.
Fernández Hung, Vargas Rodríguez, Cueto Rodríguez & Brown Manrique / INGE CUC, vol. 18 no. 1, pp. –113. January – June, 2022

Tropical Fruit Research Institute. Havana (Cuba)
kfdezh@gmail.com

University of Oriente. Santiago de Cuba (Cuba)
pvargas@uo.edu.cu

Tropical Fruit Research Institute. Havana (Cuba)
cuetojr49@gmail.com

University of Ciego de Ávila “Máximo Gómez Báez”. Ciego de Ávila (Cuba)
obrown@unica.cu
To cite this article:
K. Fernández Hung, P. Vargas Rodríguez, J. R. Cueto Rodríguez, O. & Brown Manrique, “Capacity of center pivot systems and emitter discharges for citrus irrigation. A case study”, INGE CUC, vol. 18, no. 1, pp. –113, 2022. DOI: http://doi.org/10.17981/ingecuc.18.1.2022.09
Abstract
Introduction— Given the reduction in water resources, irrigation should be carried out with the highest application efficiency. Irrigation pivots achieve application efficiencies close to localized systems; however, for citrus irrigation, the equations available for its design and management do not contribute to the efficient and rational use of water.
Objective— Adapt the expression of the capacity of the machine and propose a new formulation for the discharge of the emitters, to adequately describe the operation of the central pivots for citrus irrigation.
Methodology— Logical research methods were used and within these, the historical method and the deductive logic, to obtain the adequacy and the new equations presented.
Results— The expression of the α coefficient was obtained to adapt the expression of the capacity of the machine and two new equations to calculate the necessary discharges of the emitters. They were applied to a case study.
Conclusions— It was confirmed that the center pivot machines to irrigate citrus obtain water consumption and application efficiency comparable could with localized irrigation systems.
Keywords— Orchard; Citrus; Sprinkler irrigation; Centre pivot irrigation; Flow rate; Irrigation dose
Resumen
Introducción— Dada la reducción de los recursos hídricos el riego se deberá realizar con la mayor eficiencia de aplicación. Los pivotes de riego alcanzan eficiencias de aplicación cercanas a los sistemas localizados; sin embargo, para el riego de cítricos, las ecuaciones disponibles para su diseño y manejo no contribuyen con el uso eficiente y racional del agua.
Objetivo— Adecuar la expresión de la capacidad de la máquina y proponer una nueva formulación para las descargas de los emisores, para describir adecuadamente el funcionamiento de los pivotes centrales para el riego de cítricos.
Metodología— Se emplearon métodos lógicos de investigación y dentro de estos, el método histórico y el lógico deductivo, para la obtención de la adecuación y las nuevas ecuaciones presentadas. Resultados— Se obtuvieron la expresión del coeficiente α para adecuar la expresión de la capacidad de la máquina y dos nuevas ecuaciones para calcular las descargas necesarias de los emisores. Se aplicaron a un caso de estudio.
Conclusiones— Se confirmó que con las máquinas de pivote central para el riego de los cítricos se pudieran obtener consumo de agua y eficiencia de aplicación, comparables con los sistemas de riego localizados.
Palabras clave— Huerto frutal; Citrus; Riego por aspersión; Riego por pívot; Gasto; Dosis de riego
I. Introduction
Irrigation of citrus fruits (Citrus spp.) contributes to obtaining profitable crops since it determines their precocity, controls vegetative development, flowering and fruit set, as well as the quality of the fruits [1]. This is fundamental for Cuba where the Citrus Huanglongbing (HLB) management program promotes technologies that enable orchards to come into production quickly [2], and remain highly productive for a period from seven to ten years [3].
Given declining water resources as a result of climate change, competition and increasing demand, crops irrigation must be made with the highest application efficiency economically possible. Among other advantages, well-designed and well-managed center pivots for citrus irrigation could achieve application efficiencies close to those of localized systems, but at approximately half of their initial cost per unit area. For these reasons, this technique is starting to be used for citrus irrigation in Cuba [4], [5].
For this purpose, the central pivots are configured in such a way that water is partially applied to the soil in strips below the foliage of the trees planted in concentric circumferences (Fig. 1). This feature, together with the high application intensity involving light sprinkling, makes irrigation with this technique, localized and high-frequency, different from traditional irrigation systems.
