2017, doi: 10.14569/IJACSA.2017.081107.

[16] G. Sun, F. Liu, J. Lai, and G. Liu, “Software Defined Wireless Network Architecture for the Next Generation Mobile Communication: Proposal and Initial Prototype,” J. Commun., vol. 9, no. 12, pp. 946–953, 2014, doi: 10.12720/jcm.9.12.946-953.

[17] N. Nikaein, “Slicing and Orchestration in Service-Oriented 5G Networks - Keynotes at IEEE CAMAD,” 2018. [Online]. Available: https://wp-files.comsoc.org/camad-2018/files/2018/10/CAMAD_KN_nikaein_2018_v2.0.pdf

[18] P. Rost et al., “Network Slicing to Enable Scalability and Flexibility in 5G Mobile Networks,” IEEE Commun. Mag., vol. 55, no. 5, pp. 72–79, May 2017, doi: 10.1109/MCOM.2017.1600920.

[19] A. A. Barakabitze, A. Ahmad, R. Mijumbi, and A. Hines, “5G network slicing using SDN and NFV: A survey of taxonomy, architectures and future challenges,” Comput. Networks, vol. 167, p. 106984, Feb. 2020, doi: 10.1016/j.comnet.2019.106984.

[20] X. Foukas, G. Patounas, A. Elmokashfi, and M. K. Marina, “Network Slicing in 5G: Survey and Challenges,” IEEE Commun. Mag., vol. 55, no. 5, pp. 94–100, May 2017, doi: 10.1109/MCOM.2017.1600951.

[21] S. Zhang, “An Overview of Network Slicing for 5G,” IEEE Wirel. Commun., vol. 26, no. 3, pp. 111–117, Jun. 2019, doi: 10.1109/MWC.2019.1800234.

[22] A. N. Toosi, R. Mahmud, Q. Chi, and R. Buyya, “Management and Orchestration of Network Slices in 5G, Fog, Edge, and Clouds,” in Fog and Edge Computing, Hoboken, NJ, USA: John Wiley & Sons, Inc., 2019, pp. 79–101. doi: 10.1002/9781119525080.ch4.

[23] S. El Hassani, A. Haidinel, and H. Jebbar, “Road to 5G: Key Enabling Technologies,” J. Commun., vol. 14, no. 11, pp. 1034–1048, 2019, doi: 10.12720/jcm.14.11.1034-1048.

[24] P. Salva-Garcia, J. M. Alcaraz-Calero, Q. Wang, M. Barros, and A. Gavras, “Real-Time Video Adaptation in Virtualised 5G Networks,” in 2019 IEEE 44th Conference on Local Computer Networks (LCN), Oct. 2019, pp. 214–217. doi: 10.1109/LCN44214.2019.8990815.

[25] C. Baena, S. Fortes, E. Baena, and R. Barco, “Estimation of Video Streaming KQIs for Radio Access Negotiation in Network Slicing Scenarios,” IEEE Commun. Lett., vol. 24, no. 6, pp. 1304–1307, Jun. 2020, doi: 10.1109/LCOMM.2020.2979713.

[26] Q. Wang et al., “Enable Advanced QoS-Aware Network Slicing in 5G Networks for Slice-Based Media Use Cases,” IEEE Trans. Broadcast., vol. 65, no. 2, pp. 444–453, Jun. 2019, doi: 10.1109/TBC.2019.2901402.

[27] S. Dahmen-Lhuissier, “ETSI - Multi-access Edge Computing - Standards for MEC,” 2020. [Online]. Available: https://www.etsi.org/technologies/multi-access-edge-computing

[28] J. Wang, J. Weitzen, O. Bayat, V. Sevindik, and M. Li, “Performance Model for Video Service in 5G Networks,” Futur. Internet, vol. 12, no. 6, p. 99, Jun. 2020, doi: 10.3390/fi12060099.

[29] N. Ganesan, Vivek, and B. Thangaraju, “Pox Controller based Qos Evaluation for 5G Systems-Network Slicing,” in 2020 7th International Conference on Signal Processing and Integrated Networks (SPIN), Feb. 2020, pp. 394–398. doi: 10.1109/SPIN48934.2020.9071353.

[30] Q. Ou et al., “A Method of Dynamic Resource Adjustment for 5G Network Slice,” Adv. Intell. Syst. Comput., vol. 1143, pp. 929–936, 2021, doi: 10.1007/978-981-15-3753-0_91.

[31] Y. Sun, M. Peng, S. Mao, and S. Yan, “Hierarchical Radio Resource Allocation for Network Slicing in Fog Radio Access Networks,” IEEE Trans. Veh. Technol., vol. 68, no. 4, pp. 3866–3881, Apr. 2019, doi: 10.1109/TVT.2019.2896586.

[32] K. S. Ibarra-Lancheros, G. Puerto-Leguizamón, and C. Suárez-Fajardo, “Quality of service evaluation based on network slicing for software-defined 5G systems,” TecnoLógicas, vol. 21, no. 43, pp. 27–41, Sep. 2018, doi: 10.22430/22565337.1066.

[33] C. F. Müller, G. Galaviz, Á. G. Andrade, I. Kaiser, and W. Fengler, “Evaluation of Scheduling Algorithms for 5G Mobile Systems,” in Studies in Systems, Decision and Control, 2018, pp. 213–233. doi: 10.1007/978-3-319-74060-7_12.

[34] J. L. Chavez, W. Y. Campo, and G. E. Chanchí, “Construcción de un banco de pruebas para redes 5G basado en SDN y SDR,” Rev. Ibérica Sist. e Tecnol. Informação, no. E42, pp. 425–437, 2021.

[35] R. Kumar, Research methodology a step by step guide for beginners. Los Angeles. USA: SAGE, 2011. [Online]. Available: http://www.sociology.kpi.ua/wp-content/uploads/2014/06/Ranjit_Kumar-Research_Methodology_A_Step-by-Step_G.pdf

[36] J. L. Chavez and W. Campo, “Análisis de QoS para el servicio de videostreaming implementando segmentación de recursos sobre una red móvil basada en SD-RAN,” Universidad del Quindío, 2022.

[37] TSGR, “ETSI TS 136 213 - V17.1.0 - LTE; Evolved Universal Terrestrial Radio Access (E-UTRA); Physical layer procedures (3GPP TS 36.213 version 17.1.0 Release 17).” 2022. [Online]. Available: https://portal.etsi.org/TB/ETSIDeliverableStatus.aspx

[38] DASHIF, “DASH Industry Forum | Catalyzing the adoption of MPEG-DASH.” [Online]. Available: https://dashif.org/about/

[39] CISCO, “Video Quality of Service (QOS).” 2017. [Online]. Available: https://www.cisco.com/c/en/us/support/docs/quality-of-service-qos/qos-video/212134-Video-Quality-of-Service-QOS-Tutorial.html

Jose Luis Chávez-Picón Electronic Engineer, Master of Engineering, Telecommunications Area. Full Professor at the University of Quindío. Armenia, Colombia. Member of the ELECTRAE research group. https://orcid.org/0000-0003-2654-050X

Wilmar Yesid Campo-Muñoz Electronic and Telecommunications Engineer, Master of Engineering, Telematics Area, Ph.D in Telematics Engineering, full professor at the University of Quindío. Armenia, Colombia. Member of the GITUQ research group, Senior Researcher. https://orcid.org/0000-0001-8585-706X

Gabriel Elías Chanchí-Golondrino Electronic and Telecommunications Engineer, Master in Telematics Engineering, Ph.D in Telematics Engineering, Full professor at University of Cartagena. Cartagena de Indias, Colombia. Member of the DATOS research group, Associate Researcher. https://orcid.org/0000-0002-0257-1988

© The author; licensee Universidad de la Costa - CUC.

INGE CUC vol. 20 no. 2, pp. 83-98. July - December, 2024

Barranquilla. ISSN 0122-6517 Impreso, ISSN 2382-4700 Online