Despite the benefits of central pivots for citrus irrigation, the equations available for their design and management do not contribute to the efficient and rational use of water. Among others, Spanish scientists presented a formula for system capacity [6], while research from China [7], another for emitter discharges, which are widely used. Both expressions assume conditions that are not met for central pivots configured for citrus irrigation, thus providing inaccurate results.
Therefore, the aim of this paperwork is to present an adaptation to the expression of Tarjuelo for the irrigation machine capacity and to propose a new formulation for the emitter discharges so that both adequately describe the operation of central pivots for citrus irrigation. In addition, the resulting expressions are applied in a central pivot installed in areas of the “Jiguaní” Agricultural Enterprise, destined for citrus irrigation.
II. Literary Review
A. System capacity
System capacity refers to the ability to meet the crop’s water needs during the peak period [9]. It is expressed in terms of flow rate, usually in L s–1, L min–1 or m3 h–1, or as application intensity in mm day–1 or L s–1 ha–1, which is equivalent to concept hydromodule of irrigation.
Several researchers have proposed apparently different, but equivalent expressions for calculating system capacity. Among them, the one presented by Spanish to obtain the required flow rate at the inlet of the center pivot [6], as this parameter was also called:
Also, when LR > 0.1:
Where N is the crop water requirement at the peak period (mm day–1); A, the area under irrigation (ha); Ea, the application efficiency (decimal); Fd, the time fraction of daily operation of the central pivot (decimal); 0.116, a unit conversion factor to get system capacity in term of flow rate (L s–1) and LR, the fraction of leaching salt of soil (decimal).
In these expressions, the peak water requirement coincides with the maximum value of crop evapotranspiration, ETc, which for design purposes should correspond to that of a 10% to 20% exceedance probability for valuable crops with shallow root systems (≤ 60 cm), such as citrus [10]. The application efficiency [11], was calculated using the following equation:
Where EDpa is the distribution efficiency for a given portion of well irrigated area (decimal); Re, portion of discharge reaching the ground (decimal) and Oe, fraction of pumped water discharged by emitters (decimal).
For a given portion of well irrigated area, pa, and coefficient of uniformity, CU, EDpa = 100 + (606 – 24.9 pa + 0.349 pa2 – 0.00186 pa3) (1 – CU/100) in which pa = 88% for high value crops and CUmin = 90% for irrigation pivots. The term Re = 1 – 0.5 [1 – (0.976 + 0.005 ETo – 0.0001 ETo2 + 0.0012 u2 – 0.0043 CI ETo – 0.00018 CI u2 – 0.000016 CI ETo u2)] where CI is the coarseness index of irrigation water drops; ETo, the reference evapotranspiration and u2, the wind speed at a height of 2 m. For well-conserved systems, Oe = 0.99.
The time fraction of daily equipment operation, Fd, is typically assumed equal to 0.90 to allow time for possible interruptions in the peak period [11]. However, as in Cuba the price of electricity doubles during the highest peak of hourly consumption of 4 h per day [12], a maximum of 20 h per day of irrigation is recommended. Additionally, it is considered that the irrigation period is 80% of the critical irrigation interval; therefore, Fd = 2/3 which represents 16 h of daily irrigation.
The salt leaching fraction of soil was calculated using the following expression, used from Spanish researchers [13], for high frequency irrigation:
Where ECw is the electrical conductivity of water irrigation (dS m–1) and ECe, the electrical conductivity of the aqueous soil extract in the root zone that the crop tolerates without affecting the maximum potential yield (dS m–1).
Finally, the area under irrigation was determined as A = л R2 ∙ 10–4, where R is the radius (m) of the circular field wetted by the central pivot. This expression assumes that the field is irrigated to full coverage but the machine is set to irrigate the soil strips below the tree canopy.
B. Emitter discharges
In central pivot irrigation, the required emitter discharges to deliver the same volume to all points of the field must be gradually increased from the centre to the periphery. The following expression, originally proposed by Chinese studies [7], has been the most widely used:
In which, the unknown terms are: qj, the flow rate discharged by the j-th emitter (L s–1) located at distance rj (m) from the pivot and Se, spacing between emitters (m).
This formula was derived by assuming infinitely many discharges varying linearly from zero at the centre to a maximum at the far end of the centre pivot, thus wetting infinitesimal areas of continuous circular crowns. This assumption is valid for centre pivots irrigating full coverage; however, for central pivots configured for citrus irrigation, this is not the case. Equidistant spacing between emitters is not valid either.
III. Methodology
A. Location of the study area
The area is located on lands of the “Jiguaní” Agricultural Enterprise, at the eastern end of the Cauto Plain in the eastern region of Cuba, very close to the left bank of the Cauto River, downstream from confluence with the Contramaestre River. It is located 35 km northeast of Bayamo, provincial capital of Granma, at geographic coordinates of 20°31’25” north latitude and 76°20’24” west longitude, at an altitude of 50 m.
B. Characteristics of the orchard and equipment
The orchard was conceived for development of 20 ha of grapefruit ‘Marsh’ (Citrus paradisi Macfad.) and 12 ha of lime ‘Persa’ (Citrus latifolia), with the following characteristics:
The crop evapotranspiration, ETc, during peak period (April), is equal to 4.3 mm for a 20% exceedance probability, and the mean values of the reference evapotranspiration, ETo, and the wind speed at 2 m height, u2, they are 4.7 mm and 2.4 m s–1, respectively [14]. The electrical conductivity of water irrigation, ECw, is 1.5 dS m–1, for a 20% exceedance probability (identical criterion as for ETc), obtained from the 1991-2019 series of values measured between the months of January and April [15]. The ECe value for citrus is 1.7 dS m–1 [13].
The central pivot machine is of national production, built in the Mechanical Enterprise of Bayamo (EMBA) and responds to dimensions of the Valley Irrigation model 8120, as follows:
C. Research Methods
Logical research methods were used, which are based on the use of thought in its functions of deduction, analysis and synthesis. Among them, the use of the historical method was evidenced in the support of the research in mathematical expressions established to calculate the capacity of the central pivots and the discharge of the emitters, which evolved chronologically until adopting the known form. With the proposal that was presented, a new evolutionary step was achieved in time.
Through the logical deductive method, the known equations of the capacity of the central pivots and the discharge of the emitters for the irrigation of full coverage with central pivots, were applied to the calculation of the same parameters for the irrigation of citrus plantations with a different equipment configuration. In other words, discovered principles were applied to particular cases, based on trial links.
IV. Results
A. System capacity
By similarity with (1), the necessary capacity of center pivot machine configured for citrus irrigation can be expressed by (6):
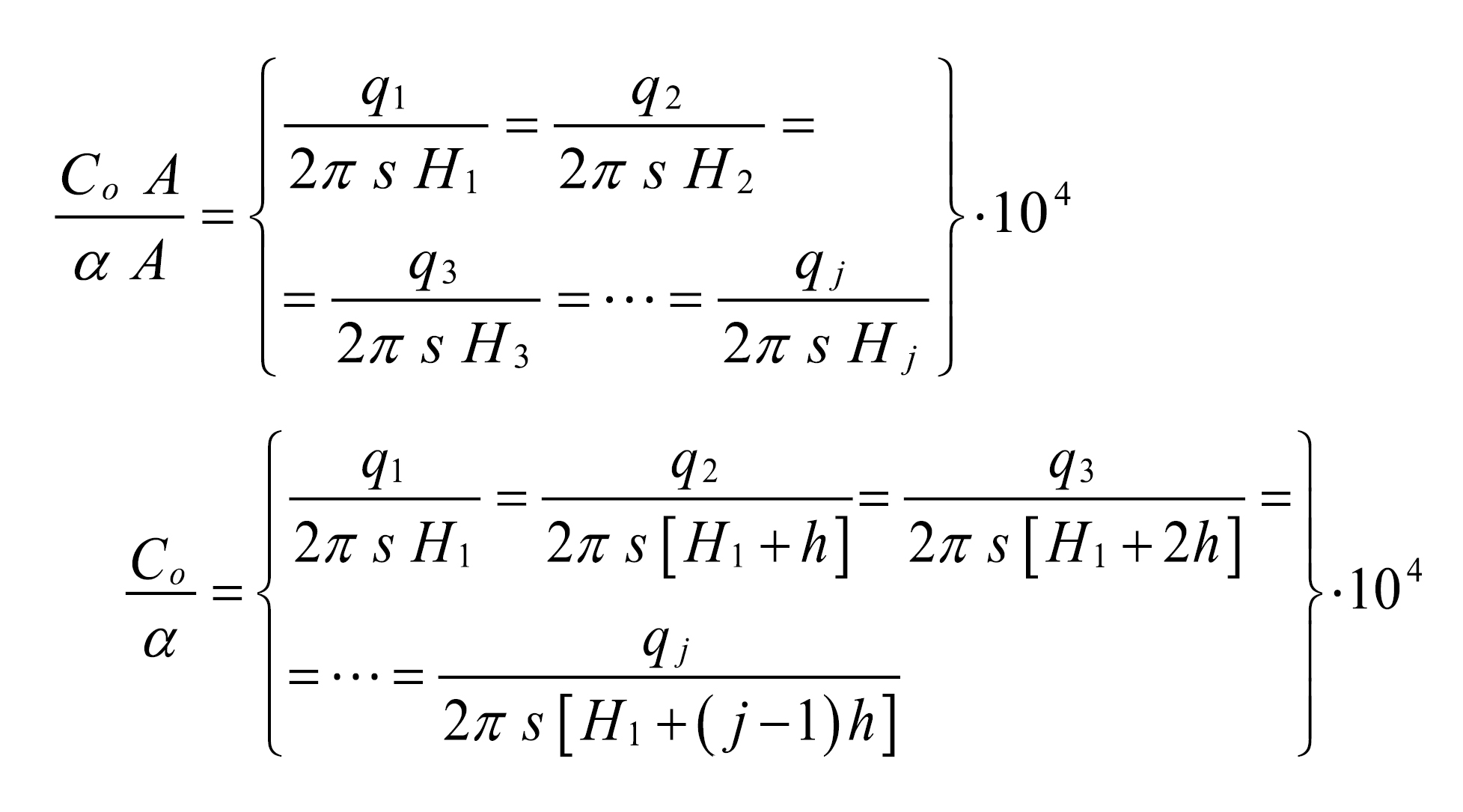
Where Ae is the total area of the wetting strips (ha) and its calculation expression was obtained from the following development, where H1, H2, H3, ∙∙∙, Hn are the radios of the n-th crop rows and s, the width of the wetting strips (7):
By dividing (6) by (1), the correction coefficient of the total area under irrigation was obtained as follows (8):
However, for the most common machine lengths, as well as citrus crop row spacings and wetting strip widths, the alternative is to use the following approximation with an error of less than 0.7% (9):
By expressing (8) as a function of Ae and substituting into (6), the formula for Qe resulted as follows (10):
Or, if LR > 0.1 (11):
In these equations the terms in brackets constitute the system capacity (Co) expressed in L s–1 ha–1, which is equivalent to the concept of hydromodule.
B. Emitter discharges
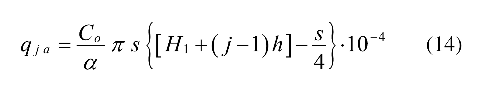
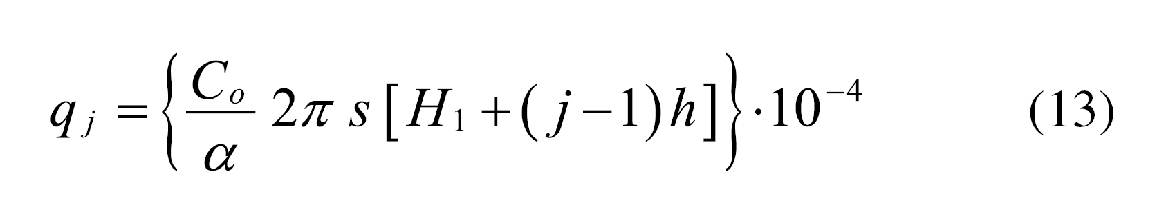
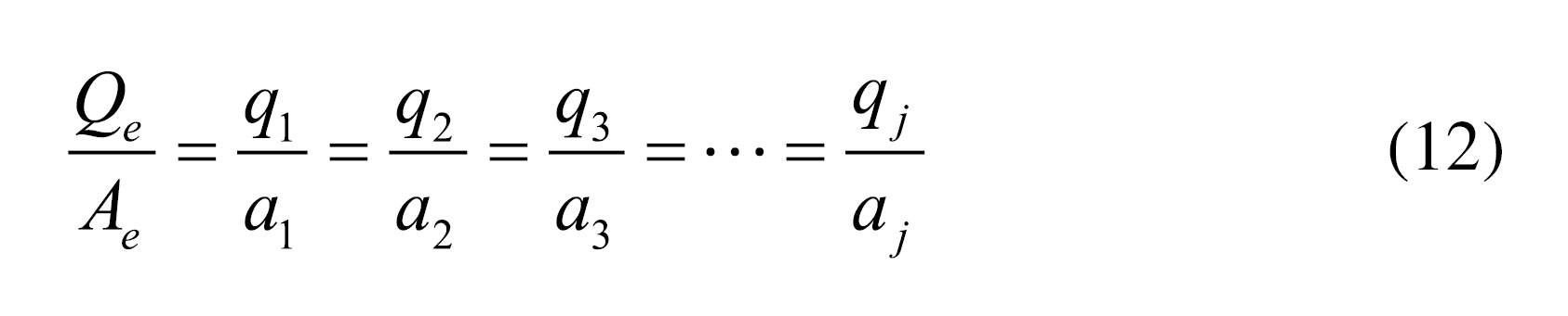
In the central pivots configured for citrus irrigation, the following proportions are fulfilled, where q1, q2, q3, ∙∙∙, qj are the j-th pairs of emitters discharges on the j-th areas of the wetting strips, a1, a2, a3, ∙∙∙, aj (12):
From where:
Solving for qj (13):
Given that qj = qja + qjb, where the subscripts a and b indicate the discharge over the two half-wetting strips of width ½ s, the resulting expressions for qja and qjb were as follows (14)(15):
For full coverage irrigation pivots, where s = h = Se, α = 1 and H1 + (j – 1) Se = rj, by substituting them in (13) together with the expression for Co, and further multiplied and divided by A, the result is identical to (5), proposed by China [7].
C. Practical application of the expressions obtained
In the above expressions the value of h is unique. However, to facilitate the replanting of the crop rows and to avoid difficulties in the connection of the drop pipes to the main pipe, it is convenient to adjust the spacing between rows. In this way, the spacing of the rows in the center of each span is different from those at the ends span and at the overhang. But since the values are similar, the error made is less than 0.2%, assuming h equal to the average between them.
The results obtained from the calculation of the system capacity are shown in Table 1. It is observed that the value of application efficiency is within the ranges of 75%-90% for central pivot and 80%-90% for micro-irrigation, collected by US studies [16].
It is significant that the value of Co = 0.6 L s–1 ha–1 constitutes 70% of the hydromodule commonly used in Cuba for trickle irrigation of citrus and fruit trees, and approximately 50% of that used for roots, grains and vegetables watered by irrigation pivots [17].
|
Qe (L s–1) |
Co (L s–1 ha–1) |
α |
A (ha) |
LR |
Ea |
||
|
EDpa |
Re |
Oe |
|||||
|
19.3 |
0.6 |
0.63 |
32.2 |
0.12 |
0.82 |
||
|
0.85 |
0.98 |
0.99 |
|||||
Finally, the values of the 52 pair of required emitters discharges, qja y qjb, in L s–1, resulting from the calculation are given:
q1a = 0.011 q14a = 0.100 q27a = 0.189 q40a = 0.278
q1b = 0.013 q14b = 0.102 q27b = 0.191 q40b = 0.280
q2a = 0.018 q15a = 0.107 q28a = 0.196 q41a = 0.285
q2b = 0.020 q15b = 0.109 q28b = 0.198 q41b = 0.287
q3a = 0.025 q16a = 0.114 q29a = 0.203 q42a = 0.292
q3b = 0.027 q16b = 0.116 q29b = 0.205 q42b = 0.294
q4a = 0.032 q17a = 0.121 q30a = 0.210 q43a = 0.299
q4b = 0.034 q17b = 0.123 q30b = 0.212 q43b = 0.301
q5a = 0.039 q18a = 0.128 q31a = 0.217 q44a = 0.306
q5b = 0.041 q18b = 0.130 q31b = 0.219 q44b = 0.308
q6a = 0.046 q19a = 0.134 q32a = 0.223 q45a = 0.312
q6b = 0.048 q19b = 0.137 q32b = 0.226 q45b = 0.315
q7a = 0.052 q20a = 0.141 q33a = 0.230 q46a = 0.319
q7b = 0.055 q20b = 0.143 q33b = 0.232 q46b = 0.321
q8a = 0.059 q21a = 0.148 q34a = 0.237 q47a = 0.326
q8b = 0.061 q21b = 0.150 q34b = 0.239 q47b = 0.328
q9b = 0.066 q22a = 0.155 q35a = 0.244 q48a = 0.333
q9a = 0.068 q22b = 0.157 q35b = 0.246 q48b = 0.335
q10a = 0.073 q23a = 0.162 q36a = 0.251 q49a = 0.340
q10b = 0.075 q23b = 0.164 q36b = 0.253 q49b = 0.342
q11a = 0.080 q24a = 0.169 q37a = 0.258 q50a = 0.347
q11b = 0.082 q24b = 0.171 q37b = 0.260 q50b = 0.349
q12a = 0.087 q25a = 0.176 q38a = 0.265 q51a = 0.354
q12b = 0.089 q25b = 0.178 q38b = 0.267 q51b = 0.356
q13a = 0.093 q26a = 0.182 q39a = 0.271 q52a = 0.360
q13b = 0.096 q26b = 0.185 q39b = 0.274 q52b = 0.363
As expected, these values grow linearly from a minimum very close to the pivot to a maximum at the edge of the field, and the sum of them is identical to Qe. These flow rates should be match to those provided by the commercial range of emitters for each pair of outlet diameter and hydraulic head values at their base. They constitute the foundation for the subsequent hydraulic analysis.
It is easy to deduce that if the system capacity and the necessary discharge of the emitters had been calculated with (2) and (5), respectively, instead of (11) and (13), the results would be (1/α) times greater; that is, they would be 1.6 times higher. The elements of the irrigation system would have been oversized with almost double the necessary capacity. Thus, the use of the equations that were obtained will imply a notable economic saving. Studies related to energy resources in Cuba constitute a priority for the implementation of practical solutions that contribute to the improvement of energy efficiency [18].
V. Conclusions
Financing
Scientific research article derived from the research project “Agronomic evaluation of citrus areas under irrigation machines in the ‘Jiguaní’ Agricultural Enterprise”, financed by the Agricultural Business Group. Start year: 2017, end year: 2021.
Acknowledgements
We would like to thank the technical staff of Hydraulic Utilization Company of Granma, who kindly provided data on the hydrochemical parameters of water irrigation.
References
[1] M. K. V. Carr, Advances in Irrigation Agronomy. Fruit Crops. CAM, UK: CUP, 2014. https://doi.org/10.1017/CBO9780511998263
[2] D. López-Hernández, M. Luis-Pantoja, R. Llauger-Riverón, C. González-Fernández, J. Casín-Fernández, I. Peña-Bárzaga, L. Batista-Le Riverend, L. Hernández-Rodríguez, V. Zamora-Rodríguez y Doris Hernández-Espinosa, “Situación de Huanglongbing de los cítricos en Cuba siete años después de su detección,” CitriFrut, vol. 31, no. 2, pp. 3–9, Dic. 2014. Disponible en https://www.researchgate.net/publication/282328123_Situacion_de_huanglongbing_de_los_citricos_en_Cuba_siete_anos_despues_de_su_deteccion
[3] R. Lee, “Impacto y métodos de control del Huanglongbing de los cítricos en las diferentes áreas citrícolas de los Estados Unidos,” Cítricos en las Américas, vol. 1, no. 1, pp. 55–66, 2016.
[4] K. Fernández-Hung, “Manejo del riego con máquina de pivote central en plantaciones jóvenes de cítricos de la Empresa Agropecuaria ‘Jiguaní’,” CitriFrut, vol. 36, no. 2, pp. 23–32, 2019.
[5] K. Fernández, “El riego de plantaciones citrícolas con máquinas de pivote central,” en Citriculture Week of Agricultural Bussines Group, PYA GRN, CU, 2018.
[6] J. M. Tarjuelo, El riego por aspersión y su tecnología, 3 ed. MAD, ES: Mundi-Prensa, 2005.
[7] S. T. Chu, “Center Pivot Irrigation Design (1939-2011),” Agric Exp Stn Tech Bull, vol. 61, 1980. [Online]. Available: https://openprairie.sdstate. edu/agexperimentsta_tb/61/
[8] Ainosa, El riego en cultivos de porte alto. Valley, NE, USA: Valmont, 1999. Recuperado de http://www.ainosa.es/Descargas/Riego%20de%20Cultivos%20Altos.pdf
[9] D. Martin, W. Kranz, T. Smith, S. Irmak, C. Burr & R. Yoder, Center Pivot Irrigation Handbook. LINC, NE: UNL. 2017. Recuperado de https://extensionpublications.unl.edu/assets/pdf/ec3017.pdf
[10] M. E. Jensen & R. G. Allen, Evaporation, evapotranspiration, and irrigation water requirements, 2 ed. RSN, VA: ASCE, 2016. Disponible en https://ascelibrary.org/doi/abs/10.1061/9780784414057
[11] USDA & NRCS, Sprinkler Irrigation,” in National Engineering Handbook, Part 623, WA, DC: USDA NRCS, 2016. Available from https://www.wcc.nrcs.usda.gov/ftpref/wntsc/waterMgt/irrigation/NEH15/ch11.pdf
[12] Resolución 28/2011. Sistema tarifario eléctrico para servicios no residenciales, de empresas y entidades 100% cubanas, MFP.
[13] F. J. Villalobos, L. Mateos, M. Quemada, A. Delgado & E. Fereres, “Control of Salinity,” in Principles of Agronomy for Sustainable Agriculture, F. J. Villalobos & E. Fereres, eds., Cham, CH: Springer, 2016, pp. 295–320. https://doi.org/10.1007/978-3-319-46116-8_22
[14] K. Fernández, P. Vargas, J. R. Cueto y O. Brown, “Water requirements of new citrus orchards in “Jiguaní” Agricultural Enterprise,” INGE CUC, vol. 18, no. 1, pp. 95–104, Jul. 2022. Disponible en https://revistascientificas.cuc.edu.co/ingecuc/article/view/4122
[15] Hydraulic Utilization Company of Granma, “Database of Water Quality Network” (RedCal). Distributed by Granma.
[16] P. Waller & M. Yitayew, Irrigation and Drainage Engineering. Cham, CH: Springer, 2016. https://doi.org/10.1007/978-3-319-05699-9
[17] J. Herrera, Uso eficiente de sistemas de riego. Manual práctico sobre el riego de los cultivos. HaB, CU: IAgric-FAO, 2013.
[18] F. García, “Determinación de la estabilidad de la mezcla de etanol con naftas mediante la medición de sus propiedades dieléctricas y refractométricas,” INGE CUC, vol. 16, no. 2, pp. 141–150, Ago. 2020. https://revistascientificas.cuc.edu.co/ingecuc/article/view/2688
Kaddiel Fernández Hung received of Hydraulic Engineer from the Universidad of Oriente (Cuba) and the MSc. Degree in Hydraulic Engineering from Technological University of Havana “José Antonio Echevarria” (Cuba). His research interests include water technologies applied to fruit crops irrigation systems. He is specialist in research, innovation and development in the Technological Diffusion Group (TDG) of Contramaestre, of Tropical Fruit Research Institute. https://orcid.org/0000-0002-5114-7948
Pável Vargas Rodríguez received of Irrigation and Drainage Engineer from the Universidad of Ciego de Ávila (Cuba). MSc. Degree in Irrigation Engineering from Hydrographics Studies Center CEDEX (Spain). PhD. in Agricultural Technical Sciences from University of Ciego de Ávila (Cuba). His research interests include design and operations of hydraulic works and irrigation & drainage systems. He is Associate Professor of Irrigation and Drainage Engineering in the Hydraulics Engineering Department at University of Oriente. https://orcid.org /0000-0003-3316-0898
Jorge Rolando Cueto Rodríguez received of Bachelor of Biological Sciences from the University of Havana (Cuba). Predoctoral studies in nitrogen metabolism of citrus plants. Master’s degree in tropical citrus from the Tropical Fruit Research Institute (Havana, Cuba). His research interests include fruit pathophysiology, management of fruit groves, and industrial coconut processing. Former Director of Technical Services and Former Director General of the Tropical Fruit Research Institute. Former National Coordinator of the Citrus Development Program in the Agricultural Business Group. International consultant in management of citrus and coconut plantations. FAO coconut expert. Consultant in prospecting and technological surveillance at the Tropical Fruit Research Institute. https://orcid.org/0000-0003-0544-2601
Oscar Nemesio Brown Manrique received of Irrigation and Drainage Engineer from the Universidad of Ciego de Ávila (Cuba). PhD. in Agricultural Technical Sciences from University of Ciego de Ávila, Cuba. The fundamental investigations have been oriented towards the physical-mathematical modeling of the flow of water in surface irrigation, the use of wind, hydraulic and solar energy for supply and irrigation systems, a drought management system, climate change, and an alert system early due to extreme rains and dam breaks. He is Associate Professor at the Hydrotechnical Studies Center, Faculty of Technical Sciences of the University of Ciego de Ávila. https://orcid.org/0000-0003-3713-3408
